\[ \newcommand\ov{\overline} \newcommand\un{\underline} \newcommand\BB{\mathbb} \newcommand\EE{\mathbb{E}} \newcommand\mc{\mathcal} \newcommand\ti{\tilde} \newcommand\h{\hat} \newcommand\beq{\begin{equation}} \newcommand\eeq{\end{equation}} \newcommand\barr{\begin{array}} \newcommand\earr{\end{array}} \newcommand\bfp{\mathbf{p}} \newcommand\independent{\protect\mathpalette{\protect\independenT}{\perp}} \def\independenT#1#2{\mathrel{\rlap{$#1#2$}\mkern2mu{#1#2}}} \]
We have to review some core tools/ideas in statistics:
A random variable can take vector values (examples). \(F_{X}\) still defined.
Suppose \(X\) and \(Y\) are both RVs. What does it mean for \(X\) and \(Y\) to be independent?
Exercise: \[ X\sim\mc{N}(\mu_{X},\sigma^2_{X}),\ Y = \alpha X + Z,\ Z\sim\mc{N}(\mu_{Z},\sigma^2_{Z}),\ X\perp Z \]
When is \(X\perp Y\)?
Suppose that \(X\) is a random vector with distribution \(F_{X}\).
To make things concrete, let’s code up a simulation.
For \(Z\) we can use rnorm instead of rbinom.
Now let’s look at the sampling distribution of the sample mean \(\ov{X}_{5}\) from these 100 trials:
In general, let \(X\sim\text{Binomial}(K,p)\) and \(Z\sim\mc{N}(\mu_{Z},\sigma^2_{Z})\).
Why is the sample mean a good estimator of the population mean?
This matters because lots of estimators are (basically) sample means
| hhinccat | afqtq | Dhgacoll2122 | cohort |
|---|---|---|---|
| 3 | 2 | 0 | 79 |
| 3 | 3 | 1 | 79 |
| 3 | 2 | 1 | 79 |
| 3 | 3 | 1 | 79 |
| 1 | 4 | 1 | 79 |
| 3 | 4 | 1 | 79 |
| 4 | 4 | 1 | 79 |
| 1 | 4 | 1 | 79 |
| 4 | 4 | 1 | 79 |
| 2 | 4 | 0 | 79 |
| 2 | 3 | 1 | 79 |
| 4 | 1 | 0 | 79 |
| 1 | 3 | 1 | 79 |
| 3 | 1 | 1 | 79 |
| 4 | 2 | 0 | 79 |
| 4 | 3 | 1 | 79 |
| 2 | 3 | 0 | 79 |
| 4 | 4 | 0 | 79 |
| 4 | 4 | 1 | 79 |
| 4 | 2 | 0 | 79 |
| 4 | 4 | 1 | 79 |
| 4 | 4 | 1 | 79 |
| 4 | 4 | 1 | 79 |
| 4 | 4 | 1 | 79 |
| 4 | 2 | 1 | 79 |
| 4 | 4 | 1 | 79 |
| 1 | 2 | 1 | 79 |
| 3 | 1 | 0 | 79 |
| 2 | 2 | 0 | 79 |
| 3 | 3 | 1 | 79 |
| 3 | 3 | 1 | 79 |
| 2 | 3 | 0 | 79 |
| 2 | 2 | 0 | 79 |
| 4 | 3 | 0 | 79 |
| 4 | 3 | NA | 79 |
| 2 | 2 | 0 | 79 |
| 4 | 4 | 1 | 79 |
| 3 | 4 | 1 | 79 |
| 2 | 3 | 0 | 79 |
| 3 | 4 | 1 | 79 |
| 3 | 3 | 1 | 79 |
| 3 | 2 | 1 | 79 |
| 4 | 4 | 1 | 79 |
| 4 | 4 | 1 | 79 |
| 4 | 3 | 1 | 79 |
| 4 | 4 | 1 | 79 |
| 2 | 3 | 0 | 79 |
| 2 | 2 | 0 | 79 |
| 2 | 3 | 0 | 79 |
| 3 | 4 | 1 | 79 |
| 3 | 2 | 1 | 79 |
| 3 | 3 | 0 | 79 |
| 3 | 2 | 0 | 79 |
| 4 | 4 | 0 | 79 |
| 2 | 2 | 0 | 79 |
| 4 | 3 | 1 | 79 |
| 2 | 2 | 0 | 79 |
| 3 | 4 | 1 | 79 |
| 3 | 4 | 1 | 79 |
| 3 | 3 | 0 | 79 |
| 1 | 1 | 1 | 79 |
| 1 | 1 | 1 | 79 |
| 1 | 3 | NA | 79 |
| 4 | 3 | 0 | 79 |
| 4 | 3 | 1 | 79 |
| 3 | 3 | 1 | 79 |
| 4 | 4 | 1 | 79 |
| 3 | 4 | 1 | 79 |
| 3 | 3 | 1 | 79 |
| 3 | 4 | 1 | 79 |
| 3 | 1 | 0 | 79 |
| 4 | 3 | 1 | 79 |
| 2 | 1 | NA | 79 |
| 2 | 1 | 0 | 79 |
| 3 | 3 | 1 | 79 |
| 4 | 4 | 1 | 79 |
| 4 | 4 | 1 | 79 |
| 4 | 3 | 1 | 79 |
| 4 | 4 | 1 | 79 |
| 1 | 1 | 0 | 79 |
| 1 | 1 | 0 | 79 |
| 1 | 1 | 0 | 79 |
| 4 | 2 | 1 | 79 |
| 4 | 3 | 1 | 79 |
| 4 | 2 | 0 | 79 |
| 1 | 2 | 1 | 79 |
| 2 | 3 | 1 | 79 |
| 4 | 3 | 1 | 79 |
| 2 | 3 | 0 | 79 |
| 1 | 2 | 0 | 79 |
| 3 | 4 | 1 | 79 |
| 4 | 4 | 1 | 79 |
| 1 | 1 | 0 | 79 |
| 1 | 2 | 0 | 79 |
| 2 | 2 | 0 | 79 |
| 2 | 3 | 0 | 79 |
| 2 | 3 | NA | 79 |
| 4 | 4 | 1 | 79 |
| 3 | 2 | 0 | 79 |
| 4 | 4 | 1 | 79 |
| 2 | 3 | 1 | 79 |
| 1 | 3 | 1 | 79 |
| 2 | 2 | 0 | 79 |
| 4 | 3 | 0 | 79 |
| 3 | 4 | 1 | 79 |
| 4 | 4 | 1 | 79 |
| 4 | 1 | 0 | 79 |
| 2 | 3 | 1 | 79 |
| 2 | 2 | 0 | 79 |
| 3 | 3 | 0 | 79 |
| 1 | 1 | 0 | 79 |
| 1 | 1 | 0 | 79 |
| 1 | 1 | 0 | 79 |
| 1 | 1 | 0 | 79 |
| 1 | 1 | 0 | 79 |
| 1 | 1 | 0 | 79 |
| 1 | 2 | NA | 79 |
| 3 | 1 | 0 | 79 |
| 2 | 3 | 0 | 79 |
| 2 | 2 | 0 | 79 |
| 2 | 1 | 0 | 79 |
| 4 | 1 | 0 | 79 |
| 4 | 1 | 0 | 79 |
| 2 | 4 | 1 | 79 |
| 1 | 1 | 0 | 79 |
| 1 | 1 | 0 | 79 |
| 1 | 2 | 0 | 79 |
| 1 | 1 | 0 | 79 |
| 2 | 4 | 1 | 79 |
| 2 | 3 | 1 | 79 |
| 2 | 2 | 1 | 79 |
| 3 | 3 | 1 | 79 |
| 4 | 3 | 1 | 79 |
| 4 | 2 | 0 | 79 |
| 3 | 3 | 0 | 79 |
| 3 | 2 | 0 | 79 |
| 4 | 2 | 1 | 79 |
| 4 | 2 | 1 | 79 |
| 4 | 4 | 1 | 79 |
| 2 | 2 | 0 | 79 |
| 4 | 3 | 1 | 79 |
| 4 | 4 | 1 | 79 |
| 4 | 1 | 0 | 79 |
| 1 | 2 | 0 | 79 |
| 1 | 1 | 0 | 79 |
| 2 | 2 | 0 | 79 |
| 3 | 3 | 0 | 79 |
| 3 | 1 | 0 | 79 |
| 1 | 4 | 1 | 79 |
| 2 | 1 | 0 | 79 |
| 1 | 2 | 0 | 79 |
| 3 | 4 | 0 | 79 |
| 1 | 1 | 0 | 79 |
| 1 | 1 | 1 | 79 |
| 3 | 4 | 1 | 79 |
| 3 | 2 | 0 | 79 |
| 3 | 2 | 1 | 79 |
| 2 | 3 | 1 | 79 |
| 3 | 1 | 0 | 79 |
| 3 | 3 | 1 | 79 |
| 1 | 4 | 1 | 79 |
| 2 | 1 | 0 | 79 |
| 2 | 3 | 1 | 79 |
| 3 | 3 | 0 | 79 |
| 1 | 3 | 1 | 79 |
| 2 | 3 | 0 | 79 |
| 1 | 2 | 0 | 79 |
| 2 | 3 | 0 | 79 |
| 2 | 4 | 1 | 79 |
| 2 | 4 | 1 | 79 |
| 4 | 3 | 0 | 79 |
| 2 | 1 | 0 | 79 |
| 1 | 4 | 1 | 79 |
| 4 | 3 | 1 | 79 |
| 4 | 4 | 1 | 79 |
| 1 | 1 | 0 | 79 |
| 1 | 1 | 0 | 79 |
| 4 | 2 | 0 | 79 |
| 1 | 3 | 1 | 79 |
| 4 | 4 | 1 | 79 |
| 2 | 4 | 1 | 79 |
| 1 | 2 | 0 | 79 |
| 4 | 4 | 1 | 79 |
| 4 | 4 | 0 | 79 |
| 1 | 1 | 0 | 79 |
| 1 | 1 | 0 | 79 |
| 4 | 1 | 0 | 79 |
| 3 | 3 | 0 | 79 |
| 4 | 1 | 0 | 79 |
| 3 | 1 | 0 | 79 |
| 3 | 2 | 1 | 79 |
| 4 | 3 | 1 | 79 |
| 4 | 3 | 0 | 79 |
| 2 | 4 | 1 | 79 |
| 4 | 4 | 0 | 79 |
| 4 | 2 | 0 | 79 |
| 4 | 3 | 1 | 79 |
| 4 | 4 | 1 | 79 |
| 4 | 1 | 0 | 79 |
| 3 | 3 | 1 | 79 |
| 4 | 2 | 0 | 79 |
| 4 | 4 | 1 | 79 |
| 4 | 4 | 1 | 79 |
| 4 | 4 | 1 | 79 |
| 1 | 2 | 1 | 79 |
| 1 | 1 | 0 | 79 |
| 2 | 1 | 1 | 79 |
| 1 | 1 | 0 | 79 |
| 1 | 1 | 0 | 79 |
| 1 | 1 | 1 | 79 |
| 1 | 1 | 0 | 79 |
| 4 | 1 | 1 | 79 |
| 3 | 1 | 1 | 79 |
| 1 | 2 | 0 | 79 |
| 3 | 1 | 0 | 79 |
| 2 | 2 | 0 | 79 |
| 3 | 1 | 0 | 79 |
| 3 | 1 | 0 | 79 |
| 3 | 1 | 0 | 79 |
| 4 | 2 | 0 | 79 |
| 4 | 3 | 0 | 79 |
| 4 | 4 | 1 | 79 |
| 4 | 4 | 1 | 79 |
| 4 | 4 | 1 | 79 |
| 4 | 3 | 1 | 79 |
| 4 | 1 | 1 | 79 |
| 3 | 3 | 1 | 79 |
| 1 | 4 | 0 | 79 |
| 3 | 2 | 1 | 79 |
| 4 | 3 | 0 | 79 |
| 3 | 2 | 0 | 79 |
| 1 | 1 | 0 | 79 |
| 1 | 2 | 1 | 79 |
| 1 | 3 | 1 | 79 |
| 1 | 1 | 0 | 79 |
| 3 | 3 | 1 | 79 |
| 3 | 3 | 1 | 79 |
| 4 | 3 | 1 | 79 |
| 4 | 3 | 0 | 79 |
| 4 | 3 | 1 | 79 |
| 4 | 2 | 1 | 79 |
| 4 | 2 | 0 | 79 |
| 2 | 2 | 0 | 79 |
| 3 | 1 | 0 | 79 |
| 2 | 1 | NA | 79 |
| 1 | 3 | 1 | 79 |
| 2 | 1 | 1 | 79 |
| 1 | 1 | 0 | 79 |
| 1 | 1 | 0 | 79 |
| 4 | 2 | 0 | 79 |
| 3 | 3 | 1 | 79 |
| 3 | 3 | 0 | 79 |
| 3 | 3 | 1 | 79 |
| 2 | 4 | 0 | 79 |
| 4 | 1 | 0 | 79 |
| 4 | 2 | 0 | 79 |
| 3 | 2 | 0 | 79 |
| 4 | 4 | 1 | 79 |
| 2 | 1 | 0 | 79 |
| 4 | 2 | 1 | 79 |
| 3 | 4 | 1 | 79 |
| 1 | 4 | 1 | 79 |
| 3 | 4 | 1 | 79 |
| 2 | 4 | 1 | 79 |
| 4 | 4 | 1 | 79 |
| 4 | 3 | 0 | 79 |
| 3 | 3 | 1 | 79 |
| 4 | 3 | 1 | 79 |
| 4 | 4 | 1 | 79 |
| 2 | 4 | 1 | 79 |
| 1 | 3 | 1 | 79 |
| 3 | 1 | 0 | 79 |
| 3 | 1 | 0 | 79 |
| 1 | 1 | 1 | 79 |
| 1 | 2 | 0 | 79 |
| 2 | 1 | 0 | 79 |
| 1 | 1 | 0 | 79 |
| 1 | 2 | 1 | 79 |
| 4 | 3 | 0 | 79 |
| 4 | 4 | 1 | 79 |
| 2 | 2 | NA | 79 |
| 2 | 2 | 0 | 79 |
| 3 | 2 | 0 | 79 |
| 3 | 2 | 1 | 79 |
| 3 | 2 | 0 | 79 |
| 2 | 2 | 0 | 79 |
| 2 | 2 | 1 | 79 |
| 3 | 2 | 0 | 79 |
| 2 | 1 | 1 | 79 |
| 1 | 2 | 0 | 79 |
| 4 | 2 | 0 | 79 |
| 4 | 1 | 0 | 79 |
| 4 | 2 | 0 | 79 |
| 4 | 4 | 1 | 79 |
| 4 | 4 | 1 | 79 |
| 4 | 1 | 0 | 79 |
| 4 | 1 | 1 | 79 |
| 3 | 1 | 0 | 79 |
| 2 | 1 | 0 | 79 |
| 2 | 2 | 0 | 79 |
| 3 | 4 | 1 | 79 |
| 4 | 2 | 0 | 79 |
| 3 | 3 | 1 | 79 |
| 4 | 3 | 0 | 79 |
| 4 | 1 | 0 | 79 |
| 4 | 2 | 1 | 79 |
| 1 | 2 | 1 | 79 |
| 1 | 2 | 0 | 79 |
| 2 | 1 | 0 | 79 |
| 1 | 2 | 1 | 79 |
| 3 | 2 | 0 | 79 |
| 4 | 2 | 0 | 79 |
| 4 | 2 | 0 | 79 |
| 4 | 3 | 0 | 79 |
| 3 | 1 | 0 | 79 |
| 4 | 2 | 0 | 79 |
| 3 | 4 | 1 | 79 |
| 3 | 4 | 1 | 79 |
| 2 | 4 | 1 | 79 |
| 2 | 3 | 1 | 79 |
| 4 | 2 | 0 | 79 |
| 3 | 2 | 0 | 79 |
| 2 | 1 | 1 | 79 |
| 2 | 1 | 0 | 79 |
| 2 | 3 | 0 | 79 |
| 4 | 3 | 0 | 79 |
| 4 | 3 | 1 | 79 |
| 3 | 2 | 0 | 79 |
| 3 | 2 | 0 | 79 |
| 3 | 1 | 1 | 79 |
| 4 | 4 | 0 | 79 |
| 4 | 2 | 0 | 79 |
| 4 | 1 | 0 | 79 |
| 4 | 4 | 1 | 79 |
| 4 | 3 | NA | 79 |
| 3 | 4 | 1 | 79 |
| 4 | 1 | 1 | 79 |
| 2 | 1 | 0 | 79 |
| 4 | 2 | 0 | 79 |
| 3 | 1 | 0 | 79 |
| 3 | 2 | 1 | 79 |
| 1 | 1 | 0 | 79 |
| 2 | 2 | 0 | 79 |
| 2 | 2 | 1 | 79 |
| 1 | 2 | NA | 79 |
| 2 | 4 | 1 | 79 |
| 4 | 3 | 0 | 79 |
| 3 | 2 | 1 | 79 |
| 3 | 1 | 0 | 79 |
| 3 | 3 | 0 | 79 |
| 2 | 2 | 0 | 79 |
| 4 | 2 | 1 | 79 |
| 3 | 2 | 0 | 79 |
| 2 | 3 | 0 | 79 |
| 4 | 3 | 1 | 79 |
| 2 | 1 | 0 | 79 |
| 4 | 4 | 1 | 79 |
| 4 | 4 | 1 | 79 |
| 4 | 3 | 0 | 79 |
| 3 | 4 | 1 | 79 |
| 4 | 3 | 1 | 79 |
| 4 | 3 | 1 | 79 |
| 3 | 4 | 1 | 79 |
| 3 | 3 | 0 | 79 |
| 4 | 4 | 1 | 79 |
| 3 | 4 | 1 | 79 |
| 3 | 4 | 1 | 79 |
| 4 | 2 | 1 | 79 |
| 3 | 3 | 0 | 79 |
| 1 | 4 | 1 | 79 |
| 3 | 3 | 1 | 79 |
| 3 | 3 | 1 | 79 |
| 2 | 2 | 0 | 79 |
| 3 | 4 | 1 | 79 |
| 4 | 3 | 1 | 79 |
| 2 | 3 | 0 | 79 |
| 3 | 4 | 1 | 79 |
| 3 | 1 | 0 | 79 |
| 3 | 2 | 0 | 79 |
| 4 | 4 | 1 | 79 |
| 3 | 3 | 0 | 79 |
| 3 | 3 | 0 | 79 |
| 3 | 3 | 1 | 79 |
| 4 | 4 | 1 | 79 |
| 4 | 2 | 0 | 79 |
| 2 | 3 | 0 | 79 |
| 4 | 4 | 1 | 79 |
| 4 | 2 | 0 | 79 |
| 3 | 3 | 0 | 79 |
| 3 | 4 | 0 | 79 |
| 4 | 2 | 1 | 79 |
| 4 | 3 | 1 | 79 |
| 4 | 2 | 1 | 79 |
| 3 | 1 | 0 | 79 |
| 4 | 4 | 1 | 79 |
| 4 | 3 | 0 | 79 |
| 4 | 3 | 0 | 79 |
| 2 | 1 | 0 | 79 |
| 3 | 1 | 0 | 79 |
| 4 | 3 | 0 | 79 |
| 4 | 3 | 0 | 79 |
| 3 | 3 | 1 | 79 |
| 4 | 4 | 0 | 79 |
| 4 | 2 | 0 | 79 |
| 2 | 4 | NA | 79 |
| 2 | 3 | 0 | 79 |
| 2 | 3 | 0 | 79 |
| 2 | 3 | 1 | 79 |
| 1 | 3 | 0 | 79 |
| 4 | 3 | 1 | 79 |
| 3 | 4 | 1 | 79 |
| 3 | 2 | 0 | 79 |
| 3 | 1 | 0 | 79 |
| 3 | 4 | 1 | 79 |
| 4 | 4 | 1 | 79 |
| 4 | 4 | 1 | 79 |
| 2 | 3 | 1 | 79 |
| 4 | 4 | 1 | 79 |
| 1 | 1 | 1 | 79 |
| 1 | 1 | 0 | 79 |
| 1 | 2 | 1 | 79 |
| 1 | 1 | 0 | 79 |
| 1 | 1 | 0 | 79 |
| 4 | 2 | 0 | 79 |
| 3 | 2 | 0 | 79 |
| 2 | 3 | 1 | 79 |
| 1 | 2 | 0 | 79 |
| 1 | 1 | 0 | 79 |
| 3 | 1 | 0 | 79 |
| 2 | 3 | 1 | 79 |
| 4 | 4 | 1 | 79 |
| 1 | 4 | 1 | 79 |
| 3 | 4 | 1 | 79 |
| 4 | 4 | 1 | 79 |
| 4 | 3 | 1 | 79 |
| 1 | 2 | 0 | 79 |
| 3 | 1 | 0 | 79 |
| 1 | 1 | 1 | 79 |
| 1 | 2 | 1 | 79 |
| 4 | 3 | 0 | 79 |
| 4 | 3 | 1 | 79 |
| 4 | 4 | 1 | 79 |
| 4 | 3 | 1 | 79 |
| 4 | 4 | 1 | 79 |
| 1 | 1 | 0 | 79 |
| 1 | 1 | 0 | 79 |
| 2 | 3 | 0 | 79 |
| 1 | 3 | 0 | 79 |
| 4 | 2 | 1 | 79 |
| 3 | 3 | 1 | 79 |
| 4 | 4 | 1 | 79 |
| 4 | 4 | 1 | 79 |
| 2 | 2 | 0 | 79 |
| 2 | 2 | 0 | 79 |
| 1 | 2 | 1 | 79 |
| 2 | 2 | 1 | 79 |
| 1 | 2 | 0 | 79 |
| 3 | 2 | 1 | 79 |
| 4 | 3 | 0 | 79 |
| 4 | 3 | 1 | 79 |
| 2 | 4 | 1 | 79 |
| 4 | 3 | 1 | 79 |
| 4 | 4 | 0 | 79 |
| 4 | 4 | 1 | 79 |
| 1 | 1 | 1 | 79 |
| 3 | 3 | NA | 79 |
| 1 | 1 | 0 | 79 |
| 2 | 1 | 0 | 79 |
| 3 | 1 | 0 | 79 |
| 2 | 1 | 0 | 79 |
| 2 | 1 | 1 | 79 |
| 3 | 2 | 1 | 79 |
| 3 | 2 | 1 | 79 |
| 1 | 1 | 1 | 79 |
| 2 | 2 | 1 | 79 |
| 4 | 4 | 1 | 79 |
| 3 | 2 | 0 | 79 |
| 4 | 3 | 1 | 79 |
| 4 | 3 | 1 | 79 |
| 2 | 3 | 0 | 79 |
| 4 | 3 | 1 | 79 |
| 3 | 4 | 1 | 79 |
| 1 | 2 | 1 | 79 |
| 1 | 1 | 1 | 79 |
| 2 | 4 | 1 | 79 |
| 1 | 1 | NA | 79 |
| 1 | 1 | 0 | 79 |
| 1 | 1 | 0 | 79 |
| 1 | 1 | 0 | 79 |
| 1 | 1 | 1 | 79 |
| 1 | 1 | 0 | 79 |
| 1 | 1 | 0 | 79 |
| 1 | 1 | 1 | 79 |
| 1 | 1 | 0 | 79 |
| 1 | 1 | 0 | 79 |
| 1 | 1 | 0 | 79 |
| 2 | 2 | 0 | 79 |
| 2 | 2 | 1 | 79 |
| 4 | 4 | 1 | 79 |
| 3 | 1 | 1 | 79 |
| 3 | 2 | 0 | 79 |
| 3 | 4 | 1 | 79 |
| 1 | 1 | 0 | 79 |
| 1 | 3 | 1 | 79 |
| 2 | 2 | 0 | 79 |
| 2 | 1 | 0 | 79 |
| 3 | 2 | 0 | 79 |
| 1 | 2 | 0 | 79 |
| 4 | 2 | 1 | 79 |
| 2 | 3 | 1 | 79 |
| 2 | 4 | 1 | 79 |
| 1 | 1 | 1 | 79 |
| 1 | 2 | 0 | 79 |
| 3 | 3 | 1 | 79 |
| 2 | 3 | 0 | 79 |
| 2 | 1 | 1 | 79 |
| 3 | 3 | 0 | 79 |
| 4 | 4 | 1 | 79 |
| 4 | 3 | 1 | 79 |
| 4 | 4 | 1 | 79 |
| 1 | 1 | 1 | 79 |
| 2 | 4 | 1 | 79 |
| 3 | 1 | 0 | 79 |
| 3 | 2 | 0 | 79 |
| 2 | 1 | 1 | 79 |
| 2 | 1 | 1 | 79 |
| 1 | 1 | 1 | 79 |
| 1 | 1 | 1 | 79 |
| 1 | 2 | 1 | 79 |
| 2 | 3 | 0 | 79 |
| 4 | 1 | 0 | 79 |
| 1 | 2 | 1 | 79 |
| 1 | 1 | 0 | 79 |
| 2 | 1 | 0 | 79 |
| 2 | 1 | 0 | 79 |
| 4 | 4 | 1 | 79 |
| 3 | 3 | 1 | 79 |
| 3 | 3 | 1 | 79 |
| 1 | 1 | NA | 79 |
| 3 | 1 | 0 | 79 |
| 2 | 3 | 1 | 79 |
| 2 | 4 | 1 | 79 |
| 2 | 2 | 0 | 79 |
| 3 | 3 | 0 | 79 |
| 4 | 4 | 1 | 79 |
| 1 | 2 | 0 | 79 |
| 2 | 4 | 1 | 79 |
| 4 | 4 | 1 | 79 |
| 4 | 4 | 1 | 79 |
| 4 | 2 | 1 | 79 |
| 4 | 3 | 1 | 79 |
| 1 | 1 | 1 | 79 |
| 1 | 2 | 1 | 79 |
| 1 | 1 | 0 | 79 |
| 1 | 1 | 0 | 79 |
| 4 | 1 | 0 | 79 |
| 4 | 1 | 0 | 79 |
| 4 | 2 | 1 | 79 |
| 1 | 1 | 0 | 79 |
| 1 | 1 | 0 | 79 |
| 1 | 2 | 1 | 79 |
| 1 | 2 | 0 | 79 |
| 2 | 2 | 1 | 79 |
| 3 | 2 | 0 | 79 |
| 3 | 3 | 1 | 79 |
| 1 | 1 | 0 | 79 |
| 3 | 4 | 1 | 79 |
| 3 | 3 | 1 | 79 |
| 3 | 2 | 0 | 79 |
| 1 | 3 | 0 | 79 |
| 2 | 1 | 0 | 79 |
| 2 | 1 | 0 | 79 |
| 2 | 2 | 0 | 79 |
| 2 | 3 | 0 | 79 |
| 3 | 1 | 0 | 79 |
| 1 | 3 | NA | 79 |
| 4 | 4 | 1 | 79 |
| 4 | 1 | 0 | 79 |
| 3 | 3 | 0 | 79 |
| 3 | 3 | 0 | 79 |
| 3 | 4 | 1 | 79 |
| 2 | 2 | 0 | 79 |
| 1 | 2 | 1 | 79 |
| 1 | 1 | 0 | 79 |
| 1 | 1 | 0 | 79 |
| 1 | 1 | 0 | 79 |
| 1 | 1 | 0 | 79 |
| 1 | 1 | 0 | 79 |
| 1 | 1 | 0 | 79 |
| 1 | 1 | NA | 79 |
| 1 | 1 | 0 | 79 |
| 2 | 4 | 1 | 79 |
| 2 | 2 | 1 | 79 |
| 1 | 2 | 0 | 79 |
| 3 | 2 | 0 | 79 |
| 4 | 2 | 0 | 79 |
| 1 | 4 | 0 | 79 |
| 1 | 1 | 0 | 79 |
| 3 | 1 | 0 | 79 |
| 2 | 1 | 1 | 79 |
| 2 | 2 | 1 | 79 |
| 4 | 4 | 1 | 79 |
| 1 | 1 | 0 | 79 |
| 3 | 2 | 1 | 79 |
| 1 | 1 | 1 | 79 |
| 1 | 1 | 0 | 79 |
| 1 | 1 | 1 | 79 |
| 2 | 3 | 0 | 79 |
| 4 | 4 | 1 | 79 |
| 2 | 4 | 1 | 79 |
| 3 | 3 | 0 | 79 |
| 3 | 4 | 1 | 79 |
| 2 | 3 | 1 | 79 |
| 4 | 2 | 1 | 79 |
| 4 | 2 | 0 | 79 |
| 2 | 1 | 0 | 79 |
| 2 | 2 | 0 | 79 |
| 1 | 1 | 0 | 79 |
| 1 | 2 | 1 | 79 |
| 3 | 2 | 0 | 79 |
| 2 | 2 | 0 | 79 |
| 1 | 2 | 0 | 79 |
| 3 | 2 | 0 | 79 |
| 3 | 1 | 0 | 79 |
| 1 | 2 | 1 | 79 |
| 2 | 2 | 1 | 79 |
| 3 | 1 | 0 | 79 |
| 4 | 3 | 0 | 79 |
| 4 | 2 | 0 | 79 |
| 3 | 3 | 0 | 79 |
| 3 | 1 | 1 | 79 |
| 4 | 3 | 1 | 79 |
| 3 | 4 | 1 | 79 |
| 3 | 3 | 1 | 79 |
| 4 | 3 | 1 | 79 |
| 4 | 4 | 1 | 79 |
| 4 | 1 | 0 | 79 |
| 4 | 1 | 1 | 79 |
| 4 | 1 | 0 | 79 |
| 1 | 1 | 0 | 79 |
| 4 | 3 | 0 | 79 |
| 3 | 3 | 0 | 79 |
| 2 | 1 | 0 | 79 |
| 3 | 2 | 0 | 79 |
| 3 | 2 | 0 | 79 |
| 3 | 2 | 0 | 79 |
| 2 | 3 | 0 | 79 |
| 1 | 4 | 0 | 79 |
| 3 | 2 | 0 | 79 |
| 4 | 3 | 0 | 79 |
| 3 | 4 | 1 | 79 |
| 1 | 3 | 0 | 79 |
| 2 | 3 | 1 | 79 |
| 3 | 3 | 0 | 79 |
| 4 | 4 | 1 | 79 |
| 3 | 4 | 1 | 79 |
| 2 | 2 | 0 | 79 |
| 2 | 3 | 1 | 79 |
| 3 | 4 | 1 | 79 |
| 3 | 4 | 0 | 79 |
| 4 | 4 | 1 | 79 |
| 3 | 4 | 1 | 79 |
| 3 | 2 | 1 | 79 |
| 3 | 2 | 1 | 79 |
| 4 | 3 | 1 | 79 |
| 4 | 4 | 1 | 79 |
| 2 | 1 | 1 | 79 |
| 2 | 1 | 1 | 79 |
| 1 | 1 | 0 | 79 |
| 3 | 1 | 0 | 79 |
| 3 | 4 | 1 | 79 |
| 4 | 4 | 1 | 79 |
| 4 | 3 | 1 | 79 |
| 1 | 2 | 0 | 79 |
| 4 | 3 | 0 | 79 |
| 4 | 2 | 0 | 79 |
| 3 | 4 | 1 | 79 |
| 3 | 1 | 1 | 79 |
| 1 | 3 | 0 | 79 |
| 4 | 4 | 1 | 79 |
| 4 | 4 | 1 | 79 |
| 4 | 3 | 1 | 79 |
| 2 | 3 | 1 | 79 |
| 4 | 3 | 1 | 79 |
| 2 | 2 | 1 | 79 |
| 1 | 1 | 0 | 79 |
| 1 | 1 | 0 | 79 |
| 1 | 1 | 0 | 79 |
| 2 | 1 | 1 | 79 |
| 3 | 2 | 1 | 79 |
| 4 | 4 | NA | 79 |
| 3 | 3 | 1 | 79 |
| 4 | 2 | 1 | 79 |
| 4 | 3 | 1 | 79 |
| 2 | 2 | 1 | 79 |
| 3 | 1 | 0 | 79 |
| 2 | 1 | NA | 79 |
| 1 | 1 | 1 | 79 |
| 3 | 2 | 0 | 79 |
| 2 | 4 | 1 | 79 |
| 4 | 3 | 1 | 79 |
| 1 | 4 | 1 | 79 |
| 2 | 1 | NA | 79 |
| 4 | 4 | 1 | 79 |
| 4 | 4 | 0 | 79 |
| 1 | 1 | 0 | 79 |
| 2 | 2 | 0 | 79 |
| 1 | 4 | 0 | 79 |
| 3 | 1 | 1 | 79 |
| 2 | 3 | 1 | 79 |
| 4 | 4 | 1 | 79 |
| 2 | 2 | 0 | 79 |
| 2 | 2 | 0 | 79 |
| 1 | 1 | 0 | 79 |
| 2 | 2 | 1 | 79 |
| 2 | 4 | 1 | 79 |
| 2 | 4 | 1 | 79 |
| 1 | 1 | 0 | 79 |
| 1 | 2 | 0 | 79 |
| 1 | 2 | 1 | 79 |
| 2 | 3 | 1 | 79 |
| 1 | 3 | 0 | 79 |
| 4 | 3 | 1 | 79 |
| 3 | 4 | 1 | 79 |
| 4 | 3 | 1 | 79 |
| 3 | 2 | 0 | 79 |
| 3 | 3 | 0 | 79 |
| 3 | 4 | 1 | 79 |
| 2 | 2 | 1 | 79 |
| 4 | 4 | 1 | 79 |
| 3 | 3 | 1 | 79 |
| 4 | 3 | 0 | 79 |
| 4 | 2 | 1 | 79 |
| 1 | 2 | 0 | 79 |
| 1 | 1 | 0 | 79 |
| 2 | 2 | 0 | 79 |
| 3 | 4 | 1 | 79 |
| 2 | 1 | 0 | 79 |
| 1 | 1 | 0 | 79 |
| 2 | 3 | 0 | 79 |
| 1 | 1 | 0 | 79 |
| 1 | 1 | 0 | 79 |
| 1 | 2 | 1 | 79 |
| 1 | 1 | 0 | 79 |
| 1 | 1 | 1 | 79 |
| 1 | 3 | 1 | 79 |
| 2 | 1 | 0 | 79 |
| 2 | 1 | 1 | 79 |
| 3 | 2 | 1 | 79 |
| 2 | 2 | 0 | 79 |
| 3 | 4 | NA | 79 |
| 1 | 4 | 1 | 79 |
| 3 | 4 | 1 | 79 |
| 1 | 4 | 1 | 79 |
| 2 | 2 | NA | 79 |
| 2 | 4 | 0 | 79 |
| 4 | 2 | 0 | 79 |
| 1 | 1 | 0 | 79 |
| 3 | 4 | 1 | 79 |
| 4 | 2 | 0 | 79 |
| 2 | 3 | 0 | 79 |
| 2 | 2 | NA | 79 |
| 1 | 1 | 0 | 79 |
| 1 | 2 | 1 | 79 |
| 1 | 4 | 0 | 79 |
| 4 | 2 | 1 | 79 |
| 4 | 3 | 0 | 79 |
| 3 | 4 | 0 | 79 |
| 2 | 3 | 0 | 79 |
| 3 | 2 | 0 | 79 |
| 4 | 3 | 1 | 79 |
| 1 | 1 | 0 | 79 |
| 3 | 3 | 1 | 79 |
| 4 | 3 | 1 | 79 |
| 3 | 3 | 1 | 79 |
| 3 | 3 | 1 | 79 |
| 2 | 2 | 0 | 79 |
| 2 | 3 | 0 | 79 |
| 2 | 2 | 1 | 79 |
| 3 | 4 | 1 | 79 |
| 4 | 2 | 0 | 79 |
| 3 | 2 | 0 | 79 |
| 3 | 4 | NA | 79 |
| 2 | 3 | 0 | 79 |
| 1 | 3 | 1 | 79 |
| 3 | 2 | 1 | 79 |
| 4 | 4 | 1 | 79 |
| 4 | 4 | 1 | 79 |
| 4 | 4 | 1 | 79 |
| 2 | 3 | 0 | 79 |
| 2 | 3 | 1 | 79 |
| 1 | 2 | 0 | 79 |
| 1 | 3 | NA | 79 |
| 3 | 3 | 0 | 79 |
| 4 | 3 | 1 | 79 |
| 4 | 3 | 1 | 79 |
| 3 | 4 | 1 | 79 |
| 2 | 4 | 0 | 79 |
| 3 | 3 | 1 | 79 |
| 3 | 2 | 0 | 79 |
| 2 | 2 | 1 | 79 |
| 3 | 3 | 0 | 79 |
| 3 | 3 | 0 | 79 |
| 4 | 2 | 1 | 79 |
| 1 | 1 | 0 | 79 |
| 1 | 1 | 0 | 79 |
| 3 | 3 | 0 | 79 |
| 3 | 4 | 1 | 79 |
| 3 | 1 | NA | 79 |
| 4 | 4 | 1 | 79 |
| 3 | 4 | 1 | 79 |
| 3 | 3 | 1 | 79 |
| 3 | 3 | 1 | 79 |
| 1 | 1 | 0 | 79 |
| 4 | 2 | 1 | 79 |
| 4 | 4 | 1 | 79 |
| 4 | 2 | 0 | 79 |
| 2 | 1 | 0 | 79 |
| 1 | 1 | 0 | 79 |
| 1 | 3 | 0 | 79 |
| 2 | 3 | 0 | 79 |
| 1 | 4 | 1 | 79 |
| 3 | 4 | 1 | 79 |
| 4 | 4 | 1 | 79 |
| 4 | 3 | 1 | 79 |
| 4 | 4 | 1 | 79 |
| 1 | 2 | 0 | 79 |
| 1 | 1 | 1 | 79 |
| 1 | 4 | 1 | 79 |
| 2 | 1 | 0 | 79 |
| 2 | 2 | 1 | 79 |
| 3 | 4 | 0 | 79 |
| 1 | 1 | 0 | 79 |
| 1 | 2 | 0 | 79 |
| 3 | 4 | 1 | 79 |
| 3 | 2 | 0 | 79 |
| 3 | 2 | 0 | 79 |
| 2 | 1 | NA | 79 |
| 2 | 2 | 0 | 79 |
| 3 | 3 | 1 | 79 |
| 3 | 4 | 1 | 79 |
| 3 | 4 | 1 | 79 |
| 3 | 4 | 0 | 79 |
| 3 | 4 | 0 | 79 |
| 1 | 1 | 0 | 79 |
| 1 | 3 | 0 | 79 |
| 3 | 3 | 1 | 79 |
| 3 | 1 | 0 | 79 |
| 4 | 1 | 0 | 79 |
| 1 | 1 | 0 | 79 |
| 2 | 1 | 0 | 79 |
| 2 | 2 | 1 | 79 |
| 3 | 4 | 1 | 79 |
| 4 | 3 | 0 | 79 |
| 2 | 4 | 1 | 79 |
| 1 | 4 | 1 | 79 |
| 4 | 4 | 1 | 79 |
| 3 | 2 | 0 | 79 |
| 2 | 1 | 0 | 79 |
| 4 | 2 | 1 | 79 |
| 2 | 3 | 0 | 79 |
| 4 | 3 | 1 | 79 |
| 4 | 4 | 1 | 79 |
| 1 | 1 | 0 | 79 |
| 1 | 1 | 1 | 79 |
| 3 | 3 | 1 | 79 |
| 3 | 3 | 1 | 79 |
| 3 | 1 | 0 | 79 |
| 2 | 1 | 0 | 79 |
| 1 | 3 | 0 | 79 |
| 3 | 2 | 1 | 79 |
| 1 | 1 | 1 | 79 |
| 3 | 4 | 1 | 79 |
| 3 | 3 | 1 | 79 |
| 2 | 4 | 1 | 79 |
| 4 | 4 | 1 | 79 |
| 2 | 2 | 0 | 79 |
| 3 | 2 | 1 | 79 |
| 1 | 1 | 0 | 79 |
| 3 | 4 | 1 | 79 |
| 2 | 3 | 1 | 79 |
| 4 | 2 | NA | 79 |
| 4 | 3 | 1 | 79 |
| 3 | 2 | 1 | 79 |
| 1 | 2 | 0 | 79 |
| 4 | 3 | 0 | 79 |
| 1 | 2 | 0 | 79 |
| 2 | 3 | 0 | 79 |
| 1 | 3 | 0 | 79 |
| 2 | 2 | 1 | 79 |
| 2 | 1 | 0 | 79 |
| 2 | 1 | NA | 79 |
| 1 | 1 | 0 | 79 |
| 1 | 4 | 1 | 79 |
| 3 | 4 | 1 | 79 |
| 3 | 2 | 0 | 79 |
| 1 | 3 | 0 | 79 |
| 2 | 3 | 1 | 79 |
| 1 | 3 | 1 | 79 |
| 1 | 2 | 0 | 79 |
| 1 | 1 | 1 | 79 |
| 2 | 1 | 0 | 79 |
| 2 | 2 | 0 | 79 |
| 1 | 3 | 1 | 79 |
| 3 | 3 | 1 | 79 |
| 1 | 2 | 0 | 79 |
| 1 | 1 | 0 | 79 |
| 2 | 1 | 1 | 79 |
| 1 | 3 | 0 | 79 |
| 1 | 4 | 1 | 79 |
| 3 | 2 | 0 | 79 |
| 4 | 2 | 1 | 79 |
| 4 | 4 | 1 | 79 |
| 4 | 4 | 1 | 79 |
| 2 | 1 | 0 | 79 |
| 3 | 4 | 1 | 79 |
| 1 | 1 | 0 | 79 |
| 1 | 1 | 0 | 79 |
| 1 | 1 | 0 | 79 |
| 1 | 1 | 0 | 79 |
| 2 | 1 | 0 | 79 |
| 2 | 1 | 0 | 79 |
| 2 | 2 | 0 | 79 |
| 1 | 1 | 0 | 79 |
| 1 | 3 | 1 | 79 |
| 1 | 1 | 1 | 79 |
| 2 | 1 | 0 | 79 |
| 2 | 1 | 0 | 79 |
| 1 | 1 | 1 | 79 |
| 1 | 1 | 0 | 79 |
| 3 | 2 | 0 | 79 |
| 1 | 3 | 0 | 79 |
| 3 | 4 | 1 | 79 |
| 2 | 4 | 1 | 79 |
| 3 | 3 | 1 | 79 |
| 4 | 4 | 1 | 79 |
| 4 | 4 | 1 | 79 |
| 3 | 4 | 1 | 79 |
| 2 | 3 | 1 | 79 |
| 3 | 4 | 1 | 79 |
| 4 | 1 | 0 | 79 |
| 2 | 1 | 0 | 79 |
| 3 | 1 | 0 | 79 |
| 1 | 1 | 1 | 79 |
| 1 | 2 | 1 | 79 |
| 1 | 1 | 0 | 79 |
| 2 | 1 | NA | 79 |
| 2 | 4 | NA | 79 |
| 3 | 3 | 0 | 79 |
| 3 | 3 | 1 | 79 |
| 3 | 3 | 1 | 79 |
| 2 | 3 | 1 | 79 |
| 2 | 4 | 1 | 79 |
| 3 | 4 | 1 | 79 |
| 4 | 2 | 0 | 79 |
| 4 | 1 | 1 | 79 |
| 4 | 2 | 0 | 79 |
| 1 | 2 | 0 | 79 |
| 2 | 1 | 1 | 79 |
| 3 | 1 | 0 | 79 |
| 1 | 1 | NA | 79 |
| 3 | 1 | 0 | 79 |
| 3 | 2 | 0 | 79 |
| 2 | 4 | 0 | 79 |
| 2 | 3 | 0 | 79 |
| 1 | 2 | 1 | 79 |
| 2 | 2 | 0 | 79 |
| 2 | 3 | 1 | 79 |
| 3 | 1 | 1 | 79 |
| 1 | 1 | 0 | 79 |
| 1 | 1 | 0 | 79 |
| 2 | 2 | 0 | 79 |
| 2 | 4 | 1 | 79 |
| 2 | 3 | 0 | 79 |
| 4 | 3 | 1 | 79 |
| 4 | 2 | 0 | 79 |
| 4 | 1 | 1 | 79 |
| 2 | 4 | 1 | 79 |
| 1 | 1 | 0 | 79 |
| 1 | 2 | 0 | 79 |
| 2 | 3 | 1 | 79 |
| 2 | 3 | 0 | 79 |
| 3 | 2 | 1 | 79 |
| 2 | 2 | NA | 79 |
| 2 | 4 | 1 | 79 |
| 3 | 4 | 1 | 79 |
| 4 | 4 | 1 | 79 |
| 4 | 3 | 0 | 79 |
| 4 | 3 | 1 | 79 |
| 2 | 2 | 0 | 79 |
| 3 | 2 | 0 | 79 |
| 3 | 3 | 0 | 79 |
| 3 | 4 | 0 | 79 |
| 2 | 2 | 1 | 79 |
| 2 | 1 | 0 | 79 |
| 3 | 3 | 1 | 79 |
| 3 | 4 | 1 | 79 |
| 2 | 1 | 0 | 79 |
| 2 | 3 | 1 | 79 |
| 3 | 4 | 1 | 79 |
| 2 | 3 | 1 | 79 |
| 2 | 2 | 0 | 79 |
| 1 | 4 | 1 | 79 |
| 3 | 3 | 0 | 79 |
| 2 | 1 | 0 | 79 |
| 1 | 3 | 1 | 79 |
| 3 | 3 | 0 | 79 |
| 3 | 3 | 0 | 79 |
| 2 | 3 | 1 | 79 |
| 1 | 2 | 0 | 79 |
| 3 | 3 | 0 | 79 |
| 2 | 4 | 0 | 79 |
| 1 | 2 | 0 | 79 |
| 4 | 4 | 1 | 79 |
| 1 | 3 | 0 | 79 |
| 3 | 4 | 1 | 79 |
| 3 | 2 | 0 | 79 |
| 3 | 1 | 0 | 79 |
| 2 | 3 | 1 | 79 |
| 2 | 3 | 0 | 79 |
| 2 | 3 | 0 | 79 |
| 3 | 4 | 1 | 79 |
| 2 | 1 | 0 | 79 |
| 2 | 3 | 0 | 79 |
| 2 | 1 | 0 | 79 |
| 2 | 1 | 0 | 79 |
| 2 | 1 | 1 | 79 |
| 2 | 1 | 0 | 79 |
| 4 | 4 | 1 | 79 |
| 4 | 2 | 0 | 79 |
| 2 | 4 | 1 | 79 |
| 2 | 3 | 1 | 79 |
| 3 | 3 | 0 | 79 |
| 2 | 2 | 0 | 79 |
| 2 | 2 | 0 | 79 |
| 3 | 4 | 1 | 79 |
| 2 | 4 | 1 | 79 |
| 1 | 2 | 0 | 79 |
| 3 | 4 | 1 | 79 |
| 1 | 4 | 1 | 79 |
| 1 | 3 | 0 | 79 |
| 2 | 4 | 0 | 79 |
| 3 | 4 | 0 | 79 |
| 4 | 4 | 1 | 79 |
| 3 | 4 | 1 | 79 |
| 1 | 4 | 1 | 79 |
| 3 | 3 | 1 | 79 |
| 1 | 2 | 0 | 79 |
| 1 | 1 | 0 | 79 |
| 1 | 4 | 0 | 79 |
| 2 | 2 | 0 | 79 |
| 2 | 1 | NA | 79 |
| 2 | 2 | 0 | 79 |
| 2 | 1 | 0 | 79 |
| 1 | 4 | 1 | 79 |
| 4 | 3 | 0 | 79 |
| 4 | 2 | 0 | 79 |
| 1 | 1 | 0 | 79 |
| 2 | 2 | 0 | 79 |
| 3 | 2 | 0 | 79 |
| 2 | 4 | 0 | 79 |
| 3 | 3 | 0 | 79 |
| 2 | 4 | 1 | 79 |
| 4 | 4 | 0 | 79 |
| 2 | 4 | 0 | 79 |
| 3 | 4 | 0 | 79 |
| 4 | 4 | 1 | 79 |
| 4 | 2 | 0 | 79 |
| 1 | 4 | 0 | 79 |
| 1 | 1 | 0 | 79 |
| 3 | 4 | 1 | 79 |
| 1 | 3 | 1 | 79 |
| 4 | 3 | 0 | 79 |
| 1 | 3 | 1 | 79 |
| 2 | 4 | 1 | 79 |
| 2 | 3 | 1 | 79 |
| 3 | 4 | 1 | 79 |
| 1 | 2 | 1 | 79 |
| 1 | 1 | 0 | 79 |
| 2 | 3 | 1 | 79 |
| 1 | 3 | 0 | 79 |
| 2 | 2 | 0 | 79 |
| 2 | 2 | 0 | 79 |
| 1 | 1 | 0 | 79 |
| 1 | 1 | 1 | 79 |
| 1 | 1 | 0 | 79 |
| 1 | 2 | 0 | 79 |
| 1 | 1 | 0 | 79 |
| 2 | 1 | 0 | 79 |
| 1 | 1 | 0 | 79 |
| 1 | 2 | 1 | 79 |
| 1 | 3 | 1 | 79 |
| 1 | 2 | 0 | 79 |
| 1 | 1 | 0 | 79 |
| 1 | 1 | 0 | 79 |
| 1 | 2 | 0 | 79 |
| 1 | 1 | 0 | 79 |
| 1 | 3 | 1 | 79 |
| 1 | 2 | 0 | 79 |
| 1 | 2 | 1 | 79 |
| 1 | 2 | 1 | 79 |
| 1 | 1 | 0 | 79 |
| 1 | 1 | 0 | 79 |
| 1 | 2 | 0 | 79 |
| 1 | 1 | 0 | 79 |
| 1 | 1 | 0 | 79 |
| 1 | 4 | 1 | 79 |
| 2 | 2 | 1 | 79 |
| 2 | 4 | 1 | 79 |
| 1 | 3 | 1 | 79 |
| 4 | 3 | 1 | 79 |
| 2 | 2 | 0 | 79 |
| 1 | 3 | 0 | 79 |
| 1 | 4 | 1 | 79 |
| 2 | 3 | 1 | 79 |
| 2 | 2 | 1 | 79 |
| 3 | 3 | 1 | 79 |
| 3 | 3 | 0 | 79 |
| 3 | 1 | 0 | 79 |
| 1 | 2 | 0 | 79 |
| 2 | 2 | 1 | 79 |
| 1 | 3 | 0 | 79 |
| 2 | 1 | 0 | 79 |
| 2 | 1 | 0 | 79 |
| 2 | 2 | 1 | 79 |
| 3 | 4 | 1 | 79 |
| 2 | 1 | 0 | 79 |
| 1 | 2 | 0 | 79 |
| 1 | 1 | 0 | 79 |
| 1 | 1 | 0 | 79 |
| 2 | 4 | 1 | 79 |
| 1 | 1 | NA | 79 |
| 1 | 1 | 0 | 79 |
| 1 | 1 | 0 | 79 |
| 4 | 4 | 1 | 79 |
| 4 | 4 | 0 | 79 |
| 3 | 3 | 1 | 79 |
| 2 | 1 | 1 | 79 |
| 1 | 2 | 1 | 79 |
| 4 | 1 | 1 | 79 |
| 3 | 4 | 1 | 79 |
| 2 | 2 | 0 | 79 |
| 3 | 2 | 1 | 79 |
| 3 | 2 | 0 | 79 |
| 3 | 1 | NA | 79 |
| 2 | 3 | 1 | 79 |
| 1 | 1 | 0 | 79 |
| 3 | 2 | 0 | 79 |
| 3 | 2 | 0 | 79 |
| 1 | 1 | 0 | 79 |
| 3 | 3 | 0 | 79 |
| 2 | 2 | 0 | 79 |
| 3 | 2 | 0 | 79 |
| 2 | 4 | 1 | 79 |
| 4 | 4 | 1 | 79 |
| 3 | 3 | 1 | 79 |
| 2 | 4 | 1 | 79 |
| 2 | 4 | 1 | 79 |
| 2 | 4 | NA | 79 |
| 4 | 4 | 1 | 79 |
| 3 | 4 | 1 | 79 |
| 1 | 3 | 1 | 79 |
| 2 | 3 | 0 | 79 |
| 4 | 4 | 0 | 79 |
| 3 | 4 | 1 | 79 |
| 2 | 4 | 1 | 79 |
| 1 | 3 | 0 | 79 |
| 1 | 2 | 1 | 79 |
| 2 | 3 | 1 | 79 |
| 3 | 2 | 0 | 79 |
| 4 | 4 | 1 | 79 |
| 4 | 3 | 1 | 79 |
| 4 | 4 | 1 | 79 |
| 1 | 2 | 0 | 79 |
| 2 | 2 | 0 | 79 |
| 4 | 3 | 1 | 79 |
| 4 | 3 | NA | 79 |
| 4 | 4 | 1 | 79 |
| 4 | 4 | 1 | 79 |
| 4 | 3 | 1 | 79 |
| 4 | 4 | 1 | 79 |
| 4 | 3 | 1 | 79 |
| 4 | 4 | 1 | 79 |
| 4 | 4 | 1 | 79 |
| 4 | 4 | 1 | 79 |
| 4 | 4 | 1 | 79 |
| 1 | 2 | 0 | 79 |
| 4 | 3 | 0 | 79 |
| 2 | 4 | 1 | 79 |
| 3 | 3 | 1 | 79 |
| 2 | 1 | 1 | 79 |
| 3 | 3 | 0 | 79 |
| 4 | 3 | 1 | 79 |
| 4 | 4 | 1 | 79 |
| 4 | 4 | 1 | 79 |
| 2 | 2 | 1 | 79 |
| 1 | 2 | 0 | 79 |
| 2 | 1 | 1 | 79 |
| 4 | 3 | 1 | 79 |
| 4 | 4 | 1 | 79 |
| 4 | 4 | 1 | 79 |
| 4 | 4 | 1 | 79 |
| 3 | 1 | 0 | 79 |
| 4 | 3 | 1 | 79 |
| 3 | 3 | 1 | 79 |
| 1 | 1 | 0 | 79 |
| 1 | 1 | 1 | 79 |
| 1 | 1 | 0 | 79 |
| 1 | 1 | 0 | 79 |
| 3 | 2 | 0 | 79 |
| 2 | 2 | 0 | 79 |
| 2 | 4 | 1 | 79 |
| 4 | 3 | 0 | 79 |
| 2 | 2 | 0 | 79 |
| 3 | 2 | 0 | 79 |
| 4 | 3 | 1 | 79 |
| 4 | 4 | 1 | 79 |
| 4 | 1 | 1 | 79 |
| 4 | 4 | 1 | 79 |
| 4 | 4 | 1 | 79 |
| 3 | 3 | 0 | 79 |
| 4 | 3 | 1 | 79 |
| 4 | 3 | 0 | 79 |
| 4 | 4 | NA | 79 |
| 1 | 1 | 0 | 79 |
| 3 | 3 | 1 | 79 |
| 2 | 3 | 1 | 79 |
| 2 | 3 | 1 | 79 |
| 1 | 1 | 0 | 79 |
| 2 | 4 | 1 | 79 |
| 4 | 3 | 1 | 79 |
| 4 | 2 | 0 | 79 |
| 4 | 2 | 0 | 79 |
| 3 | 2 | 1 | 79 |
| 4 | 2 | 1 | 79 |
| 3 | 2 | 0 | 79 |
| 4 | 3 | 0 | 79 |
| 1 | 2 | 1 | 79 |
| 1 | 1 | 0 | 79 |
| 2 | 1 | 0 | 79 |
| 2 | 4 | 0 | 79 |
| 1 | 1 | 0 | 79 |
| 1 | 1 | 0 | 79 |
| 1 | 2 | 0 | 79 |
| 2 | 2 | 0 | 79 |
| 1 | 3 | 1 | 79 |
| 1 | 2 | 0 | 79 |
| 1 | 3 | 0 | 79 |
| 1 | 2 | 0 | 79 |
| 4 | 4 | 1 | 79 |
| 4 | 4 | 1 | 79 |
| 4 | 2 | 1 | 79 |
| 1 | 1 | 0 | 79 |
| 1 | 1 | 0 | 79 |
| 4 | 4 | 1 | 79 |
| 1 | 3 | 1 | 79 |
| 3 | 4 | 1 | 79 |
| 4 | 3 | 0 | 79 |
| 2 | 4 | 0 | 79 |
| 3 | 2 | 1 | 79 |
| 2 | 2 | 1 | 79 |
| 4 | 4 | 0 | 79 |
| 1 | 4 | 0 | 79 |
| 2 | 4 | NA | 79 |
| 3 | 1 | 0 | 79 |
| 4 | 3 | 0 | 79 |
| 4 | 2 | 1 | 79 |
| 3 | 2 | 0 | 79 |
| 3 | 4 | 1 | 79 |
| 4 | 4 | 1 | 79 |
| 2 | 3 | 1 | 79 |
| 3 | 4 | 1 | 79 |
| 3 | 1 | NA | 79 |
| 2 | 2 | 0 | 79 |
| 3 | 2 | 0 | 79 |
| 4 | 3 | 1 | 79 |
| 3 | 2 | 1 | 79 |
| 4 | 4 | 1 | 79 |
| 2 | 2 | 1 | 79 |
| 4 | 2 | 0 | 79 |
| 4 | 4 | 1 | 79 |
| 1 | 1 | 0 | 79 |
| 3 | 1 | 0 | 79 |
| 4 | 4 | 1 | 79 |
| 2 | 1 | 0 | 79 |
| 1 | 1 | 1 | 79 |
| 3 | 2 | 0 | 79 |
| 3 | 1 | 0 | 79 |
| 3 | 4 | 0 | 79 |
| 3 | 4 | 1 | 79 |
| 2 | 2 | 1 | 79 |
| 4 | 3 | 0 | 79 |
| 2 | 3 | 0 | 79 |
| 2 | 4 | 0 | 79 |
| 3 | 3 | 1 | 79 |
| 3 | 4 | 1 | 79 |
| 3 | 4 | 1 | 79 |
| 3 | 4 | 1 | 79 |
| 4 | 1 | 0 | 79 |
| 4 | 3 | 1 | 79 |
| 3 | 3 | 0 | 79 |
| 4 | 3 | 1 | 79 |
| 4 | 4 | 1 | 79 |
| 2 | 3 | 0 | 79 |
| 4 | 4 | 1 | 79 |
| 2 | 2 | 0 | 79 |
| 2 | 4 | 1 | 79 |
| 3 | 3 | 1 | 79 |
| 3 | 4 | 1 | 79 |
| 4 | 4 | 0 | 79 |
| 1 | 2 | 0 | 79 |
| 1 | 1 | 0 | 79 |
| 1 | 3 | 0 | 79 |
| 2 | 1 | 0 | 79 |
| 2 | 2 | NA | 79 |
| 1 | 2 | 0 | 79 |
| 3 | 2 | 1 | 79 |
| 3 | 4 | 0 | 79 |
| 1 | 1 | 0 | 79 |
| 1 | 1 | 0 | 79 |
| 1 | 3 | 0 | 79 |
| 4 | 3 | 1 | 79 |
| 2 | 1 | 0 | 79 |
| 3 | 3 | 0 | 79 |
| 3 | 1 | 0 | 79 |
| 2 | 2 | 0 | 79 |
| 4 | 3 | 1 | 79 |
| 2 | 4 | 1 | 79 |
| 1 | 3 | 1 | 79 |
| 4 | 4 | 1 | 79 |
| 1 | 1 | 0 | 79 |
| 1 | 1 | 0 | 79 |
| 2 | 1 | 0 | 79 |
| 2 | 1 | 1 | 79 |
| 1 | 1 | 0 | 79 |
| 1 | 1 | 0 | 79 |
| 1 | 2 | 1 | 79 |
| 1 | 1 | 0 | 79 |
| 3 | 4 | 0 | 79 |
| 3 | 2 | 1 | 79 |
| 4 | 4 | 1 | 79 |
| 3 | 4 | 1 | 79 |
| 2 | 2 | 1 | 79 |
| 3 | 2 | 0 | 79 |
| 3 | 1 | 1 | 79 |
| 4 | 1 | 1 | 79 |
| 4 | 3 | 1 | 79 |
| 4 | 4 | 1 | 79 |
| 3 | 2 | 1 | 79 |
| 3 | 3 | 1 | 79 |
| 3 | 3 | 1 | 79 |
| 3 | 4 | 1 | 79 |
| 4 | 2 | 1 | 79 |
| 4 | 4 | 1 | 79 |
| 1 | 1 | 0 | 79 |
| 3 | 3 | 0 | 79 |
| 4 | 4 | 1 | 79 |
| 2 | 4 | 1 | 79 |
| 4 | 4 | 1 | 79 |
| 3 | 4 | 1 | 79 |
| 4 | 3 | 1 | 79 |
| 4 | 4 | 1 | 79 |
| 3 | 2 | 1 | 79 |
| 3 | 4 | 1 | 79 |
| 4 | 2 | 1 | 79 |
| 1 | 3 | 1 | 79 |
| 3 | 4 | 0 | 79 |
| 3 | 2 | 0 | 79 |
| 2 | 2 | 0 | 79 |
| 4 | 3 | 1 | 79 |
| 3 | 4 | 1 | 79 |
| 3 | 4 | 0 | 79 |
| 4 | 4 | 1 | 79 |
| 3 | 3 | 1 | 79 |
| 2 | 3 | 1 | 79 |
| 2 | 2 | 0 | 79 |
| 2 | 2 | 0 | 79 |
| 4 | 3 | 1 | 79 |
| 4 | 3 | 1 | 79 |
| 2 | 4 | 1 | 79 |
| 4 | 4 | 1 | 79 |
| 4 | 4 | 1 | 79 |
| 3 | 1 | 0 | 79 |
| 3 | 3 | 1 | 79 |
| 1 | 1 | 0 | 79 |
| 3 | 4 | 1 | 79 |
| 3 | 4 | 1 | 79 |
| 3 | 2 | 1 | 79 |
| 3 | 2 | 0 | 79 |
| 4 | 1 | 1 | 79 |
| 4 | 2 | 1 | 79 |
| 3 | 4 | 1 | 79 |
| 2 | 2 | 0 | 79 |
| 3 | 4 | 1 | 79 |
| 3 | 2 | 1 | 79 |
| 4 | 3 | 1 | 79 |
| 3 | 4 | 1 | 79 |
| 4 | 4 | 0 | 79 |
| 4 | 4 | 1 | 79 |
| 2 | 4 | 1 | 79 |
| 2 | 2 | 0 | 79 |
| 4 | 2 | 0 | 79 |
| 4 | 1 | 1 | 79 |
| 3 | 2 | 0 | 79 |
| 2 | 3 | 1 | 79 |
| 4 | 2 | 0 | 79 |
| 3 | 4 | 1 | 79 |
| 2 | 3 | 0 | 79 |
| 4 | 2 | 0 | 79 |
| 1 | 3 | 0 | 79 |
| 4 | 4 | 1 | 79 |
| 4 | 4 | 1 | 79 |
| 4 | 4 | 1 | 79 |
| 3 | 1 | 0 | 79 |
| 3 | 4 | 1 | 79 |
| 3 | 1 | 0 | 79 |
| 3 | 2 | 0 | 79 |
| 4 | 3 | 0 | 79 |
| 3 | 2 | 0 | 79 |
| 3 | 2 | 0 | 79 |
| 3 | 2 | 1 | 79 |
| 2 | 3 | 0 | 79 |
| 1 | 2 | 1 | 79 |
| 4 | 3 | 1 | 79 |
| 4 | 3 | 1 | 79 |
| 4 | 4 | 1 | 79 |
| 4 | 3 | 1 | 79 |
| 1 | 1 | 0 | 79 |
| 1 | 2 | 0 | 79 |
| 1 | 1 | 0 | 79 |
| 2 | 2 | 0 | 79 |
| 3 | 1 | 0 | 79 |
| 3 | 2 | 1 | 79 |
| 3 | 3 | 1 | 79 |
| 3 | 1 | 1 | 79 |
| 2 | 2 | 0 | 79 |
| 2 | 4 | 1 | 79 |
| 3 | 4 | 0 | 79 |
| 2 | 4 | 0 | 79 |
| 2 | 3 | 0 | 79 |
| 2 | 3 | 1 | 79 |
| 2 | 4 | 0 | 79 |
| 2 | 1 | 0 | 79 |
| 3 | 1 | 0 | 79 |
| 3 | 2 | NA | 79 |
| 2 | 1 | 0 | 79 |
| 3 | 1 | 0 | 79 |
| 2 | 1 | 0 | 79 |
| 2 | 1 | 0 | 79 |
| 3 | 4 | 1 | 79 |
| 3 | 4 | 0 | 79 |
| 4 | 1 | 0 | 79 |
| 3 | 1 | NA | 79 |
| 4 | 4 | 1 | 79 |
| 4 | 4 | 1 | 79 |
| 2 | 3 | 1 | 79 |
| 3 | 3 | 0 | 79 |
| 3 | 3 | 0 | 79 |
| 3 | 2 | 0 | 79 |
| 4 | 4 | 1 | 79 |
| 3 | 2 | 0 | 79 |
| 2 | 2 | 0 | 79 |
| 3 | 4 | 0 | 79 |
| 3 | 4 | 1 | 79 |
| 4 | 4 | 1 | 79 |
| 2 | 2 | 0 | 79 |
| 2 | 4 | 1 | 79 |
| 3 | 4 | 1 | 79 |
| 3 | 4 | 1 | 79 |
| 4 | 3 | 1 | 79 |
| 2 | 4 | 1 | 79 |
| 2 | 1 | 0 | 79 |
| 3 | 1 | 0 | 79 |
| 1 | 1 | 0 | 79 |
| 3 | 3 | 1 | 79 |
| 2 | 1 | 0 | 79 |
| 1 | 1 | 0 | 79 |
| 1 | 2 | 1 | 79 |
| 4 | 2 | 1 | 79 |
| 1 | 2 | 0 | 79 |
| 2 | 1 | 0 | 79 |
| 3 | 2 | 0 | 79 |
| 2 | 1 | 0 | 79 |
| 2 | 1 | 1 | 79 |
| 3 | 1 | 0 | 79 |
| 2 | 2 | 1 | 79 |
| 1 | 1 | 0 | 79 |
| 1 | 1 | NA | 79 |
| 1 | 2 | 1 | 79 |
| 3 | 3 | 1 | 79 |
| 2 | 4 | 1 | 79 |
| 4 | 3 | 1 | 79 |
| 4 | 4 | 1 | 79 |
| 4 | 4 | 1 | 79 |
| 4 | 4 | 1 | 79 |
| 4 | 3 | 1 | 79 |
| 4 | 3 | 1 | 79 |
| 4 | 4 | 1 | 79 |
| 4 | 3 | 1 | 79 |
| 4 | 4 | 1 | 79 |
| 4 | 4 | 1 | 79 |
| 1 | 4 | 1 | 79 |
| 3 | 2 | 0 | 79 |
| 3 | 2 | 0 | 79 |
| 4 | 2 | 1 | 79 |
| 1 | 1 | 0 | 79 |
| 4 | 1 | 0 | 79 |
| 3 | 4 | 0 | 79 |
| 3 | 2 | 0 | 79 |
| 2 | 3 | 1 | 79 |
| 2 | 3 | 0 | 79 |
| 4 | 3 | 0 | 79 |
| 1 | 3 | 0 | 79 |
| 4 | 4 | 1 | 79 |
| 2 | 4 | 1 | 79 |
| 3 | 3 | 0 | 79 |
| 3 | 2 | 0 | 79 |
| 3 | 2 | 0 | 79 |
| 3 | 1 | 0 | 79 |
| 3 | 1 | 0 | 79 |
| 1 | 2 | 0 | 79 |
| 4 | 4 | 1 | 79 |
| 1 | 3 | 0 | 79 |
| 2 | 3 | 0 | 79 |
| 1 | 4 | 0 | 79 |
| 2 | 4 | 0 | 79 |
| 4 | 3 | 1 | 79 |
| 4 | 4 | 1 | 79 |
| 3 | 2 | 0 | 79 |
| 3 | 3 | 0 | 79 |
| 1 | 4 | 0 | 79 |
| 3 | 3 | 0 | 79 |
| 2 | 4 | 1 | 79 |
| 1 | 3 | 0 | 79 |
| 4 | 4 | 0 | 79 |
| 3 | 2 | NA | 79 |
| 3 | 3 | 0 | 79 |
| 2 | 4 | 1 | 79 |
| 3 | 4 | 1 | 79 |
| 2 | 3 | 0 | 79 |
| 4 | 3 | 1 | 79 |
| 3 | 4 | 1 | 79 |
| 1 | 4 | 0 | 79 |
| 2 | 4 | 0 | 79 |
| 2 | 3 | 1 | 79 |
| 4 | 4 | 1 | 79 |
| 4 | 4 | 1 | 79 |
| 4 | 2 | 1 | 79 |
| 3 | 4 | 1 | 79 |
| 4 | 4 | 1 | 79 |
| 4 | 4 | 1 | 79 |
| 1 | 1 | 0 | 79 |
| 2 | 2 | 1 | 79 |
| 1 | 1 | 0 | 79 |
| 1 | 1 | 1 | 79 |
| 1 | 1 | 0 | 79 |
| 2 | 2 | 0 | 79 |
| 3 | 2 | 0 | 79 |
| 4 | 3 | 0 | 79 |
| 4 | 4 | 1 | 79 |
| 2 | 4 | 1 | 79 |
| 2 | 3 | 0 | 79 |
| 3 | 3 | 0 | 79 |
| 3 | 3 | 0 | 79 |
| 4 | 2 | 0 | 79 |
| 2 | 2 | 0 | 79 |
| 2 | 2 | 0 | 79 |
| 1 | 4 | 1 | 79 |
| 2 | 4 | 1 | 79 |
| 2 | 4 | 1 | 79 |
| 3 | 2 | 1 | 79 |
| 4 | 4 | 1 | 79 |
| 4 | 4 | 1 | 79 |
| 1 | 4 | 1 | 79 |
| 3 | 4 | 1 | 79 |
| 4 | 4 | 1 | 79 |
| 4 | 4 | 1 | 79 |
| 4 | 4 | 1 | 79 |
| 4 | 2 | 0 | 79 |
| 3 | 3 | 1 | 79 |
| 4 | 4 | 1 | 79 |
| 4 | 4 | 1 | 79 |
| 3 | 4 | 1 | 79 |
| 4 | 4 | 0 | 79 |
| 4 | 4 | 1 | 79 |
| 4 | 1 | 1 | 79 |
| 4 | 4 | 1 | 79 |
| 4 | 3 | 1 | 79 |
| 4 | 4 | 1 | 79 |
| 4 | 4 | 1 | 79 |
| 3 | 3 | 1 | 79 |
| 1 | 4 | 1 | 79 |
| 3 | 3 | 1 | 79 |
| 3 | 3 | 1 | 79 |
| 3 | 3 | 1 | 79 |
| 4 | 4 | 1 | 79 |
| 4 | 4 | 1 | 79 |
| 2 | 3 | 1 | 79 |
| 3 | 3 | 0 | 79 |
| 4 | 3 | 1 | 79 |
| 4 | 4 | 1 | 79 |
| 4 | 4 | 1 | 79 |
| 2 | 2 | 0 | 79 |
| 2 | 1 | 0 | 79 |
| 2 | 1 | 0 | 79 |
| 1 | 1 | NA | 79 |
| 1 | 1 | 0 | 79 |
| 1 | 1 | 0 | 79 |
| 2 | 1 | 1 | 79 |
| 1 | 1 | 0 | 79 |
| 4 | 3 | 1 | 79 |
| 2 | 1 | 1 | 79 |
| 2 | 1 | 1 | 79 |
| 2 | 2 | 0 | 79 |
| 2 | 2 | 0 | 79 |
| 4 | 3 | 1 | 79 |
| 1 | 4 | 1 | 79 |
| 4 | 3 | 1 | 79 |
| 4 | 4 | 1 | 79 |
| 1 | 1 | 0 | 79 |
| 1 | 1 | 0 | 79 |
| 1 | 1 | 0 | 79 |
| 1 | 1 | 0 | 79 |
| 3 | 2 | 1 | 79 |
| 2 | 1 | 0 | 79 |
| 2 | 3 | 0 | 79 |
| 1 | 1 | 1 | 79 |
| 2 | 1 | 0 | 79 |
| 4 | 2 | 0 | 79 |
| 4 | 3 | 1 | 79 |
| 4 | 2 | 1 | 79 |
| 1 | 2 | 0 | 79 |
| 2 | 4 | 1 | 79 |
| 2 | 2 | 0 | 79 |
| 3 | 1 | 0 | 79 |
| 1 | 2 | 0 | 79 |
| 1 | 2 | 1 | 79 |
| 1 | 4 | 1 | 79 |
| 1 | 1 | 0 | 79 |
| 1 | 2 | 0 | 79 |
| 2 | 2 | 1 | 79 |
| 1 | 4 | 1 | 79 |
| 1 | 2 | 0 | 79 |
| 2 | 1 | 0 | 79 |
| 1 | 2 | 0 | 79 |
| 4 | 1 | 1 | 79 |
| 1 | 4 | 0 | 79 |
| 2 | 3 | 1 | 79 |
| 3 | 2 | 0 | 79 |
| 3 | 4 | 0 | 79 |
| 3 | 2 | 0 | 79 |
| 2 | 3 | 0 | 79 |
| 1 | 2 | 1 | 79 |
| 1 | 2 | 0 | 79 |
| 1 | 1 | 0 | 79 |
| 3 | 3 | 1 | 79 |
| 3 | 4 | 1 | 79 |
| 4 | 3 | 1 | 79 |
| 4 | 4 | 1 | 79 |
| 1 | 4 | 1 | 79 |
| 4 | 2 | 1 | 79 |
| 4 | 3 | 1 | 79 |
| 3 | 4 | 1 | 79 |
| 3 | 3 | 0 | 79 |
| 1 | 2 | 0 | 79 |
| 1 | 1 | 0 | 79 |
| 1 | 2 | 0 | 79 |
| 1 | 1 | 0 | 79 |
| 1 | 1 | 0 | 79 |
| 3 | 1 | 0 | 79 |
| 4 | 4 | 1 | 79 |
| 1 | 3 | 0 | 79 |
| 2 | 1 | 0 | 79 |
| 1 | 2 | 1 | 79 |
| 2 | 3 | 1 | 79 |
| 3 | 2 | 0 | 79 |
| 4 | 3 | 1 | 79 |
| 4 | 4 | 1 | 79 |
| 4 | 4 | 1 | 79 |
| 4 | 3 | 1 | 79 |
| 4 | 4 | 0 | 79 |
| 4 | 1 | 0 | 79 |
| 4 | 2 | 0 | 79 |
| 3 | 3 | 0 | 79 |
| 2 | 4 | 1 | 79 |
| 4 | 4 | 1 | 79 |
| 3 | 3 | 1 | 79 |
| 3 | 4 | 1 | 79 |
| 4 | 2 | 0 | 79 |
| 1 | 1 | 0 | 79 |
| 1 | 1 | 0 | 79 |
| 2 | 3 | 0 | 79 |
| 1 | 3 | NA | 79 |
| 4 | 3 | 1 | 79 |
| 1 | 1 | 0 | 79 |
| 2 | 2 | 0 | 79 |
| 1 | 3 | 1 | 79 |
| 2 | 3 | 1 | 79 |
| 1 | 1 | 0 | 79 |
| 3 | 4 | 1 | 79 |
| 1 | 3 | 0 | 79 |
| 1 | 2 | 1 | 79 |
| 4 | 3 | 1 | 79 |
| 2 | 1 | 0 | 79 |
| 2 | 3 | 0 | 79 |
| 3 | 2 | 0 | 79 |
| 3 | 3 | 0 | 79 |
| 3 | 2 | 0 | 79 |
| 2 | 2 | 0 | 79 |
| 3 | 3 | 1 | 79 |
| 4 | 2 | 1 | 79 |
| 2 | 3 | 0 | 79 |
| 1 | 2 | 1 | 79 |
| 1 | 1 | 0 | 79 |
| 3 | 1 | 0 | 79 |
| 1 | 2 | 1 | 79 |
| 3 | 2 | 0 | 79 |
| 4 | 2 | 0 | 79 |
| 3 | 3 | 0 | 79 |
| 2 | 4 | 0 | 79 |
| 4 | 3 | 1 | 79 |
| 4 | 4 | 1 | 79 |
| 3 | 4 | 1 | 79 |
| 1 | 1 | 0 | 79 |
| 2 | 1 | 1 | 79 |
| 2 | 1 | 0 | 79 |
| 1 | 1 | 0 | 79 |
| 1 | 2 | 0 | 79 |
| 1 | 2 | 0 | 79 |
| 3 | 3 | 1 | 79 |
| 1 | 1 | 0 | 79 |
| 4 | 4 | 1 | 79 |
| 4 | 4 | 1 | 79 |
| 4 | 3 | 1 | 79 |
| 1 | 1 | 1 | 79 |
| 1 | 1 | 0 | 79 |
| 1 | 1 | 1 | 79 |
| 2 | 1 | 0 | 79 |
| 4 | 4 | 1 | 79 |
| 1 | 1 | 0 | 79 |
| 1 | 1 | 1 | 79 |
| 1 | 4 | 1 | 79 |
| 1 | 1 | 1 | 79 |
| 1 | 1 | 0 | 79 |
| 4 | 3 | 0 | 79 |
| 1 | 2 | 1 | 79 |
| 1 | 3 | 0 | 79 |
| 2 | 1 | 0 | 79 |
| 3 | 3 | 0 | 79 |
| 4 | 4 | 1 | 79 |
| 2 | 4 | 1 | 79 |
| 3 | 3 | 1 | 79 |
| 3 | 3 | 0 | 79 |
| 3 | 2 | 0 | 79 |
| 2 | 2 | 0 | 79 |
| 1 | 1 | 0 | 79 |
| 4 | 3 | 1 | 79 |
| 1 | 2 | 1 | 79 |
| 2 | 3 | 1 | 79 |
| 3 | 3 | 1 | 79 |
| 4 | 1 | 1 | 79 |
| 4 | 3 | 1 | 79 |
| 2 | 2 | 1 | 79 |
| 1 | 1 | 0 | 79 |
| 1 | 1 | NA | 79 |
| 1 | 1 | 1 | 79 |
| 1 | 2 | 1 | 79 |
| 1 | 1 | 0 | 79 |
| 1 | 1 | 0 | 79 |
| 2 | 2 | 1 | 79 |
| 2 | 1 | 0 | 79 |
| 2 | 3 | 1 | 79 |
| 2 | 2 | 1 | 79 |
| 4 | 4 | 1 | 79 |
| 3 | 4 | 1 | 79 |
| 3 | 4 | 1 | 79 |
| 1 | 2 | 0 | 79 |
| 2 | 4 | 1 | 79 |
| 2 | 4 | 1 | 79 |
| 2 | 4 | 1 | 79 |
| 1 | 4 | 1 | 79 |
| 2 | 3 | 0 | 79 |
| 4 | 1 | 0 | 79 |
| 4 | 4 | 1 | 79 |
| 4 | 3 | 0 | 79 |
| 3 | 3 | 1 | 79 |
| 1 | 1 | 0 | 79 |
| 1 | 1 | 0 | 79 |
| 3 | 2 | 1 | 79 |
| 2 | 3 | 1 | 79 |
| 2 | 3 | 1 | 79 |
| 3 | 3 | 1 | 79 |
| 2 | 1 | 1 | 79 |
| 1 | 3 | 0 | 79 |
| 2 | 4 | 0 | 79 |
| 3 | 1 | 1 | 79 |
| 2 | 2 | 0 | 79 |
| 2 | 2 | 0 | 79 |
| 2 | 3 | 0 | 79 |
| 2 | 3 | 1 | 79 |
| 2 | 2 | 1 | 79 |
| 3 | 2 | 0 | 79 |
| 2 | 3 | NA | 79 |
| 4 | 1 | 0 | 79 |
| 2 | 2 | 0 | 79 |
| 3 | 2 | 0 | 79 |
| 3 | 4 | 1 | 79 |
| 3 | 4 | 1 | 79 |
| 1 | 1 | 0 | 79 |
| 2 | 1 | 0 | 79 |
| 1 | 2 | 0 | 79 |
| 4 | 3 | 1 | 79 |
| 3 | 3 | 0 | 79 |
| 4 | 1 | 1 | 79 |
| 4 | 4 | 1 | 79 |
| 4 | 3 | 1 | 79 |
| 4 | 3 | 1 | 79 |
| 4 | 3 | 1 | 79 |
| 2 | 1 | 0 | 79 |
| 3 | 1 | 1 | 79 |
| 2 | 1 | 0 | 79 |
| 1 | 3 | 1 | 79 |
| 3 | 4 | 1 | 79 |
| 3 | 2 | 0 | 79 |
| 3 | 4 | 1 | 79 |
| 4 | 3 | 0 | 79 |
| 2 | 4 | 1 | 79 |
| 1 | 2 | 0 | 79 |
| 4 | 4 | 1 | 79 |
| 4 | 4 | 1 | 79 |
| 1 | 1 | 1 | 79 |
| 3 | 2 | 0 | 79 |
| 4 | 1 | 0 | 79 |
| 1 | 2 | 1 | 79 |
| 4 | 2 | 1 | 79 |
| 4 | 1 | 0 | 79 |
| 3 | 2 | 0 | 79 |
| 4 | 4 | NA | 79 |
| 3 | 3 | 1 | 79 |
| 3 | 4 | 1 | 79 |
| 3 | 2 | 0 | 79 |
| 4 | 2 | 0 | 79 |
| 1 | 3 | 1 | 79 |
| 3 | 1 | 0 | 79 |
| 4 | 3 | 1 | 79 |
| 3 | 2 | 1 | 79 |
| 2 | 1 | 0 | 79 |
| 4 | 1 | 0 | 79 |
| 4 | 3 | 1 | 79 |
| 2 | 4 | 1 | 79 |
| 2 | 1 | 0 | 79 |
| 2 | 1 | 0 | 79 |
| 2 | 2 | 1 | 79 |
| 1 | 3 | 1 | 79 |
| 2 | 3 | 0 | 79 |
| 2 | 4 | 1 | 79 |
| 1 | 2 | 1 | 79 |
| 1 | 3 | 0 | 79 |
| 1 | 2 | 1 | 79 |
| 2 | 1 | 1 | 79 |
| 1 | 2 | 0 | 79 |
| 1 | 1 | 0 | 79 |
| 1 | 1 | 0 | 79 |
| 1 | 1 | NA | 79 |
| 1 | 1 | 0 | 79 |
| 1 | 1 | NA | 79 |
| 2 | 4 | 1 | 79 |
| 3 | 3 | 1 | 79 |
| 2 | 2 | 1 | 79 |
| 1 | 2 | 0 | 79 |
| 3 | 3 | 0 | 79 |
| 4 | 3 | 1 | 79 |
| 2 | 2 | 1 | 79 |
| 3 | 3 | 1 | 79 |
| 1 | 2 | 1 | 79 |
| 1 | 1 | 0 | 79 |
| 2 | 1 | 0 | 79 |
| 1 | 1 | 0 | 79 |
| 4 | 4 | 1 | 79 |
| 3 | 3 | 1 | 79 |
| 3 | 3 | 1 | 79 |
| 3 | 2 | 0 | 79 |
| 1 | 1 | 0 | 79 |
| 1 | 3 | 0 | 79 |
| 3 | 2 | 0 | 79 |
| 4 | 2 | 0 | 79 |
| 3 | 4 | 0 | 79 |
| 3 | 4 | 1 | 79 |
| 4 | 3 | 0 | 79 |
| 3 | 2 | 0 | 79 |
| 3 | 4 | 0 | 79 |
| 3 | 3 | 0 | 79 |
| 3 | 4 | 0 | 79 |
| 1 | 4 | 0 | 79 |
| 3 | 4 | 1 | 79 |
| 2 | 2 | 1 | 79 |
| 4 | 2 | 1 | 79 |
| 3 | 2 | 0 | 79 |
| 4 | 2 | 1 | 79 |
| 4 | 3 | 1 | 79 |
| 1 | 2 | 1 | 79 |
| 4 | 2 | NA | 79 |
| 3 | 4 | 1 | 79 |
| 2 | 4 | 1 | 79 |
| 2 | 4 | 1 | 79 |
| 1 | 1 | 0 | 79 |
| 1 | 1 | 0 | 79 |
| 2 | 3 | 0 | 79 |
| 3 | 2 | 0 | 79 |
| 3 | 1 | 1 | 79 |
| 2 | 2 | 1 | 79 |
| 4 | 3 | 1 | 79 |
| 4 | 3 | 0 | 79 |
| 4 | 4 | 1 | 79 |
| 3 | 3 | 1 | 79 |
| 4 | 4 | 1 | 79 |
| 4 | 1 | 0 | 79 |
| 3 | 1 | 0 | 79 |
| 2 | 2 | 0 | 79 |
| 1 | 2 | 0 | 79 |
| 1 | 3 | 0 | 79 |
| 4 | 3 | 1 | 79 |
| 2 | 1 | 0 | 79 |
| 2 | 4 | 1 | 79 |
| 4 | 4 | 1 | 79 |
| 4 | 3 | 1 | 79 |
| 4 | 2 | 1 | 79 |
| 2 | 1 | 1 | 79 |
| 3 | 3 | 1 | 79 |
| 4 | 3 | 1 | 79 |
| 4 | 4 | 1 | 79 |
| 4 | 3 | 1 | 79 |
| 4 | 2 | 1 | 79 |
| 1 | 1 | 0 | 79 |
| 1 | 4 | 0 | 79 |
| 1 | 3 | 0 | 79 |
| 4 | 1 | 0 | 79 |
| 4 | 4 | 1 | 79 |
| 4 | 4 | 1 | 79 |
| 4 | 4 | 1 | 79 |
| 4 | 4 | NA | 79 |
| 4 | 4 | 1 | 79 |
| 4 | 4 | 1 | 79 |
| 4 | 3 | 0 | 79 |
| 4 | 3 | 1 | 79 |
| 4 | 1 | 0 | 79 |
| 4 | 3 | 0 | 79 |
| 4 | 2 | 1 | 79 |
| 1 | 2 | 0 | 79 |
| 1 | 1 | 0 | 79 |
| 2 | 2 | 0 | 79 |
| 1 | 1 | 0 | 79 |
| 2 | 3 | 1 | 79 |
| 3 | 2 | 0 | 79 |
| 1 | 1 | 0 | 79 |
| 2 | 2 | 0 | 79 |
| 3 | 1 | 0 | 79 |
| 2 | 3 | 0 | 79 |
| 4 | 3 | 0 | 79 |
| 4 | 4 | 1 | 79 |
| 2 | 4 | 1 | 79 |
| 3 | 4 | 1 | 79 |
| 4 | 2 | 0 | 79 |
| 4 | 3 | 0 | 79 |
| 2 | 3 | 0 | 79 |
| 1 | 1 | 0 | 79 |
| 1 | 1 | 0 | 79 |
| 3 | 1 | 0 | 79 |
| 2 | 1 | 0 | 79 |
| 4 | 3 | 0 | 79 |
| 4 | 2 | 0 | 79 |
| 3 | 4 | 1 | 79 |
| 3 | 3 | 1 | 79 |
| 3 | 4 | 1 | 79 |
| 4 | 4 | 0 | 79 |
| 3 | 4 | 1 | 79 |
| 1 | 3 | 0 | 79 |
| 4 | 3 | 0 | 79 |
| 2 | 1 | 0 | 79 |
| 3 | 4 | 1 | 79 |
| 2 | 3 | 0 | 79 |
| 1 | 4 | 1 | 79 |
| 2 | 4 | 1 | 79 |
| 4 | 4 | 1 | 79 |
| 3 | 4 | 1 | 79 |
| 3 | 4 | 1 | 79 |
| 3 | 4 | 1 | 79 |
| 4 | 4 | 1 | 79 |
| 1 | 4 | 1 | 79 |
| 3 | 2 | 0 | 79 |
| 3 | 4 | 0 | 79 |
| 3 | 3 | 1 | 79 |
| 1 | 4 | 1 | 79 |
| 3 | 3 | 0 | 79 |
| 2 | 3 | 0 | 79 |
| 3 | 2 | 0 | 79 |
| 2 | 3 | 0 | 79 |
| 2 | 3 | 0 | 79 |
| 2 | 3 | 1 | 79 |
| 2 | 2 | 0 | 79 |
| 2 | 1 | 0 | 79 |
| 2 | 1 | 0 | 79 |
| 1 | 3 | 0 | 79 |
| 2 | 3 | 1 | 79 |
| 2 | 3 | 1 | 79 |
| 3 | 4 | 1 | 79 |
| 2 | 2 | 0 | 79 |
| 2 | 4 | 0 | 79 |
| 2 | 4 | 1 | 79 |
| 3 | 2 | 0 | 79 |
| 3 | 3 | 1 | 79 |
| 4 | 4 | 1 | 79 |
| 2 | 4 | 1 | 79 |
| 1 | 1 | 1 | 79 |
| 2 | 4 | 1 | 79 |
| 3 | 4 | 0 | 79 |
| 3 | 3 | 1 | 79 |
| 2 | 3 | 0 | 79 |
| 1 | 4 | 1 | 79 |
| 3 | 4 | 1 | 79 |
| 4 | 3 | 0 | 79 |
| 2 | 1 | 0 | 79 |
| 2 | 1 | 0 | 79 |
| 1 | 1 | NA | 79 |
| 1 | 2 | 1 | 79 |
| 1 | 3 | 1 | 79 |
| 1 | 4 | 1 | 79 |
| 1 | 3 | 0 | 79 |
| 1 | 1 | 0 | 79 |
| 2 | 1 | 0 | 79 |
| 3 | 2 | 0 | 79 |
| 3 | 3 | 1 | 79 |
| 1 | 1 | 0 | 79 |
| 4 | 4 | 1 | 79 |
| 3 | 2 | 0 | 79 |
| 3 | 4 | 1 | 79 |
| 1 | 1 | 0 | 79 |
| 2 | 2 | 1 | 79 |
| 1 | 1 | 0 | 79 |
| 1 | 1 | 0 | 79 |
| 2 | 1 | 0 | 79 |
| 4 | 2 | 0 | 79 |
| 3 | 4 | 1 | 79 |
| 3 | 3 | 1 | 79 |
| 2 | 3 | 1 | 79 |
| 3 | 3 | 1 | 79 |
| 4 | 2 | 0 | 79 |
| 2 | 3 | 1 | 79 |
| 3 | 3 | 0 | 79 |
| 4 | 3 | 0 | 79 |
| 4 | 4 | 1 | 79 |
| 1 | 1 | 0 | 79 |
| 2 | 1 | 0 | 79 |
| 2 | 2 | 1 | 79 |
| 3 | 4 | 1 | 79 |
| 3 | 1 | 0 | 79 |
| 3 | 3 | 0 | 79 |
| 1 | 1 | 0 | 79 |
| 3 | 1 | 0 | 79 |
| 1 | 2 | 0 | 79 |
| 3 | 4 | 1 | 79 |
| 3 | 1 | 0 | 79 |
| 4 | 4 | 1 | 79 |
| 4 | 3 | 1 | 79 |
| 4 | 2 | 0 | 79 |
| 4 | 3 | 1 | 79 |
| 3 | 4 | 1 | 79 |
| 4 | 3 | 1 | 79 |
| 4 | 4 | 1 | 79 |
| 4 | 3 | 1 | 79 |
| 4 | 4 | 1 | 79 |
| 3 | 4 | 1 | 79 |
| 4 | 4 | NA | 79 |
| 4 | 4 | 1 | 79 |
| 4 | 3 | 1 | 79 |
| 1 | 1 | 0 | 79 |
| 4 | 4 | 1 | 79 |
| 4 | 3 | 1 | 79 |
| 4 | 4 | 1 | 79 |
| 4 | 3 | 1 | 79 |
| 4 | 3 | 1 | 79 |
| 4 | 3 | 1 | 79 |
| 2 | 2 | 1 | 79 |
| 1 | 1 | 0 | 79 |
| 3 | 2 | 0 | 79 |
| 3 | 3 | 0 | 79 |
| 2 | 1 | 1 | 79 |
| 1 | 2 | 1 | 79 |
| 2 | 4 | 1 | 79 |
| 2 | 2 | 0 | 79 |
| 1 | 3 | 1 | 79 |
| 1 | 2 | 0 | 79 |
| 1 | 2 | 0 | 79 |
| 2 | 2 | 0 | 79 |
| 1 | 1 | 0 | 79 |
| 1 | 1 | 0 | 79 |
| 1 | 1 | 0 | 79 |
| 1 | 1 | 0 | 79 |
| 2 | 3 | 1 | 79 |
| 3 | 3 | 1 | 79 |
| 2 | 4 | 1 | 79 |
| 3 | 3 | 1 | 79 |
| 3 | 2 | 1 | 79 |
| 1 | 4 | 1 | 79 |
| 3 | 2 | 1 | 79 |
| 3 | 3 | 0 | 79 |
| 2 | 1 | 0 | 79 |
| 3 | 4 | 1 | 79 |
| 3 | 2 | 0 | 79 |
| 3 | 2 | 0 | 79 |
| 4 | 4 | 1 | 79 |
| 2 | 3 | NA | 79 |
| 4 | 4 | 1 | 79 |
| 4 | 2 | 0 | 79 |
| 4 | 3 | 0 | 79 |
| 1 | 4 | 1 | 79 |
| 3 | 1 | 0 | 79 |
| 2 | 2 | 0 | 79 |
| 4 | 4 | 1 | 79 |
| 1 | 3 | NA | 79 |
| 3 | 1 | 0 | 79 |
| 3 | 2 | 0 | 79 |
| 3 | 3 | 1 | 79 |
| 1 | 2 | 0 | 79 |
| 1 | 2 | 0 | 79 |
| 2 | 3 | 1 | 79 |
| 3 | 2 | 0 | 79 |
| 4 | 2 | 0 | 79 |
| 3 | 3 | 0 | 79 |
| 3 | 4 | 1 | 79 |
| 2 | 4 | 1 | 79 |
| 2 | 4 | 1 | 79 |
| 4 | 3 | 1 | 79 |
| 3 | 4 | 1 | 79 |
| 4 | 3 | NA | 79 |
| 3 | 3 | 0 | 79 |
| 3 | 3 | 0 | 79 |
| 2 | 3 | 1 | 79 |
| 2 | 2 | 0 | 79 |
| 2 | 4 | 1 | 79 |
| 1 | 2 | 0 | 79 |
| 3 | 1 | 0 | 79 |
| 3 | 3 | 1 | 79 |
| 4 | 3 | 0 | 79 |
| 2 | 3 | 0 | 79 |
| 2 | 4 | 1 | 79 |
| 1 | 3 | 1 | 79 |
| 1 | 2 | 1 | 79 |
| 1 | 1 | 0 | 79 |
| 3 | 4 | 1 | 79 |
| 1 | 2 | 0 | 79 |
| 1 | 1 | 0 | 79 |
| 3 | 3 | 1 | 79 |
| 1 | 3 | 0 | 79 |
| 1 | 2 | 1 | 79 |
| 3 | 3 | 1 | 79 |
| 4 | 1 | 0 | 79 |
| 1 | 1 | 0 | 79 |
| 1 | 1 | 0 | 79 |
| 4 | 4 | 1 | 79 |
| 4 | 1 | 1 | 79 |
| 3 | 3 | 0 | 79 |
| 1 | 1 | 0 | 79 |
| 2 | 3 | 1 | 79 |
| 2 | 2 | 1 | 79 |
| 2 | 3 | 1 | 79 |
| 3 | 4 | 1 | 79 |
| 4 | 2 | 1 | 79 |
| 2 | 2 | 1 | 79 |
| 2 | 3 | 1 | 79 |
| 3 | 2 | 1 | 79 |
| 2 | 2 | 0 | 79 |
| 3 | 1 | 0 | 79 |
| 1 | 2 | 0 | 79 |
| 2 | 3 | 1 | 79 |
| 1 | 1 | 0 | 79 |
| 3 | 2 | 0 | 79 |
| 4 | 2 | 0 | 79 |
| 1 | 1 | 0 | 79 |
| 1 | 2 | 0 | 79 |
| 4 | 1 | 0 | 79 |
| 1 | 2 | 0 | 79 |
| 4 | 1 | 0 | 79 |
| 1 | 1 | 0 | 79 |
| 3 | 1 | 0 | 79 |
| 2 | 2 | 0 | 79 |
| 1 | 3 | 1 | 79 |
| 2 | 4 | 0 | 79 |
| 2 | 2 | 0 | 79 |
| 2 | 2 | 0 | 79 |
| 1 | 1 | 0 | 79 |
| 2 | 4 | 1 | 79 |
| 1 | 3 | 0 | 79 |
| 3 | 3 | 1 | 79 |
| 3 | 4 | 0 | 79 |
| 3 | 3 | 1 | 79 |
| 2 | 4 | 1 | 79 |
| 2 | 4 | 1 | 79 |
| 2 | 1 | 0 | 79 |
| 2 | 3 | 1 | 79 |
| 2 | 2 | 1 | 79 |
| 4 | 4 | 1 | 79 |
| 2 | 3 | 1 | 79 |
| 4 | 4 | 1 | 79 |
| 4 | 4 | 1 | 79 |
| 4 | 3 | 0 | 79 |
| 2 | 3 | 0 | 79 |
| 2 | 2 | 0 | 79 |
| 2 | 4 | 1 | 79 |
| 1 | 2 | 0 | 79 |
| 3 | 2 | 0 | 79 |
| 3 | 1 | 0 | 79 |
| 3 | 1 | 0 | 79 |
| 3 | 4 | 0 | 79 |
| 2 | 4 | 1 | 79 |
| 3 | 4 | 1 | 79 |
| 3 | 4 | 1 | 79 |
| 4 | 4 | 1 | 79 |
| 3 | 2 | 1 | 79 |
| 2 | 1 | 0 | 79 |
| 2 | 4 | 0 | 79 |
| 2 | 3 | 0 | 79 |
| 4 | 2 | 1 | 79 |
| 2 | 3 | NA | 79 |
| 3 | 3 | 1 | 79 |
| 2 | 4 | 1 | 79 |
| 3 | 4 | 0 | 79 |
| 2 | 4 | 1 | 79 |
| 3 | 3 | 1 | 79 |
| 2 | 3 | 1 | 79 |
| 3 | 2 | 1 | 79 |
| 3 | 3 | 1 | 79 |
| 1 | 1 | 0 | 79 |
| 3 | 3 | 0 | 79 |
| 2 | 4 | 1 | 79 |
| 1 | 1 | 0 | 79 |
| 1 | 4 | 1 | 79 |
| 1 | 3 | 0 | 79 |
| 2 | 4 | 1 | 79 |
| 2 | 4 | 1 | 79 |
| 2 | 3 | 1 | 79 |
| 2 | 4 | 0 | 79 |
| 2 | 4 | NA | 79 |
| 2 | 3 | 0 | 79 |
| 2 | 2 | 0 | 79 |
| 2 | 4 | 1 | 79 |
| 2 | 4 | 1 | 79 |
| 2 | 4 | 1 | 79 |
| 3 | 2 | 1 | 79 |
| 3 | 2 | 1 | 79 |
| 1 | 1 | 0 | 79 |
| 1 | 1 | 0 | 79 |
| 1 | 2 | 1 | 79 |
| 1 | 1 | 0 | 79 |
| 3 | 1 | 0 | 79 |
| 2 | 1 | 0 | 79 |
| 3 | 2 | 0 | 79 |
| 2 | 2 | NA | 79 |
| 3 | 1 | 1 | 79 |
| 4 | 2 | 0 | 79 |
| 1 | 1 | 0 | 79 |
| 1 | 1 | 0 | 79 |
| 1 | 1 | 0 | 79 |
| 1 | 1 | 0 | 79 |
| 1 | 1 | 1 | 79 |
| 1 | 1 | 0 | 79 |
| 1 | 1 | 0 | 79 |
| 1 | 1 | 0 | 79 |
| 1 | 2 | 0 | 79 |
| 1 | 1 | 0 | 79 |
| 2 | 4 | 1 | 79 |
| 2 | 3 | 1 | 79 |
| 1 | 1 | 0 | 79 |
| 2 | 4 | 1 | 79 |
| 1 | 2 | 1 | 79 |
| 4 | 2 | 0 | 79 |
| 3 | 1 | 1 | 79 |
| 4 | 2 | 0 | 79 |
| 3 | 3 | 0 | 79 |
| 2 | 3 | 1 | 79 |
| 1 | 2 | 1 | 79 |
| 2 | 1 | 0 | 79 |
| 1 | 3 | NA | 79 |
| 1 | 4 | 1 | 79 |
| 2 | 1 | 0 | 79 |
| 3 | 1 | 0 | 79 |
| 2 | 3 | 0 | 79 |
| 2 | 3 | 0 | 79 |
| 1 | 3 | 1 | 79 |
| 1 | 1 | 0 | 79 |
| 1 | 1 | 1 | 79 |
| 2 | 1 | 0 | 79 |
| 1 | 3 | 0 | 79 |
| 2 | 1 | NA | 79 |
| 2 | 1 | 0 | 79 |
| 1 | 2 | 0 | 79 |
| 1 | 1 | 0 | 79 |
| 1 | 4 | 0 | 79 |
| 3 | 2 | 1 | 79 |
| 2 | 4 | 1 | 79 |
| 2 | 4 | 1 | 79 |
| 4 | 1 | 0 | 79 |
| 2 | 2 | 1 | 79 |
| 2 | 2 | 0 | 79 |
| 2 | 1 | 0 | 79 |
| 3 | 1 | 0 | 79 |
| 3 | 2 | 0 | 79 |
| 3 | 3 | 0 | 79 |
| 1 | 1 | 0 | 79 |
| 1 | 1 | 0 | 79 |
| 1 | 1 | 0 | 79 |
| 1 | 2 | 0 | 79 |
| 1 | 4 | 1 | 79 |
| 2 | 3 | 0 | 79 |
| 1 | 2 | 0 | 79 |
| 2 | 3 | 0 | 79 |
| 2 | 3 | 0 | 79 |
| 2 | 1 | 0 | 79 |
| 3 | 3 | 0 | 79 |
| 1 | 2 | 0 | 79 |
| 2 | 2 | 0 | 79 |
| 2 | 2 | 0 | 79 |
| 2 | 1 | 0 | 79 |
| 4 | 2 | 0 | 79 |
| 1 | 1 | 0 | 79 |
| 1 | 3 | 0 | 79 |
| 2 | 2 | 0 | 79 |
| 1 | 1 | 0 | 79 |
| 1 | 1 | 0 | 79 |
| 2 | 1 | 0 | 79 |
| 4 | 2 | 0 | 79 |
| 1 | 1 | 0 | 79 |
| 1 | 1 | 0 | 79 |
| 1 | 1 | 0 | 79 |
| 2 | 1 | 0 | 79 |
| 2 | 1 | 0 | 79 |
| 3 | 1 | 1 | 79 |
| 2 | 3 | 1 | 79 |
| 2 | 2 | 1 | 79 |
| 4 | 3 | 0 | 79 |
| 4 | 2 | 0 | 79 |
| 2 | 2 | 0 | 79 |
| 1 | 1 | 0 | 79 |
| 1 | 3 | 0 | 79 |
| 2 | 1 | 0 | 79 |
| 1 | 1 | 0 | 79 |
| 2 | 1 | 0 | 79 |
| 1 | 1 | 1 | 79 |
| 3 | 2 | 1 | 79 |
| 1 | 2 | 0 | 79 |
| 2 | 2 | 0 | 79 |
| 4 | 1 | 0 | 79 |
| 1 | 3 | 0 | 79 |
| 4 | 2 | 1 | 79 |
| 4 | 4 | 1 | 79 |
| 4 | 3 | 0 | 79 |
| 4 | 4 | 1 | 79 |
| 4 | 3 | 0 | 79 |
| 4 | 3 | 0 | 79 |
| 1 | 1 | 0 | 79 |
| 2 | 1 | NA | 79 |
| 2 | 4 | 1 | 79 |
| 2 | 2 | 0 | 79 |
| 1 | 4 | 0 | 79 |
| 3 | 3 | 1 | 79 |
| 4 | 4 | 1 | 79 |
| 2 | 4 | 0 | 79 |
| 1 | 2 | 0 | 79 |
| 1 | 1 | 1 | 79 |
| 4 | 3 | 1 | 79 |
| 3 | 4 | 0 | 79 |
| 4 | 2 | 0 | 79 |
| 4 | 1 | 0 | 79 |
| 3 | 4 | 1 | 79 |
| 3 | 2 | 0 | 79 |
| 1 | 1 | 1 | 79 |
| 1 | 3 | 1 | 79 |
| 1 | 1 | 0 | 79 |
| 1 | 1 | 0 | 79 |
| 1 | 1 | 0 | 79 |
| 3 | 4 | 1 | 79 |
| 4 | 4 | 1 | 79 |
| 4 | 3 | 1 | 79 |
| 2 | 1 | 1 | 79 |
| 2 | 1 | 0 | 79 |
| 4 | 2 | 0 | 79 |
| 2 | 3 | 0 | 79 |
| 2 | 2 | 0 | 79 |
| 2 | 3 | 1 | 79 |
| 1 | 1 | 0 | 79 |
| 1 | 2 | 0 | 79 |
| 2 | 4 | 1 | 79 |
| 2 | 2 | 1 | 79 |
| 2 | 1 | 0 | 79 |
| 2 | 2 | 1 | 79 |
| 3 | 2 | 1 | 79 |
| 2 | 4 | 1 | 79 |
| 3 | 1 | 0 | 79 |
| 1 | 1 | 0 | 79 |
| 3 | 2 | 0 | 79 |
| 4 | 3 | 1 | 79 |
| 2 | 2 | 1 | 79 |
| 4 | 2 | 1 | 79 |
| 1 | 1 | 0 | 79 |
| 1 | 1 | 0 | 79 |
| 3 | 1 | NA | 79 |
| 2 | 1 | 0 | 79 |
| 2 | 1 | 0 | 79 |
| 1 | 1 | 1 | 79 |
| 2 | 2 | 0 | 79 |
| 1 | 2 | 0 | 79 |
| 1 | 2 | 1 | 79 |
| 1 | 1 | 0 | 79 |
| 1 | 2 | 1 | 79 |
| 1 | 1 | 0 | 79 |
| 2 | 2 | 0 | 79 |
| 3 | 4 | 1 | 79 |
| 3 | 3 | 1 | 79 |
| 1 | 1 | 1 | 79 |
| 1 | 1 | 1 | 79 |
| 3 | 4 | 1 | 79 |
| 2 | 1 | 0 | 79 |
| 3 | 4 | 0 | 79 |
| 3 | 1 | 0 | 79 |
| 1 | 3 | 1 | 79 |
| 1 | 4 | 1 | 79 |
| 2 | 3 | 0 | 79 |
| 2 | 1 | 0 | 79 |
| 3 | 2 | 0 | 79 |
| 3 | 2 | 0 | 79 |
| 1 | 4 | 1 | 79 |
| 2 | 4 | 1 | 79 |
| 4 | 3 | 1 | 79 |
| 1 | 3 | 0 | 79 |
| 3 | 3 | 1 | 79 |
| 1 | 2 | 1 | 79 |
| 4 | 4 | 1 | 79 |
| 4 | 4 | 1 | 79 |
| 3 | 4 | 1 | 79 |
| 4 | 3 | 1 | 79 |
| 2 | 2 | 1 | 79 |
| 3 | 3 | 0 | 79 |
| 3 | 4 | 0 | 79 |
| 2 | 1 | 0 | 79 |
| 2 | 1 | 0 | 79 |
| 1 | 2 | 0 | 79 |
| 1 | 2 | 1 | 79 |
| 1 | 3 | 0 | 79 |
| 1 | 2 | 1 | 79 |
| 1 | 1 | 1 | 79 |
| 1 | 1 | 0 | 79 |
| 1 | 1 | 0 | 79 |
| 1 | 1 | 0 | 79 |
| 1 | 1 | 0 | 79 |
| 2 | 1 | 0 | 79 |
| 4 | 3 | 1 | 79 |
| 4 | 2 | 0 | 79 |
| 4 | 4 | 1 | 79 |
| 4 | 4 | 1 | 79 |
| 2 | 2 | 1 | 79 |
| 1 | 1 | 0 | 79 |
| 1 | 1 | 0 | 79 |
| 1 | 1 | 0 | 79 |
| 1 | 1 | 0 | 79 |
| 1 | 1 | 0 | 79 |
| 1 | 2 | 0 | 79 |
| 2 | 3 | 0 | 79 |
| 2 | 2 | 0 | 79 |
| 1 | 1 | 1 | 79 |
| 3 | 4 | 1 | 79 |
| 4 | 4 | 1 | 79 |
| 4 | 3 | 1 | 79 |
| 1 | 2 | 1 | 79 |
| 3 | 3 | 0 | 79 |
| 2 | 4 | 1 | 79 |
| 1 | 3 | 1 | 79 |
| 4 | 4 | 1 | 79 |
| 4 | 3 | 0 | 79 |
| 2 | 4 | 1 | 79 |
| 2 | 4 | 1 | 79 |
| 4 | 4 | 0 | 79 |
| 4 | 2 | 1 | 79 |
| 2 | 3 | 0 | 79 |
| 3 | 1 | 0 | 79 |
| 4 | 4 | 1 | 79 |
| 2 | 1 | 0 | 79 |
| 3 | 3 | 1 | 79 |
| 1 | 2 | 1 | 79 |
| 2 | 1 | 0 | 79 |
| 2 | 1 | 0 | 79 |
| 2 | 1 | 0 | 79 |
| 3 | 2 | 1 | 79 |
| 3 | 3 | 1 | 79 |
| 4 | 3 | 1 | 79 |
| 2 | 4 | 1 | 79 |
| 3 | 3 | 1 | 79 |
| 2 | 3 | 1 | 79 |
| 4 | 3 | 1 | 79 |
| 4 | 4 | 1 | 79 |
| 2 | 2 | 0 | 79 |
| 2 | 4 | 1 | 79 |
| 2 | 4 | 1 | 79 |
| 1 | 3 | 0 | 79 |
| 3 | 2 | 0 | 79 |
| 2 | 2 | 0 | 79 |
| 3 | 3 | 1 | 79 |
| 1 | 3 | 0 | 79 |
| 4 | 3 | 0 | 79 |
| 2 | 2 | 0 | 79 |
| 3 | 4 | 1 | 79 |
| 3 | 2 | 0 | 79 |
| 1 | 3 | 0 | 79 |
| 3 | 3 | 1 | 79 |
| 2 | 1 | 0 | 79 |
| 2 | 4 | 1 | 79 |
| 3 | 2 | 0 | 79 |
| 2 | 3 | 1 | 79 |
| 2 | 1 | 0 | 79 |
| 4 | 3 | 1 | 79 |
| 3 | 4 | 1 | 79 |
| 1 | 1 | 0 | 79 |
| 3 | 1 | 0 | 79 |
| 3 | 1 | 0 | 79 |
| 3 | 3 | 0 | 79 |
| 2 | 2 | 1 | 79 |
| 1 | 2 | 0 | 79 |
| 2 | 2 | 0 | 79 |
| 3 | 2 | 0 | 79 |
d_summary <- d79 %>%
rbind(d97) %>% #<- bind the two cohort data sets together
filter(!is.na(Dhgacoll2122),!is.na(hhinccat)) %>% #<- drop missing data
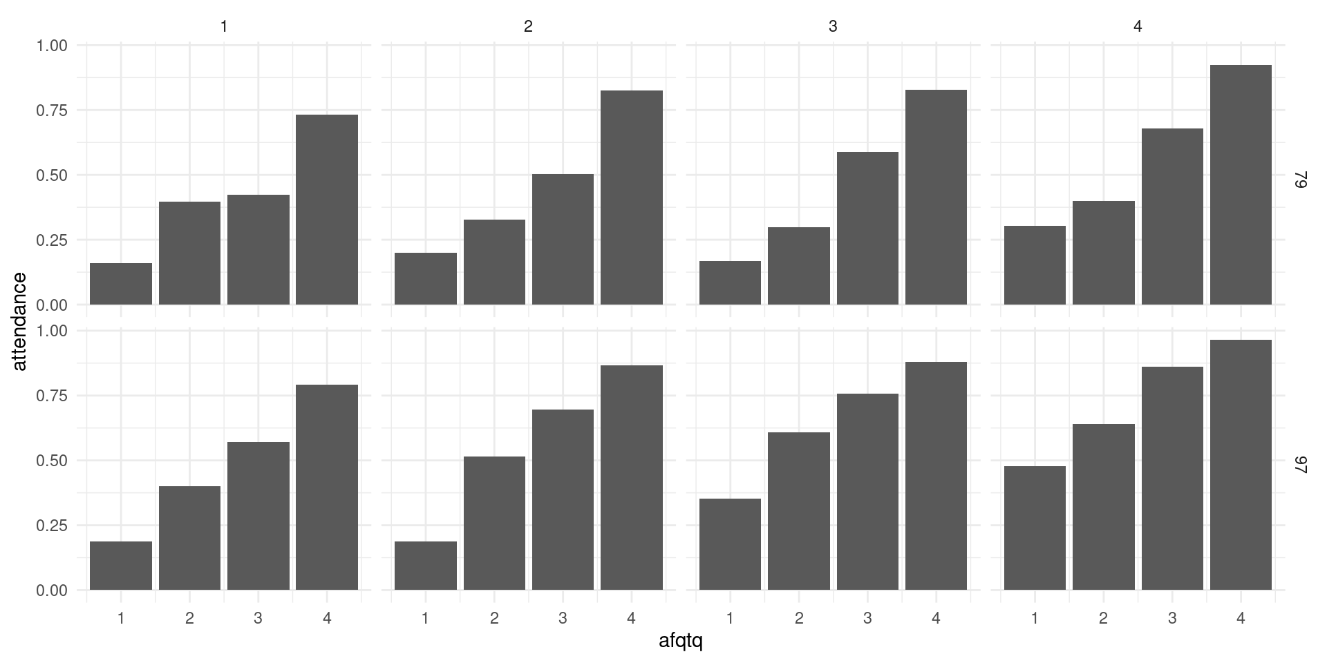
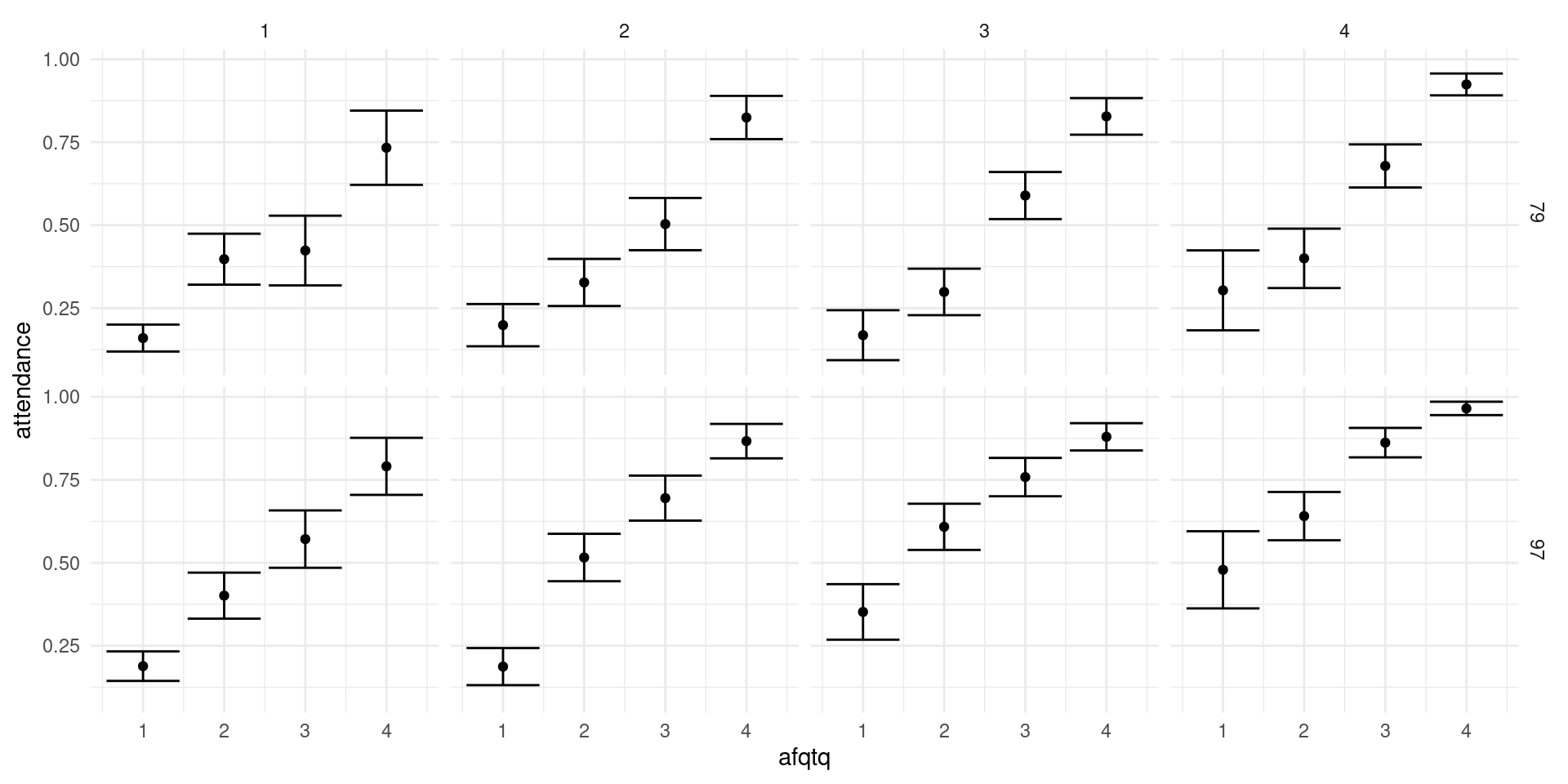
group_by(cohort,afqtq,hhinccat) %>% #< define the cells to calc stats for
summarize(attendance = mean(Dhgacoll2122), #<- mean college attendance by cell
se = sqrt(attendance*(1-attendance)/n()), #<- standard deviation of sample mean
N=n()) #<- number of obs per cell
knitr::kable(d_summary)| cohort | afqtq | hhinccat | attendance | se | N |
|---|---|---|---|---|---|
| 79 | 1 | 1 | 0.1597444 | 0.0207084 | 313 |
| 79 | 1 | 2 | 0.1986755 | 0.0324704 | 151 |
| 79 | 1 | 3 | 0.1684211 | 0.0383962 | 95 |
| 79 | 1 | 4 | 0.3035714 | 0.0614433 | 56 |
| 79 | 2 | 1 | 0.3974359 | 0.0391808 | 156 |
| 79 | 2 | 2 | 0.3273810 | 0.0362040 | 168 |
| 79 | 2 | 3 | 0.2987805 | 0.0357422 | 164 |
| 79 | 2 | 4 | 0.4000000 | 0.0456832 | 115 |
| 79 | 3 | 1 | 0.4235294 | 0.0535946 | 85 |
| 79 | 3 | 2 | 0.5032258 | 0.0401601 | 155 |
| 79 | 3 | 3 | 0.5891892 | 0.0361712 | 185 |
| 79 | 3 | 4 | 0.6783920 | 0.0331114 | 199 |
| 79 | 4 | 1 | 0.7333333 | 0.0570899 | 60 |
| 79 | 4 | 2 | 0.8244275 | 0.0332406 | 131 |
| 79 | 4 | 3 | 0.8277778 | 0.0281427 | 180 |
| 79 | 4 | 4 | 0.9240000 | 0.0167600 | 250 |
| 97 | 1 | 1 | 0.1885522 | 0.0226970 | 297 |
| 97 | 1 | 2 | 0.1871658 | 0.0285229 | 187 |
| 97 | 1 | 3 | 0.3520000 | 0.0427173 | 125 |
| 97 | 1 | 4 | 0.4788732 | 0.0592861 | 71 |
| 97 | 2 | 1 | 0.4010417 | 0.0353706 | 192 |
| 97 | 2 | 2 | 0.5159574 | 0.0364477 | 188 |
| 97 | 2 | 3 | 0.6084656 | 0.0355036 | 189 |
| 97 | 2 | 4 | 0.6407186 | 0.0371273 | 167 |
| 97 | 3 | 1 | 0.5714286 | 0.0440867 | 126 |
| 97 | 3 | 2 | 0.6949153 | 0.0346090 | 177 |
| 97 | 3 | 3 | 0.7582938 | 0.0294728 | 211 |
| 97 | 3 | 4 | 0.8620690 | 0.0226390 | 232 |
| 97 | 4 | 1 | 0.7906977 | 0.0438675 | 86 |
| 97 | 4 | 2 | 0.8666667 | 0.0264639 | 165 |
| 97 | 4 | 3 | 0.8796680 | 0.0209576 | 241 |
| 97 | 4 | 4 | 0.9651899 | 0.0103114 | 316 |
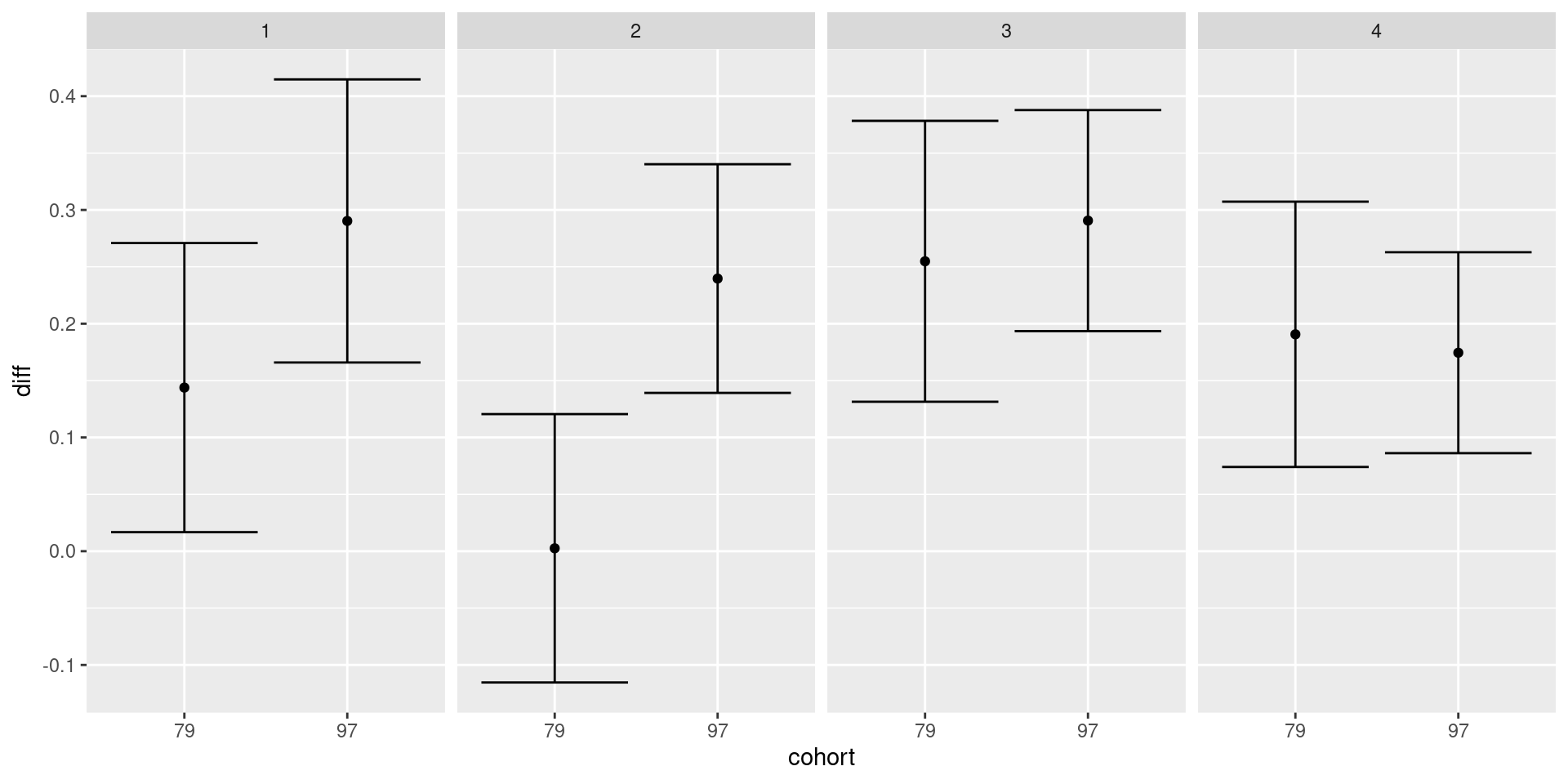
# First calculate the differences between top and bottom quartile of income
diff <- d_summary %>%
group_by(cohort,afqtq) %>%
summarize(diff = attendance[4]-attendance[1],se = sqrt(se[1]^2 + se[4]^2))
diff # A tibble: 8 × 4
# Groups: cohort [2]
cohort afqtq diff se
<chr> <int> <dbl> <dbl>
1 79 1 0.144 0.0648
2 79 2 0.00256 0.0602
3 79 3 0.255 0.0630
4 79 4 0.191 0.0595
5 97 1 0.290 0.0635
6 97 2 0.240 0.0513
7 97 3 0.291 0.0496
8 97 4 0.174 0.0451

z_crit=qnorm(0.95)
results <- g_diff %>%
mutate(test_stat = g_diff/se) %>%
mutate(reject = test_stat>z_crit) %>% #<- the one-side 95% test
mutate(pval = 1-pnorm(test_stat)) #<- calculate the p-value
knitr::kable(results)| afqtq | g_diff | se | test_stat | reject | pval |
|---|---|---|---|---|---|
| 1 | 0.1464940 | 0.0907420 | 1.6144014 | FALSE | 0.0532202 |
| 2 | 0.2371128 | 0.0790671 | 2.9988819 | TRUE | 0.0013549 |
| 3 | 0.0357778 | 0.0801555 | 0.4463555 | FALSE | 0.3276702 |
| 4 | -0.0161745 | 0.0746380 | -0.2167054 | FALSE | 0.5857810 |
Looking at the data:
d <- read.csv("~/Dropbox/Teaching/Econ4261/1-IntroAndReview/data/DufloHannaRyan.csv") %>%
filter(!is.na(inthemoney)) %>%
mutate(InTheMoney = inthemoney==1,FirstDay=t==1)
d %>%
select(schid,t,InTheMoney,worked,year,month,day) %>%
filter(t==-1 | t==1) %>%
arrange(schid,year,month,day) %>%
knitr::kable()| schid | t | InTheMoney | worked | year | month | day |
|---|---|---|---|---|---|---|
| 12211 | -1 | TRUE | 1 | 2003 | 10 | 31 |
| 12211 | 1 | TRUE | 1 | 2003 | 11 | 1 |
| 12211 | -1 | TRUE | 1 | 2003 | 11 | 29 |
| 12211 | 1 | TRUE | 1 | 2003 | 12 | 3 |
| 12211 | -1 | TRUE | 1 | 2003 | 12 | 31 |
| 12211 | 1 | TRUE | 1 | 2004 | 1 | 2 |
| 12211 | -1 | TRUE | 1 | 2004 | 1 | 31 |
| 12211 | 1 | TRUE | 1 | 2004 | 2 | 3 |
| 12211 | -1 | TRUE | 1 | 2004 | 2 | 28 |
| 12211 | 1 | TRUE | 1 | 2004 | 3 | 1 |
| 12211 | -1 | TRUE | 1 | 2004 | 3 | 31 |
| 12211 | 1 | TRUE | 1 | 2004 | 4 | 3 |
| 12211 | -1 | TRUE | 0 | 2004 | 4 | 30 |
| 12211 | 1 | TRUE | 1 | 2004 | 5 | 1 |
| 12211 | -1 | TRUE | 1 | 2004 | 5 | 31 |
| 12211 | 1 | TRUE | 1 | 2004 | 6 | 1 |
| 12211 | -1 | TRUE | 1 | 2004 | 6 | 30 |
| 12211 | 1 | TRUE | 0 | 2004 | 7 | 1 |
| 12211 | -1 | TRUE | 1 | 2004 | 7 | 31 |
| 12211 | 1 | TRUE | 1 | 2004 | 8 | 3 |
| 12211 | -1 | TRUE | 0 | 2004 | 8 | 31 |
| 12211 | 1 | TRUE | 1 | 2004 | 9 | 1 |
| 12211 | -1 | TRUE | 1 | 2004 | 9 | 30 |
| 12211 | 1 | TRUE | 1 | 2004 | 10 | 1 |
| 12211 | -1 | TRUE | 1 | 2004 | 10 | 30 |
| 12211 | 1 | TRUE | 1 | 2004 | 11 | 1 |
| 12211 | -1 | TRUE | 1 | 2004 | 11 | 30 |
| 12211 | 1 | TRUE | 0 | 2004 | 12 | 1 |
| 12211 | -1 | TRUE | 1 | 2004 | 12 | 31 |
| 12211 | 1 | TRUE | 1 | 2005 | 1 | 1 |
| 12211 | -1 | TRUE | 0 | 2005 | 1 | 30 |
| 12211 | 1 | TRUE | 1 | 2005 | 2 | 1 |
| 12211 | -1 | TRUE | 1 | 2005 | 2 | 28 |
| 12211 | 1 | TRUE | 1 | 2005 | 3 | 1 |
| 12211 | -1 | TRUE | 1 | 2005 | 3 | 31 |
| 12211 | 1 | TRUE | 0 | 2005 | 4 | 1 |
| 12211 | -1 | TRUE | 1 | 2005 | 4 | 30 |
| 12211 | 1 | TRUE | 0 | 2005 | 5 | 1 |
| 12211 | -1 | TRUE | 0 | 2005 | 5 | 31 |
| 12211 | 1 | TRUE | 1 | 2005 | 6 | 1 |
| 12211 | -1 | TRUE | 1 | 2005 | 6 | 30 |
| 12211 | 1 | TRUE | 1 | 2005 | 7 | 1 |
| 12211 | -1 | TRUE | 0 | 2005 | 7 | 31 |
| 12211 | 1 | TRUE | 1 | 2005 | 8 | 1 |
| 12211 | -1 | TRUE | 1 | 2005 | 8 | 31 |
| 12211 | 1 | TRUE | 1 | 2005 | 9 | 1 |
| 12211 | -1 | TRUE | 1 | 2005 | 9 | 30 |
| 12211 | 1 | TRUE | 1 | 2005 | 10 | 1 |
| 12211 | -1 | TRUE | 0 | 2005 | 10 | 31 |
| 12211 | 1 | TRUE | 1 | 2005 | 11 | 3 |
| 12211 | -1 | TRUE | 1 | 2005 | 11 | 30 |
| 12211 | 1 | TRUE | 1 | 2005 | 12 | 1 |
| 12211 | -1 | TRUE | 1 | 2005 | 12 | 31 |
| 13211 | 1 | TRUE | 0 | 2003 | 10 | 1 |
| 13211 | -1 | TRUE | 0 | 2003 | 10 | 31 |
| 13211 | 1 | TRUE | 1 | 2003 | 11 | 1 |
| 13211 | -1 | TRUE | 1 | 2003 | 11 | 29 |
| 14211 | 1 | TRUE | 1 | 2003 | 10 | 1 |
| 14211 | -1 | TRUE | 1 | 2003 | 10 | 31 |
| 14211 | 1 | TRUE | 1 | 2003 | 11 | 1 |
| 14211 | -1 | TRUE | 1 | 2003 | 11 | 29 |
| 14211 | 1 | TRUE | 1 | 2003 | 12 | 1 |
| 14211 | -1 | TRUE | 1 | 2003 | 12 | 31 |
| 14211 | 1 | TRUE | 1 | 2004 | 1 | 1 |
| 14211 | -1 | TRUE | 1 | 2004 | 1 | 31 |
| 14211 | 1 | TRUE | 1 | 2004 | 2 | 2 |
| 14211 | -1 | TRUE | 1 | 2004 | 2 | 28 |
| 14211 | 1 | TRUE | 0 | 2004 | 3 | 1 |
| 14211 | -1 | TRUE | 1 | 2004 | 3 | 31 |
| 14211 | 1 | TRUE | 0 | 2004 | 4 | 2 |
| 14211 | -1 | TRUE | 0 | 2004 | 4 | 30 |
| 14211 | 1 | TRUE | 0 | 2004 | 5 | 1 |
| 14211 | -1 | TRUE | 1 | 2004 | 5 | 31 |
| 14211 | 1 | TRUE | 1 | 2004 | 6 | 1 |
| 14211 | -1 | TRUE | 1 | 2004 | 6 | 30 |
| 14211 | 1 | TRUE | 1 | 2004 | 7 | 1 |
| 14211 | -1 | TRUE | 1 | 2004 | 7 | 31 |
| 14211 | 1 | TRUE | 1 | 2004 | 8 | 2 |
| 14211 | -1 | TRUE | 0 | 2004 | 8 | 31 |
| 14211 | 1 | TRUE | 1 | 2004 | 9 | 1 |
| 14211 | -1 | TRUE | 0 | 2004 | 9 | 30 |
| 14211 | 1 | TRUE | 1 | 2004 | 10 | 1 |
| 14211 | -1 | TRUE | 0 | 2004 | 10 | 30 |
| 14211 | 1 | TRUE | 0 | 2004 | 11 | 1 |
| 14211 | -1 | TRUE | 1 | 2004 | 11 | 30 |
| 14211 | 1 | TRUE | 0 | 2004 | 12 | 1 |
| 14211 | -1 | TRUE | 0 | 2004 | 12 | 31 |
| 14211 | 1 | TRUE | 1 | 2005 | 1 | 1 |
| 14211 | -1 | TRUE | 1 | 2005 | 1 | 31 |
| 14211 | 1 | TRUE | 1 | 2005 | 2 | 1 |
| 14211 | -1 | TRUE | 1 | 2005 | 2 | 28 |
| 14211 | 1 | TRUE | 1 | 2005 | 3 | 1 |
| 14211 | -1 | TRUE | 1 | 2005 | 3 | 31 |
| 14211 | 1 | TRUE | 0 | 2005 | 4 | 1 |
| 14211 | -1 | TRUE | 1 | 2005 | 4 | 30 |
| 14211 | 1 | TRUE | 0 | 2005 | 5 | 1 |
| 14211 | -1 | TRUE | 0 | 2005 | 5 | 31 |
| 14211 | 1 | TRUE | 1 | 2005 | 6 | 1 |
| 14211 | -1 | TRUE | 0 | 2005 | 6 | 30 |
| 14211 | 1 | TRUE | 1 | 2005 | 7 | 1 |
| 14211 | -1 | TRUE | 0 | 2005 | 7 | 31 |
| 15111 | 1 | TRUE | 1 | 2003 | 10 | 1 |
| 15111 | -1 | TRUE | 1 | 2003 | 10 | 31 |
| 15111 | 1 | TRUE | 1 | 2003 | 11 | 1 |
| 15111 | -1 | FALSE | 1 | 2003 | 11 | 29 |
| 15111 | 1 | FALSE | 1 | 2003 | 12 | 3 |
| 15111 | -1 | TRUE | 1 | 2003 | 12 | 31 |
| 15111 | 1 | TRUE | 1 | 2004 | 1 | 1 |
| 15111 | -1 | TRUE | 1 | 2004 | 1 | 31 |
| 15111 | 1 | TRUE | 0 | 2004 | 2 | 2 |
| 15111 | -1 | TRUE | 1 | 2004 | 2 | 28 |
| 15111 | 1 | TRUE | 1 | 2004 | 3 | 1 |
| 15111 | -1 | TRUE | 1 | 2004 | 3 | 31 |
| 15111 | 1 | TRUE | 1 | 2004 | 4 | 3 |
| 15111 | -1 | TRUE | 1 | 2004 | 4 | 30 |
| 15111 | 1 | TRUE | 0 | 2004 | 5 | 1 |
| 15111 | -1 | TRUE | 1 | 2004 | 5 | 31 |
| 15111 | 1 | TRUE | 1 | 2004 | 6 | 1 |
| 15111 | -1 | TRUE | 1 | 2004 | 6 | 30 |
| 15111 | 1 | TRUE | 1 | 2004 | 7 | 1 |
| 15111 | -1 | TRUE | 1 | 2004 | 7 | 31 |
| 15111 | 1 | TRUE | 1 | 2004 | 8 | 3 |
| 15111 | -1 | TRUE | 1 | 2004 | 8 | 31 |
| 15111 | 1 | TRUE | 1 | 2004 | 9 | 1 |
| 15111 | -1 | TRUE | 0 | 2004 | 9 | 29 |
| 15111 | 1 | TRUE | 0 | 2004 | 10 | 1 |
| 15111 | -1 | TRUE | 1 | 2004 | 10 | 30 |
| 15111 | 1 | TRUE | 0 | 2004 | 11 | 1 |
| 15111 | -1 | TRUE | 1 | 2004 | 11 | 30 |
| 15111 | 1 | TRUE | 0 | 2004 | 12 | 1 |
| 15111 | -1 | TRUE | 1 | 2004 | 12 | 31 |
| 15111 | 1 | TRUE | 1 | 2005 | 1 | 1 |
| 15111 | -1 | TRUE | 1 | 2005 | 1 | 31 |
| 15111 | 1 | TRUE | 1 | 2005 | 2 | 1 |
| 15111 | -1 | TRUE | 1 | 2005 | 2 | 28 |
| 15111 | 1 | TRUE | 1 | 2005 | 3 | 1 |
| 15111 | -1 | TRUE | 1 | 2005 | 3 | 31 |
| 15111 | 1 | TRUE | 1 | 2005 | 4 | 1 |
| 15111 | -1 | TRUE | 0 | 2005 | 4 | 30 |
| 15111 | 1 | TRUE | 0 | 2005 | 5 | 1 |
| 15111 | -1 | TRUE | 1 | 2005 | 5 | 31 |
| 15111 | 1 | TRUE | 1 | 2005 | 6 | 1 |
| 15111 | -1 | TRUE | 1 | 2005 | 6 | 30 |
| 15111 | 1 | TRUE | 1 | 2005 | 7 | 1 |
| 15111 | -1 | TRUE | 0 | 2005 | 7 | 31 |
| 15111 | 1 | TRUE | 1 | 2005 | 8 | 1 |
| 15111 | -1 | TRUE | 0 | 2005 | 8 | 31 |
| 15111 | 1 | TRUE | 1 | 2005 | 9 | 1 |
| 15111 | -1 | TRUE | 0 | 2005 | 9 | 30 |
| 15111 | 1 | TRUE | 0 | 2005 | 10 | 1 |
| 15111 | -1 | TRUE | 0 | 2005 | 10 | 31 |
| 15111 | 1 | TRUE | 1 | 2005 | 11 | 4 |
| 15111 | -1 | TRUE | 0 | 2005 | 11 | 30 |
| 15111 | 1 | TRUE | 0 | 2005 | 12 | 1 |
| 15111 | -1 | TRUE | 1 | 2005 | 12 | 31 |
| 15121 | 1 | TRUE | 0 | 2003 | 10 | 1 |
| 15121 | -1 | TRUE | 1 | 2003 | 10 | 31 |
| 15121 | 1 | TRUE | 1 | 2003 | 11 | 1 |
| 15121 | -1 | TRUE | 0 | 2003 | 11 | 29 |
| 15121 | 1 | TRUE | 1 | 2003 | 12 | 3 |
| 15121 | -1 | TRUE | 0 | 2003 | 12 | 31 |
| 15121 | 1 | TRUE | 0 | 2004 | 1 | 1 |
| 15121 | -1 | TRUE | 1 | 2004 | 1 | 31 |
| 15121 | 1 | TRUE | 1 | 2004 | 2 | 3 |
| 15121 | -1 | TRUE | 1 | 2004 | 2 | 28 |
| 15121 | 1 | TRUE | 1 | 2004 | 3 | 1 |
| 15121 | -1 | TRUE | 1 | 2004 | 3 | 31 |
| 15121 | 1 | TRUE | 1 | 2004 | 4 | 3 |
| 15121 | -1 | TRUE | 1 | 2004 | 4 | 30 |
| 15121 | 1 | TRUE | 1 | 2004 | 5 | 1 |
| 15121 | -1 | TRUE | 1 | 2004 | 5 | 31 |
| 15121 | 1 | TRUE | 1 | 2004 | 6 | 1 |
| 15121 | -1 | TRUE | 1 | 2004 | 6 | 30 |
| 15121 | 1 | TRUE | 1 | 2004 | 7 | 1 |
| 15121 | -1 | TRUE | 1 | 2004 | 7 | 31 |
| 15121 | 1 | TRUE | 1 | 2004 | 8 | 3 |
| 15121 | -1 | TRUE | 1 | 2004 | 8 | 31 |
| 15121 | 1 | TRUE | 1 | 2004 | 9 | 1 |
| 15121 | -1 | TRUE | 1 | 2004 | 9 | 30 |
| 15121 | 1 | TRUE | 1 | 2004 | 10 | 1 |
| 15121 | -1 | TRUE | 1 | 2004 | 10 | 30 |
| 15121 | 1 | TRUE | 1 | 2004 | 11 | 1 |
| 15121 | -1 | TRUE | 1 | 2004 | 11 | 30 |
| 15121 | 1 | TRUE | 1 | 2004 | 12 | 1 |
| 15121 | -1 | TRUE | 1 | 2004 | 12 | 31 |
| 15121 | 1 | TRUE | 1 | 2005 | 1 | 1 |
| 15121 | -1 | TRUE | 1 | 2005 | 1 | 31 |
| 15121 | 1 | TRUE | 1 | 2005 | 2 | 1 |
| 15121 | -1 | TRUE | 1 | 2005 | 2 | 28 |
| 15121 | 1 | TRUE | 1 | 2005 | 3 | 1 |
| 15121 | -1 | TRUE | 1 | 2005 | 3 | 31 |
| 15121 | 1 | TRUE | 1 | 2005 | 4 | 1 |
| 15121 | -1 | TRUE | 1 | 2005 | 4 | 30 |
| 15121 | 1 | TRUE | 0 | 2005 | 5 | 1 |
| 15121 | -1 | TRUE | 1 | 2005 | 5 | 31 |
| 15121 | 1 | TRUE | 0 | 2005 | 6 | 1 |
| 15121 | -1 | TRUE | 1 | 2005 | 6 | 30 |
| 15121 | 1 | TRUE | 1 | 2005 | 7 | 1 |
| 15121 | -1 | TRUE | 0 | 2005 | 7 | 31 |
| 15121 | 1 | TRUE | 1 | 2005 | 8 | 1 |
| 15121 | -1 | TRUE | 1 | 2005 | 8 | 31 |
| 15121 | 1 | TRUE | 1 | 2005 | 9 | 1 |
| 15121 | -1 | TRUE | 1 | 2005 | 9 | 30 |
| 15121 | 1 | TRUE | 1 | 2005 | 10 | 1 |
| 15121 | -1 | TRUE | 0 | 2005 | 10 | 31 |
| 15121 | 1 | TRUE | 1 | 2005 | 11 | 1 |
| 15121 | -1 | TRUE | 1 | 2005 | 11 | 30 |
| 15121 | 1 | TRUE | 0 | 2005 | 12 | 1 |
| 15121 | -1 | TRUE | 1 | 2005 | 12 | 31 |
| 15311 | 1 | TRUE | 1 | 2003 | 10 | 1 |
| 15311 | -1 | TRUE | 0 | 2003 | 10 | 31 |
| 15311 | 1 | TRUE | 1 | 2003 | 11 | 1 |
| 15311 | -1 | TRUE | 0 | 2003 | 11 | 29 |
| 15311 | 1 | TRUE | 0 | 2003 | 12 | 3 |
| 15311 | -1 | FALSE | 1 | 2003 | 12 | 31 |
| 15311 | 1 | FALSE | 1 | 2004 | 1 | 1 |
| 15311 | -1 | TRUE | 1 | 2004 | 1 | 31 |
| 15311 | 1 | TRUE | 1 | 2004 | 2 | 2 |
| 15311 | -1 | TRUE | 1 | 2004 | 2 | 28 |
| 15311 | 1 | TRUE | 1 | 2004 | 3 | 1 |
| 15311 | -1 | TRUE | 1 | 2004 | 3 | 31 |
| 15311 | 1 | TRUE | 1 | 2004 | 4 | 3 |
| 15311 | -1 | TRUE | 0 | 2004 | 4 | 30 |
| 15311 | 1 | TRUE | 1 | 2004 | 5 | 1 |
| 15311 | -1 | TRUE | 1 | 2004 | 5 | 31 |
| 15311 | 1 | TRUE | 1 | 2004 | 6 | 1 |
| 15311 | -1 | TRUE | 1 | 2004 | 6 | 30 |
| 15311 | 1 | TRUE | 1 | 2004 | 7 | 1 |
| 15311 | -1 | TRUE | 1 | 2004 | 7 | 31 |
| 15311 | 1 | TRUE | 1 | 2004 | 8 | 3 |
| 15311 | -1 | TRUE | 0 | 2004 | 8 | 31 |
| 15311 | 1 | TRUE | 0 | 2004 | 9 | 1 |
| 15311 | -1 | TRUE | 0 | 2004 | 9 | 30 |
| 15311 | 1 | TRUE | 1 | 2004 | 10 | 1 |
| 15311 | -1 | TRUE | 1 | 2004 | 10 | 30 |
| 15311 | 1 | TRUE | 1 | 2004 | 11 | 1 |
| 15311 | -1 | TRUE | 1 | 2004 | 11 | 30 |
| 15311 | 1 | TRUE | 1 | 2004 | 12 | 1 |
| 15311 | -1 | TRUE | 1 | 2004 | 12 | 31 |
| 15311 | 1 | TRUE | 1 | 2005 | 1 | 1 |
| 15311 | -1 | TRUE | 0 | 2005 | 1 | 30 |
| 15311 | 1 | TRUE | 1 | 2005 | 2 | 1 |
| 15311 | -1 | TRUE | 1 | 2005 | 2 | 28 |
| 15311 | 1 | TRUE | 1 | 2005 | 3 | 1 |
| 15311 | -1 | TRUE | 0 | 2005 | 3 | 29 |
| 15311 | 1 | TRUE | 0 | 2005 | 4 | 1 |
| 15311 | -1 | TRUE | 1 | 2005 | 4 | 30 |
| 15311 | 1 | TRUE | 0 | 2005 | 5 | 1 |
| 15311 | -1 | TRUE | 0 | 2005 | 5 | 31 |
| 15311 | 1 | TRUE | 0 | 2005 | 6 | 1 |
| 15311 | -1 | TRUE | 1 | 2005 | 6 | 30 |
| 15311 | 1 | TRUE | 1 | 2005 | 7 | 1 |
| 15311 | -1 | TRUE | 0 | 2005 | 7 | 31 |
| 15311 | 1 | TRUE | 1 | 2005 | 8 | 1 |
| 15311 | -1 | TRUE | 0 | 2005 | 8 | 31 |
| 15311 | 1 | TRUE | 1 | 2005 | 9 | 1 |
| 15311 | -1 | TRUE | 0 | 2005 | 9 | 30 |
| 15311 | 1 | TRUE | 0 | 2005 | 10 | 1 |
| 15311 | -1 | TRUE | 0 | 2005 | 10 | 31 |
| 15311 | 1 | TRUE | 0 | 2005 | 11 | 4 |
| 15311 | -1 | TRUE | 1 | 2005 | 11 | 30 |
| 15311 | 1 | TRUE | 1 | 2005 | 12 | 1 |
| 15311 | -1 | TRUE | 0 | 2005 | 12 | 31 |
| 15411 | 1 | TRUE | 1 | 2003 | 10 | 1 |
| 15411 | -1 | TRUE | 1 | 2003 | 10 | 31 |
| 15411 | 1 | TRUE | 1 | 2003 | 11 | 1 |
| 15411 | -1 | TRUE | 1 | 2003 | 11 | 29 |
| 15411 | 1 | TRUE | 0 | 2003 | 12 | 3 |
| 15411 | -1 | FALSE | 0 | 2003 | 12 | 31 |
| 15411 | 1 | FALSE | 0 | 2004 | 1 | 1 |
| 15411 | -1 | TRUE | 0 | 2004 | 1 | 31 |
| 15411 | 1 | TRUE | 1 | 2004 | 2 | 3 |
| 15412 | -1 | TRUE | 0 | 2004 | 2 | 28 |
| 15412 | 1 | TRUE | 1 | 2004 | 3 | 1 |
| 15412 | -1 | TRUE | 1 | 2004 | 3 | 31 |
| 15412 | 1 | TRUE | 1 | 2004 | 4 | 3 |
| 15412 | -1 | TRUE | 0 | 2004 | 4 | 30 |
| 15412 | 1 | TRUE | 0 | 2004 | 5 | 1 |
| 15412 | -1 | TRUE | 0 | 2004 | 5 | 31 |
| 15412 | 1 | TRUE | 0 | 2004 | 6 | 1 |
| 15412 | -1 | TRUE | 0 | 2004 | 6 | 30 |
| 15412 | 1 | TRUE | 0 | 2004 | 7 | 1 |
| 15412 | -1 | TRUE | 0 | 2004 | 7 | 31 |
| 15412 | 1 | TRUE | 0 | 2004 | 8 | 3 |
| 15412 | -1 | TRUE | 1 | 2004 | 8 | 31 |
| 15412 | 1 | TRUE | 1 | 2004 | 9 | 1 |
| 15412 | -1 | TRUE | 1 | 2004 | 9 | 30 |
| 15412 | 1 | TRUE | 1 | 2004 | 10 | 1 |
| 15412 | -1 | TRUE | 1 | 2004 | 10 | 30 |
| 15412 | 1 | TRUE | 1 | 2004 | 11 | 1 |
| 15412 | -1 | TRUE | 1 | 2004 | 11 | 30 |
| 15412 | 1 | TRUE | 1 | 2004 | 12 | 1 |
| 15412 | -1 | TRUE | 1 | 2004 | 12 | 31 |
| 15412 | 1 | TRUE | 1 | 2005 | 1 | 1 |
| 15412 | -1 | TRUE | 0 | 2005 | 1 | 30 |
| 15412 | 1 | TRUE | 1 | 2005 | 2 | 1 |
| 15412 | -1 | TRUE | 1 | 2005 | 2 | 28 |
| 15412 | 1 | TRUE | 1 | 2005 | 3 | 1 |
| 15412 | -1 | TRUE | 1 | 2005 | 3 | 31 |
| 15412 | 1 | TRUE | 1 | 2005 | 4 | 1 |
| 15412 | -1 | TRUE | 1 | 2005 | 4 | 30 |
| 15412 | 1 | TRUE | 0 | 2005 | 5 | 1 |
| 15412 | -1 | TRUE | 1 | 2005 | 5 | 31 |
| 15412 | 1 | TRUE | 1 | 2005 | 6 | 1 |
| 15412 | -1 | TRUE | 1 | 2005 | 6 | 30 |
| 15412 | 1 | TRUE | 1 | 2005 | 7 | 1 |
| 15412 | -1 | TRUE | 0 | 2005 | 7 | 31 |
| 15412 | 1 | TRUE | 1 | 2005 | 8 | 1 |
| 15412 | -1 | TRUE | 1 | 2005 | 8 | 31 |
| 15412 | 1 | TRUE | 1 | 2005 | 9 | 1 |
| 15412 | -1 | TRUE | 1 | 2005 | 9 | 30 |
| 15412 | 1 | TRUE | 1 | 2005 | 10 | 1 |
| 15412 | -1 | TRUE | 0 | 2005 | 10 | 31 |
| 15412 | 1 | TRUE | 0 | 2005 | 11 | 4 |
| 15412 | -1 | TRUE | 1 | 2005 | 11 | 30 |
| 15412 | 1 | TRUE | 1 | 2005 | 12 | 1 |
| 15412 | -1 | TRUE | 1 | 2005 | 12 | 31 |
| 22211 | 1 | TRUE | 1 | 2003 | 10 | 1 |
| 22211 | -1 | TRUE | 0 | 2003 | 10 | 31 |
| 22211 | 1 | TRUE | 0 | 2003 | 11 | 1 |
| 22211 | -1 | FALSE | 1 | 2003 | 11 | 29 |
| 22211 | 1 | FALSE | 1 | 2003 | 12 | 2 |
| 22211 | -1 | TRUE | 1 | 2003 | 12 | 31 |
| 22211 | 1 | TRUE | 0 | 2004 | 1 | 1 |
| 22211 | -1 | TRUE | 1 | 2004 | 1 | 31 |
| 22211 | 1 | TRUE | 1 | 2004 | 2 | 2 |
| 22211 | -1 | TRUE | 1 | 2004 | 2 | 28 |
| 22211 | 1 | TRUE | 0 | 2004 | 3 | 1 |
| 22211 | -1 | TRUE | 1 | 2004 | 3 | 31 |
| 22211 | 1 | TRUE | 0 | 2004 | 4 | 2 |
| 22211 | -1 | TRUE | 1 | 2004 | 4 | 30 |
| 22211 | 1 | TRUE | 1 | 2004 | 5 | 3 |
| 22211 | -1 | TRUE | 1 | 2004 | 5 | 31 |
| 22211 | 1 | TRUE | 0 | 2004 | 6 | 1 |
| 22211 | -1 | TRUE | 1 | 2004 | 6 | 30 |
| 22211 | 1 | TRUE | 1 | 2004 | 7 | 1 |
| 22211 | -1 | FALSE | 0 | 2004 | 7 | 31 |
| 22211 | 1 | FALSE | 0 | 2004 | 8 | 12 |
| 22211 | -1 | TRUE | 1 | 2004 | 8 | 30 |
| 22211 | 1 | TRUE | 0 | 2004 | 9 | 1 |
| 22211 | -1 | TRUE | 1 | 2004 | 9 | 30 |
| 22211 | 1 | TRUE | 1 | 2004 | 10 | 1 |
| 22211 | -1 | TRUE | 0 | 2004 | 10 | 30 |
| 22211 | 1 | TRUE | 1 | 2004 | 11 | 1 |
| 22211 | -1 | TRUE | 1 | 2004 | 11 | 30 |
| 22211 | 1 | TRUE | 1 | 2004 | 12 | 1 |
| 22211 | -1 | TRUE | 1 | 2004 | 12 | 31 |
| 22211 | 1 | TRUE | 1 | 2005 | 1 | 1 |
| 22211 | -1 | TRUE | 0 | 2005 | 1 | 30 |
| 22211 | 1 | TRUE | 1 | 2005 | 2 | 1 |
| 22211 | -1 | TRUE | 0 | 2005 | 2 | 28 |
| 22211 | 1 | TRUE | 0 | 2005 | 3 | 1 |
| 22211 | -1 | TRUE | 1 | 2005 | 3 | 29 |
| 22211 | 1 | TRUE | 0 | 2005 | 4 | 1 |
| 22211 | -1 | TRUE | 0 | 2005 | 4 | 30 |
| 22211 | 1 | TRUE | 0 | 2005 | 5 | 1 |
| 22211 | -1 | TRUE | 1 | 2005 | 5 | 31 |
| 22211 | 1 | TRUE | 1 | 2005 | 6 | 1 |
| 22211 | -1 | TRUE | 0 | 2005 | 6 | 30 |
| 22211 | 1 | TRUE | 1 | 2005 | 7 | 1 |
| 22211 | -1 | TRUE | 0 | 2005 | 7 | 31 |
| 22211 | 1 | TRUE | 0 | 2005 | 8 | 1 |
| 22211 | -1 | FALSE | 0 | 2005 | 8 | 29 |
| 22211 | 1 | FALSE | 0 | 2005 | 9 | 1 |
| 22211 | -1 | TRUE | 1 | 2005 | 9 | 30 |
| 22211 | 1 | TRUE | 1 | 2005 | 10 | 1 |
| 22211 | -1 | TRUE | 1 | 2005 | 10 | 31 |
| 22211 | 1 | TRUE | 1 | 2005 | 11 | 4 |
| 22211 | -1 | TRUE | 1 | 2005 | 11 | 30 |
| 22211 | 1 | TRUE | 1 | 2005 | 12 | 1 |
| 22211 | -1 | TRUE | 1 | 2005 | 12 | 31 |
| 22411 | 1 | TRUE | 1 | 2003 | 10 | 1 |
| 22411 | -1 | TRUE | 1 | 2003 | 10 | 29 |
| 22411 | 1 | TRUE | 1 | 2003 | 11 | 5 |
| 22411 | -1 | TRUE | 1 | 2003 | 11 | 29 |
| 22411 | 1 | TRUE | 0 | 2003 | 12 | 2 |
| 22411 | -1 | FALSE | 1 | 2003 | 12 | 31 |
| 22411 | 1 | FALSE | 1 | 2004 | 1 | 1 |
| 22411 | -1 | TRUE | 1 | 2004 | 1 | 31 |
| 22411 | 1 | TRUE | 1 | 2004 | 2 | 2 |
| 22411 | -1 | TRUE | 0 | 2004 | 2 | 28 |
| 22411 | 1 | TRUE | 0 | 2004 | 3 | 1 |
| 22411 | -1 | TRUE | 1 | 2004 | 3 | 31 |
| 22411 | 1 | TRUE | 0 | 2004 | 4 | 2 |
| 22411 | -1 | TRUE | 1 | 2004 | 4 | 30 |
| 22411 | 1 | TRUE | 0 | 2004 | 5 | 3 |
| 22411 | -1 | TRUE | 0 | 2004 | 5 | 31 |
| 22411 | 1 | TRUE | 0 | 2004 | 6 | 1 |
| 22411 | -1 | TRUE | 1 | 2004 | 6 | 30 |
| 22411 | 1 | TRUE | 1 | 2004 | 7 | 1 |
| 22411 | -1 | TRUE | 0 | 2004 | 7 | 31 |
| 22411 | 1 | TRUE | 0 | 2004 | 8 | 14 |
| 22411 | -1 | TRUE | 0 | 2004 | 8 | 30 |
| 22411 | 1 | TRUE | 1 | 2004 | 9 | 1 |
| 22411 | -1 | TRUE | 1 | 2004 | 9 | 30 |
| 22411 | 1 | TRUE | 1 | 2004 | 10 | 1 |
| 22411 | -1 | TRUE | 1 | 2004 | 10 | 30 |
| 22411 | 1 | TRUE | 1 | 2004 | 11 | 1 |
| 22411 | -1 | TRUE | 1 | 2004 | 11 | 30 |
| 22411 | 1 | TRUE | 1 | 2004 | 12 | 1 |
| 22411 | -1 | TRUE | 0 | 2004 | 12 | 31 |
| 22411 | 1 | TRUE | 0 | 2005 | 1 | 1 |
| 22411 | -1 | TRUE | 0 | 2005 | 1 | 30 |
| 22411 | 1 | TRUE | 1 | 2005 | 2 | 1 |
| 22411 | -1 | TRUE | 0 | 2005 | 2 | 28 |
| 22411 | 1 | TRUE | 1 | 2005 | 3 | 1 |
| 22411 | -1 | TRUE | 0 | 2005 | 3 | 29 |
| 22411 | 1 | TRUE | 0 | 2005 | 4 | 1 |
| 22411 | -1 | TRUE | 0 | 2005 | 4 | 30 |
| 22411 | 1 | TRUE | 0 | 2005 | 5 | 1 |
| 22411 | -1 | TRUE | 1 | 2005 | 5 | 31 |
| 22411 | 1 | TRUE | 1 | 2005 | 6 | 1 |
| 22411 | -1 | TRUE | 1 | 2005 | 6 | 30 |
| 22411 | 1 | TRUE | 1 | 2005 | 7 | 1 |
| 22411 | -1 | TRUE | 0 | 2005 | 7 | 31 |
| 22411 | 1 | TRUE | 0 | 2005 | 8 | 1 |
| 22411 | -1 | TRUE | 1 | 2005 | 8 | 31 |
| 22411 | 1 | TRUE | 1 | 2005 | 9 | 1 |
| 22411 | -1 | TRUE | 1 | 2005 | 9 | 30 |
| 22411 | 1 | TRUE | 1 | 2005 | 10 | 1 |
| 22411 | -1 | TRUE | 0 | 2005 | 10 | 31 |
| 22411 | 1 | TRUE | 0 | 2005 | 11 | 6 |
| 22411 | -1 | TRUE | 1 | 2005 | 11 | 30 |
| 22411 | 1 | TRUE | 1 | 2005 | 12 | 1 |
| 22411 | -1 | TRUE | 1 | 2005 | 12 | 31 |
| 23111 | 1 | TRUE | 1 | 2003 | 10 | 1 |
| 23111 | -1 | TRUE | 1 | 2003 | 10 | 31 |
| 23111 | 1 | TRUE | 1 | 2003 | 11 | 1 |
| 23111 | -1 | TRUE | 1 | 2003 | 11 | 29 |
| 23111 | 1 | TRUE | 0 | 2003 | 12 | 2 |
| 23111 | -1 | TRUE | 1 | 2003 | 12 | 31 |
| 23111 | 1 | TRUE | 0 | 2004 | 1 | 1 |
| 23111 | -1 | TRUE | 1 | 2004 | 1 | 31 |
| 23111 | 1 | TRUE | 1 | 2004 | 2 | 2 |
| 23111 | -1 | TRUE | 0 | 2004 | 2 | 28 |
| 23111 | 1 | TRUE | 1 | 2004 | 3 | 1 |
| 23111 | -1 | TRUE | 1 | 2004 | 3 | 31 |
| 23111 | 1 | TRUE | 0 | 2004 | 4 | 2 |
| 23111 | -1 | TRUE | 0 | 2004 | 4 | 30 |
| 23111 | 1 | TRUE | 0 | 2004 | 5 | 1 |
| 23111 | -1 | FALSE | 0 | 2004 | 5 | 31 |
| 23111 | 1 | FALSE | 0 | 2004 | 6 | 1 |
| 23111 | -1 | FALSE | 0 | 2004 | 6 | 30 |
| 23111 | 1 | FALSE | 0 | 2004 | 7 | 1 |
| 23111 | 1 | TRUE | 1 | 2004 | 8 | 21 |
| 23111 | -1 | TRUE | 1 | 2004 | 9 | 30 |
| 23111 | 1 | TRUE | 1 | 2004 | 10 | 1 |
| 23111 | -1 | TRUE | 0 | 2004 | 10 | 30 |
| 23111 | 1 | TRUE | 1 | 2004 | 11 | 1 |
| 23111 | -1 | FALSE | 0 | 2004 | 11 | 30 |
| 23111 | 1 | FALSE | 0 | 2004 | 12 | 1 |
| 23111 | -1 | TRUE | 1 | 2004 | 12 | 31 |
| 23111 | 1 | TRUE | 1 | 2005 | 1 | 1 |
| 23111 | -1 | FALSE | 0 | 2005 | 1 | 30 |
| 23411 | 1 | FALSE | 1 | 2003 | 10 | 1 |
| 23411 | -1 | TRUE | 0 | 2003 | 10 | 31 |
| 23411 | 1 | TRUE | 0 | 2003 | 11 | 1 |
| 23411 | -1 | TRUE | 1 | 2003 | 11 | 29 |
| 23411 | 1 | TRUE | 1 | 2003 | 12 | 1 |
| 23411 | -1 | TRUE | 1 | 2003 | 12 | 31 |
| 23411 | 1 | TRUE | 1 | 2004 | 1 | 1 |
| 23411 | -1 | TRUE | 1 | 2004 | 1 | 31 |
| 23411 | 1 | TRUE | 1 | 2004 | 2 | 2 |
| 23411 | -1 | TRUE | 1 | 2004 | 2 | 28 |
| 23411 | 1 | TRUE | 1 | 2004 | 3 | 1 |
| 23411 | -1 | TRUE | 1 | 2004 | 3 | 31 |
| 23411 | 1 | TRUE | 0 | 2004 | 4 | 2 |
| 23411 | -1 | TRUE | 1 | 2004 | 4 | 30 |
| 23411 | 1 | TRUE | 1 | 2004 | 5 | 1 |
| 23411 | -1 | TRUE | 0 | 2004 | 5 | 31 |
| 23411 | 1 | TRUE | 1 | 2004 | 6 | 1 |
| 23411 | -1 | TRUE | 1 | 2004 | 6 | 30 |
| 23411 | 1 | TRUE | 1 | 2004 | 7 | 1 |
| 23411 | 1 | TRUE | 1 | 2004 | 8 | 21 |
| 23411 | -1 | TRUE | 1 | 2004 | 9 | 30 |
| 23411 | 1 | TRUE | 1 | 2004 | 10 | 1 |
| 23411 | -1 | TRUE | 1 | 2004 | 10 | 30 |
| 23411 | 1 | TRUE | 1 | 2004 | 11 | 1 |
| 23411 | -1 | TRUE | 1 | 2004 | 11 | 30 |
| 23411 | 1 | TRUE | 1 | 2004 | 12 | 1 |
| 23411 | -1 | TRUE | 1 | 2004 | 12 | 31 |
| 23411 | 1 | TRUE | 1 | 2005 | 1 | 1 |
| 23411 | -1 | TRUE | 0 | 2005 | 1 | 30 |
| 23411 | 1 | TRUE | 1 | 2005 | 2 | 1 |
| 23411 | -1 | TRUE | 1 | 2005 | 2 | 28 |
| 23411 | 1 | TRUE | 1 | 2005 | 3 | 2 |
| 23411 | -1 | TRUE | 0 | 2005 | 3 | 29 |
| 23411 | 1 | TRUE | 0 | 2005 | 4 | 1 |
| 23411 | -1 | TRUE | 0 | 2005 | 4 | 30 |
| 23411 | 1 | TRUE | 0 | 2005 | 5 | 1 |
| 23411 | -1 | TRUE | 1 | 2005 | 5 | 31 |
| 23411 | 1 | TRUE | 1 | 2005 | 6 | 1 |
| 23411 | -1 | TRUE | 1 | 2005 | 6 | 30 |
| 23411 | 1 | TRUE | 1 | 2005 | 7 | 1 |
| 23411 | -1 | TRUE | 0 | 2005 | 7 | 31 |
| 23411 | 1 | TRUE | 1 | 2005 | 8 | 1 |
| 23411 | -1 | TRUE | 1 | 2005 | 8 | 31 |
| 23411 | 1 | TRUE | 1 | 2005 | 9 | 1 |
| 23411 | -1 | TRUE | 1 | 2005 | 9 | 30 |
| 23411 | 1 | TRUE | 1 | 2005 | 10 | 1 |
| 23411 | -1 | TRUE | 0 | 2005 | 10 | 31 |
| 23411 | 1 | TRUE | 0 | 2005 | 11 | 4 |
| 23411 | -1 | TRUE | 1 | 2005 | 11 | 30 |
| 23411 | 1 | TRUE | 1 | 2005 | 12 | 1 |
| 23411 | -1 | TRUE | 1 | 2005 | 12 | 31 |
| 23511 | 1 | TRUE | 1 | 2003 | 10 | 1 |
| 23511 | -1 | TRUE | 1 | 2003 | 10 | 31 |
| 23511 | 1 | TRUE | 1 | 2003 | 11 | 1 |
| 23511 | -1 | TRUE | 1 | 2003 | 11 | 29 |
| 23511 | 1 | TRUE | 1 | 2003 | 12 | 1 |
| 23511 | -1 | TRUE | 1 | 2003 | 12 | 31 |
| 23511 | 1 | TRUE | 1 | 2004 | 1 | 1 |
| 23511 | -1 | TRUE | 1 | 2004 | 1 | 31 |
| 23511 | 1 | TRUE | 0 | 2004 | 2 | 2 |
| 23511 | -1 | TRUE | 1 | 2004 | 2 | 28 |
| 23511 | 1 | TRUE | 0 | 2004 | 3 | 1 |
| 23511 | -1 | FALSE | 0 | 2004 | 3 | 31 |
| 23511 | 1 | FALSE | 0 | 2004 | 4 | 2 |
| 23511 | -1 | TRUE | 1 | 2004 | 4 | 30 |
| 23511 | 1 | TRUE | 1 | 2004 | 5 | 1 |
| 23511 | -1 | TRUE | 0 | 2004 | 5 | 31 |
| 23511 | 1 | TRUE | 0 | 2004 | 6 | 1 |
| 23511 | -1 | TRUE | 1 | 2004 | 6 | 21 |
| 23513 | 1 | TRUE | 0 | 2004 | 11 | 1 |
| 23513 | -1 | FALSE | 0 | 2004 | 11 | 30 |
| 23513 | 1 | FALSE | 0 | 2004 | 12 | 1 |
| 23513 | -1 | FALSE | 0 | 2004 | 12 | 31 |
| 23513 | 1 | FALSE | 0 | 2005 | 1 | 1 |
| 23513 | -1 | FALSE | 0 | 2005 | 1 | 30 |
| 23513 | 1 | FALSE | 0 | 2005 | 2 | 1 |
| 23513 | -1 | FALSE | 0 | 2005 | 2 | 28 |
| 23513 | 1 | FALSE | 1 | 2005 | 3 | 2 |
| 23513 | -1 | TRUE | 1 | 2005 | 3 | 29 |
| 23513 | 1 | TRUE | 0 | 2005 | 4 | 1 |
| 23513 | -1 | TRUE | 0 | 2005 | 4 | 30 |
| 23513 | 1 | TRUE | 0 | 2005 | 5 | 1 |
| 23513 | -1 | TRUE | 0 | 2005 | 5 | 31 |
| 23513 | 1 | TRUE | 0 | 2005 | 6 | 1 |
| 23513 | -1 | TRUE | 1 | 2005 | 6 | 30 |
| 23513 | 1 | TRUE | 1 | 2005 | 7 | 1 |
| 23513 | -1 | TRUE | 0 | 2005 | 7 | 31 |
| 23513 | 1 | TRUE | 0 | 2005 | 8 | 1 |
| 23513 | -1 | FALSE | 0 | 2005 | 8 | 29 |
| 23513 | 1 | FALSE | 0 | 2005 | 9 | 1 |
| 23513 | -1 | TRUE | 1 | 2005 | 9 | 30 |
| 23513 | 1 | TRUE | 1 | 2005 | 10 | 1 |
| 23513 | -1 | TRUE | 1 | 2005 | 10 | 31 |
| 23513 | 1 | TRUE | 0 | 2005 | 11 | 4 |
| 23513 | -1 | TRUE | 1 | 2005 | 11 | 30 |
| 23513 | 1 | TRUE | 1 | 2005 | 12 | 1 |
| 23513 | -1 | TRUE | 1 | 2005 | 12 | 30 |
| 23521 | 1 | TRUE | 1 | 2003 | 10 | 1 |
| 23521 | -1 | TRUE | 1 | 2003 | 10 | 31 |
| 23521 | 1 | TRUE | 1 | 2003 | 11 | 1 |
| 23521 | -1 | TRUE | 1 | 2003 | 11 | 29 |
| 23521 | 1 | TRUE | 1 | 2003 | 12 | 1 |
| 23521 | -1 | TRUE | 1 | 2003 | 12 | 31 |
| 23521 | 1 | TRUE | 1 | 2004 | 1 | 1 |
| 23521 | -1 | TRUE | 1 | 2004 | 1 | 31 |
| 23521 | 1 | TRUE | 1 | 2004 | 2 | 2 |
| 23521 | -1 | TRUE | 1 | 2004 | 2 | 28 |
| 23521 | 1 | TRUE | 1 | 2004 | 3 | 1 |
| 23521 | -1 | TRUE | 1 | 2004 | 3 | 31 |
| 23521 | 1 | TRUE | 0 | 2004 | 4 | 2 |
| 23521 | -1 | TRUE | 1 | 2004 | 4 | 30 |
| 23521 | 1 | TRUE | 1 | 2004 | 5 | 1 |
| 23521 | -1 | TRUE | 1 | 2004 | 5 | 31 |
| 23521 | 1 | TRUE | 1 | 2004 | 6 | 1 |
| 23521 | -1 | TRUE | 1 | 2004 | 6 | 30 |
| 23521 | 1 | TRUE | 1 | 2004 | 7 | 1 |
| 23521 | -1 | TRUE | 0 | 2004 | 7 | 31 |
| 23521 | 1 | TRUE | 0 | 2004 | 8 | 14 |
| 23521 | -1 | TRUE | 1 | 2004 | 8 | 30 |
| 23521 | 1 | TRUE | 1 | 2004 | 9 | 1 |
| 23521 | -1 | TRUE | 1 | 2004 | 9 | 30 |
| 23521 | 1 | TRUE | 1 | 2004 | 10 | 1 |
| 23521 | -1 | TRUE | 1 | 2004 | 10 | 30 |
| 23521 | 1 | TRUE | 1 | 2004 | 11 | 1 |
| 23521 | -1 | TRUE | 1 | 2004 | 11 | 30 |
| 23521 | 1 | TRUE | 1 | 2004 | 12 | 1 |
| 23521 | -1 | TRUE | 1 | 2004 | 12 | 31 |
| 23521 | 1 | TRUE | 1 | 2005 | 1 | 1 |
| 23521 | -1 | TRUE | 0 | 2005 | 1 | 30 |
| 23521 | 1 | TRUE | 1 | 2005 | 2 | 1 |
| 23521 | -1 | TRUE | 1 | 2005 | 2 | 28 |
| 23521 | 1 | TRUE | 1 | 2005 | 3 | 2 |
| 23521 | -1 | TRUE | 1 | 2005 | 3 | 29 |
| 23521 | 1 | TRUE | 0 | 2005 | 4 | 1 |
| 23521 | -1 | TRUE | 0 | 2005 | 4 | 30 |
| 23521 | 1 | TRUE | 0 | 2005 | 5 | 1 |
| 23521 | -1 | TRUE | 0 | 2005 | 5 | 31 |
| 23521 | 1 | TRUE | 1 | 2005 | 6 | 1 |
| 23521 | -1 | TRUE | 0 | 2005 | 6 | 30 |
| 23521 | 1 | TRUE | 1 | 2005 | 7 | 1 |
| 23521 | -1 | TRUE | 0 | 2005 | 7 | 31 |
| 23521 | 1 | TRUE | 0 | 2005 | 8 | 1 |
| 23521 | -1 | TRUE | 1 | 2005 | 8 | 31 |
| 23521 | 1 | TRUE | 1 | 2005 | 9 | 1 |
| 23521 | -1 | TRUE | 1 | 2005 | 9 | 30 |
| 23521 | 1 | TRUE | 0 | 2005 | 10 | 1 |
| 23521 | -1 | TRUE | 1 | 2005 | 10 | 31 |
| 23521 | 1 | TRUE | 1 | 2005 | 11 | 4 |
| 23521 | -1 | TRUE | 1 | 2005 | 11 | 30 |
| 23521 | 1 | TRUE | 1 | 2005 | 12 | 1 |
| 23521 | -1 | TRUE | 1 | 2005 | 12 | 31 |
| 23531 | 1 | TRUE | 1 | 2003 | 10 | 1 |
| 23531 | -1 | TRUE | 0 | 2003 | 10 | 31 |
| 23531 | 1 | TRUE | 0 | 2003 | 11 | 1 |
| 23531 | -1 | TRUE | 0 | 2003 | 11 | 29 |
| 23531 | 1 | TRUE | 0 | 2003 | 12 | 2 |
| 23531 | -1 | TRUE | 1 | 2003 | 12 | 31 |
| 23531 | 1 | TRUE | 1 | 2004 | 1 | 1 |
| 23531 | -1 | TRUE | 0 | 2004 | 1 | 31 |
| 23531 | 1 | TRUE | 0 | 2004 | 2 | 2 |
| 23531 | -1 | TRUE | 1 | 2004 | 2 | 28 |
| 23531 | 1 | TRUE | 1 | 2004 | 3 | 1 |
| 23531 | -1 | TRUE | 1 | 2004 | 3 | 31 |
| 23531 | 1 | TRUE | 0 | 2004 | 4 | 2 |
| 23531 | -1 | TRUE | 1 | 2004 | 4 | 30 |
| 23531 | 1 | TRUE | 1 | 2004 | 5 | 1 |
| 23531 | -1 | TRUE | 1 | 2004 | 5 | 31 |
| 23531 | 1 | TRUE | 1 | 2004 | 6 | 1 |
| 23531 | -1 | TRUE | 1 | 2004 | 6 | 30 |
| 23531 | 1 | TRUE | 1 | 2004 | 7 | 1 |
| 23531 | -1 | TRUE | 0 | 2004 | 7 | 31 |
| 23531 | 1 | TRUE | 0 | 2004 | 8 | 14 |
| 23531 | -1 | TRUE | 1 | 2004 | 8 | 30 |
| 23531 | 1 | TRUE | 1 | 2004 | 9 | 1 |
| 23531 | -1 | TRUE | 1 | 2004 | 9 | 30 |
| 23531 | 1 | TRUE | 1 | 2004 | 10 | 1 |
| 23531 | -1 | TRUE | 1 | 2004 | 10 | 30 |
| 23531 | 1 | TRUE | 1 | 2004 | 11 | 1 |
| 23531 | -1 | TRUE | 1 | 2004 | 11 | 30 |
| 23531 | 1 | TRUE | 0 | 2004 | 12 | 1 |
| 23531 | -1 | TRUE | 1 | 2004 | 12 | 31 |
| 23531 | 1 | TRUE | 1 | 2005 | 1 | 1 |
| 23531 | -1 | TRUE | 0 | 2005 | 1 | 30 |
| 23531 | 1 | TRUE | 1 | 2005 | 2 | 1 |
| 23531 | -1 | TRUE | 1 | 2005 | 2 | 28 |
| 23531 | 1 | TRUE | 1 | 2005 | 3 | 2 |
| 23531 | -1 | TRUE | 0 | 2005 | 3 | 29 |
| 23531 | 1 | TRUE | 0 | 2005 | 4 | 1 |
| 23531 | -1 | TRUE | 0 | 2005 | 4 | 30 |
| 23531 | 1 | TRUE | 0 | 2005 | 5 | 1 |
| 23531 | -1 | TRUE | 0 | 2005 | 5 | 31 |
| 23531 | 1 | TRUE | 1 | 2005 | 6 | 1 |
| 23531 | -1 | TRUE | 1 | 2005 | 6 | 30 |
| 23531 | 1 | TRUE | 1 | 2005 | 7 | 1 |
| 23531 | -1 | TRUE | 0 | 2005 | 7 | 31 |
| 23531 | 1 | TRUE | 1 | 2005 | 8 | 1 |
| 23531 | -1 | TRUE | 1 | 2005 | 8 | 31 |
| 23531 | 1 | TRUE | 1 | 2005 | 9 | 1 |
| 23531 | -1 | TRUE | 1 | 2005 | 9 | 30 |
| 23531 | 1 | TRUE | 1 | 2005 | 10 | 1 |
| 23531 | -1 | TRUE | 1 | 2005 | 10 | 31 |
| 23531 | 1 | TRUE | 1 | 2005 | 11 | 4 |
| 23531 | -1 | TRUE | 1 | 2005 | 11 | 29 |
| 23531 | 1 | TRUE | 0 | 2005 | 12 | 1 |
| 23531 | -1 | TRUE | 1 | 2005 | 12 | 29 |
| 24111 | 1 | TRUE | 0 | 2003 | 10 | 1 |
| 24111 | -1 | TRUE | 1 | 2003 | 10 | 31 |
| 24111 | 1 | TRUE | 1 | 2003 | 11 | 1 |
| 24111 | -1 | TRUE | 1 | 2003 | 11 | 29 |
| 24111 | 1 | TRUE | 1 | 2003 | 12 | 2 |
| 24111 | -1 | TRUE | 1 | 2003 | 12 | 31 |
| 24111 | 1 | TRUE | 1 | 2004 | 1 | 1 |
| 24111 | -1 | TRUE | 1 | 2004 | 1 | 31 |
| 24111 | 1 | TRUE | 1 | 2004 | 2 | 2 |
| 24111 | -1 | TRUE | 0 | 2004 | 2 | 28 |
| 24111 | 1 | TRUE | 1 | 2004 | 3 | 1 |
| 24111 | -1 | TRUE | 1 | 2004 | 3 | 31 |
| 24111 | 1 | TRUE | 0 | 2004 | 4 | 2 |
| 24111 | -1 | TRUE | 1 | 2004 | 4 | 30 |
| 24112 | 1 | TRUE | 1 | 2004 | 8 | 19 |
| 24112 | -1 | TRUE | 1 | 2004 | 8 | 31 |
| 24112 | 1 | TRUE | 1 | 2004 | 9 | 1 |
| 24112 | -1 | TRUE | 1 | 2004 | 9 | 30 |
| 24112 | 1 | TRUE | 1 | 2004 | 10 | 1 |
| 24112 | -1 | TRUE | 1 | 2004 | 10 | 30 |
| 24112 | 1 | TRUE | 1 | 2004 | 11 | 1 |
| 24112 | -1 | TRUE | 1 | 2004 | 11 | 30 |
| 24112 | 1 | TRUE | 1 | 2004 | 12 | 1 |
| 24112 | -1 | TRUE | 1 | 2004 | 12 | 31 |
| 24112 | 1 | TRUE | 1 | 2005 | 1 | 1 |
| 24112 | -1 | TRUE | 0 | 2005 | 1 | 30 |
| 24112 | 1 | TRUE | 1 | 2005 | 2 | 1 |
| 24112 | -1 | TRUE | 1 | 2005 | 2 | 28 |
| 24112 | 1 | TRUE | 1 | 2005 | 3 | 2 |
| 24112 | -1 | TRUE | 1 | 2005 | 3 | 29 |
| 24112 | 1 | TRUE | 0 | 2005 | 4 | 1 |
| 24112 | -1 | TRUE | 0 | 2005 | 4 | 30 |
| 24112 | 1 | TRUE | 0 | 2005 | 5 | 1 |
| 24112 | -1 | TRUE | 0 | 2005 | 5 | 31 |
| 24112 | 1 | TRUE | 1 | 2005 | 6 | 1 |
| 24112 | -1 | TRUE | 1 | 2005 | 6 | 30 |
| 24112 | 1 | TRUE | 1 | 2005 | 7 | 1 |
| 24112 | -1 | TRUE | 0 | 2005 | 7 | 31 |
| 24112 | 1 | TRUE | 1 | 2005 | 8 | 1 |
| 24112 | -1 | TRUE | 1 | 2005 | 8 | 31 |
| 24112 | 1 | TRUE | 0 | 2005 | 9 | 1 |
| 24112 | -1 | TRUE | 0 | 2005 | 9 | 30 |
| 24112 | 1 | TRUE | 0 | 2005 | 10 | 2 |
| 24112 | -1 | FALSE | 0 | 2005 | 10 | 31 |
| 24112 | 1 | FALSE | 1 | 2005 | 11 | 3 |
| 24112 | -1 | TRUE | 1 | 2005 | 11 | 30 |
| 24112 | 1 | TRUE | 1 | 2005 | 12 | 1 |
| 24112 | -1 | TRUE | 0 | 2005 | 12 | 31 |
| 24511 | 1 | TRUE | 1 | 2003 | 10 | 1 |
| 24511 | -1 | TRUE | 1 | 2003 | 10 | 31 |
| 24511 | 1 | TRUE | 1 | 2003 | 11 | 1 |
| 24511 | -1 | TRUE | 1 | 2003 | 11 | 29 |
| 24511 | 1 | TRUE | 0 | 2003 | 12 | 2 |
| 24511 | -1 | TRUE | 1 | 2003 | 12 | 31 |
| 24511 | 1 | TRUE | 1 | 2004 | 1 | 1 |
| 24511 | -1 | TRUE | 1 | 2004 | 1 | 31 |
| 24511 | 1 | TRUE | 1 | 2004 | 2 | 2 |
| 24511 | -1 | TRUE | 1 | 2004 | 2 | 28 |
| 24511 | 1 | TRUE | 1 | 2004 | 3 | 1 |
| 24511 | -1 | TRUE | 1 | 2004 | 3 | 31 |
| 24511 | 1 | TRUE | 1 | 2004 | 4 | 3 |
| 24511 | -1 | TRUE | 1 | 2004 | 4 | 30 |
| 24511 | 1 | TRUE | 1 | 2004 | 5 | 1 |
| 24511 | -1 | TRUE | 1 | 2004 | 5 | 31 |
| 24511 | 1 | TRUE | 0 | 2004 | 6 | 1 |
| 24511 | -1 | TRUE | 1 | 2004 | 6 | 30 |
| 24511 | 1 | TRUE | 1 | 2004 | 7 | 1 |
| 24511 | -1 | TRUE | 1 | 2004 | 7 | 31 |
| 24511 | 1 | TRUE | 0 | 2004 | 8 | 14 |
| 24511 | -1 | TRUE | 0 | 2004 | 8 | 30 |
| 24511 | 1 | TRUE | 1 | 2004 | 9 | 1 |
| 24511 | -1 | TRUE | 0 | 2004 | 9 | 30 |
| 24511 | 1 | TRUE | 0 | 2004 | 10 | 1 |
| 24511 | -1 | TRUE | 1 | 2004 | 10 | 30 |
| 24511 | 1 | TRUE | 1 | 2004 | 11 | 1 |
| 24511 | -1 | TRUE | 1 | 2004 | 11 | 30 |
| 24511 | 1 | TRUE | 1 | 2004 | 12 | 1 |
| 24511 | -1 | TRUE | 1 | 2004 | 12 | 29 |
| 24511 | 1 | TRUE | 0 | 2005 | 1 | 1 |
| 24511 | -1 | TRUE | 1 | 2005 | 1 | 31 |
| 24511 | 1 | TRUE | 1 | 2005 | 2 | 1 |
| 24511 | -1 | FALSE | 0 | 2005 | 2 | 28 |
| 24511 | 1 | FALSE | 0 | 2005 | 3 | 1 |
| 24511 | -1 | TRUE | 1 | 2005 | 3 | 31 |
| 24511 | 1 | TRUE | 0 | 2005 | 4 | 1 |
| 24511 | -1 | TRUE | 0 | 2005 | 4 | 30 |
| 24511 | 1 | TRUE | 0 | 2005 | 5 | 1 |
| 24511 | -1 | TRUE | 0 | 2005 | 5 | 31 |
| 24511 | 1 | TRUE | 0 | 2005 | 6 | 2 |
| 24511 | -1 | TRUE | 1 | 2005 | 6 | 30 |
| 24511 | 1 | TRUE | 1 | 2005 | 7 | 1 |
| 24511 | -1 | TRUE | 0 | 2005 | 7 | 31 |
| 24511 | 1 | TRUE | 0 | 2005 | 8 | 1 |
| 24511 | -1 | TRUE | 1 | 2005 | 8 | 31 |
| 24511 | 1 | TRUE | 1 | 2005 | 9 | 1 |
| 24511 | -1 | TRUE | 1 | 2005 | 9 | 30 |
| 24511 | 1 | TRUE | 1 | 2005 | 10 | 1 |
| 24511 | -1 | TRUE | 0 | 2005 | 10 | 31 |
| 24511 | 1 | TRUE | 0 | 2005 | 11 | 4 |
| 24511 | -1 | TRUE | 0 | 2005 | 11 | 30 |
| 24511 | 1 | TRUE | 1 | 2005 | 12 | 1 |
| 24511 | -1 | TRUE | 1 | 2005 | 12 | 31 |
| 24521 | 1 | TRUE | 1 | 2003 | 10 | 1 |
| 24521 | -1 | TRUE | 1 | 2003 | 10 | 31 |
| 24521 | 1 | TRUE | 1 | 2003 | 11 | 1 |
| 24521 | -1 | TRUE | 1 | 2003 | 11 | 29 |
| 24521 | 1 | TRUE | 1 | 2003 | 12 | 2 |
| 24521 | -1 | TRUE | 0 | 2003 | 12 | 31 |
| 24521 | 1 | TRUE | 1 | 2004 | 1 | 1 |
| 24521 | -1 | TRUE | 1 | 2004 | 1 | 31 |
| 24521 | 1 | TRUE | 0 | 2004 | 2 | 2 |
| 24521 | -1 | TRUE | 1 | 2004 | 2 | 28 |
| 24521 | 1 | TRUE | 0 | 2004 | 3 | 1 |
| 24521 | -1 | TRUE | 1 | 2004 | 3 | 31 |
| 24521 | 1 | TRUE | 1 | 2004 | 4 | 3 |
| 24521 | -1 | TRUE | 1 | 2004 | 4 | 30 |
| 24521 | 1 | TRUE | 1 | 2004 | 5 | 1 |
| 24521 | -1 | TRUE | 0 | 2004 | 5 | 31 |
| 24521 | 1 | TRUE | 1 | 2004 | 6 | 1 |
| 24521 | -1 | TRUE | 1 | 2004 | 6 | 30 |
| 24521 | 1 | TRUE | 0 | 2004 | 7 | 1 |
| 24521 | -1 | TRUE | 0 | 2004 | 7 | 31 |
| 24521 | 1 | TRUE | 1 | 2004 | 8 | 3 |
| 24521 | -1 | TRUE | 0 | 2004 | 8 | 30 |
| 24521 | 1 | TRUE | 0 | 2004 | 9 | 1 |
| 24521 | -1 | TRUE | 0 | 2004 | 9 | 30 |
| 24521 | 1 | TRUE | 0 | 2004 | 10 | 1 |
| 24521 | -1 | TRUE | 0 | 2004 | 10 | 30 |
| 24521 | 1 | TRUE | 0 | 2004 | 11 | 1 |
| 24521 | -1 | TRUE | 0 | 2004 | 11 | 30 |
| 24521 | 1 | TRUE | 1 | 2004 | 12 | 1 |
| 24522 | -1 | TRUE | 1 | 2004 | 12 | 28 |
| 24522 | 1 | TRUE | 0 | 2005 | 1 | 1 |
| 24522 | -1 | TRUE | 0 | 2005 | 1 | 30 |
| 24522 | 1 | TRUE | 1 | 2005 | 2 | 1 |
| 24522 | -1 | TRUE | 1 | 2005 | 2 | 28 |
| 24522 | 1 | TRUE | 1 | 2005 | 3 | 2 |
| 24522 | -1 | TRUE | 1 | 2005 | 3 | 29 |
| 24522 | 1 | TRUE | 0 | 2005 | 4 | 1 |
| 24522 | -1 | TRUE | 0 | 2005 | 4 | 30 |
| 24522 | 1 | TRUE | 0 | 2005 | 5 | 1 |
| 24522 | -1 | TRUE | 1 | 2005 | 5 | 31 |
| 24522 | 1 | TRUE | 1 | 2005 | 6 | 1 |
| 24522 | -1 | FALSE | 0 | 2005 | 6 | 30 |
| 24522 | 1 | FALSE | 1 | 2005 | 7 | 1 |
| 24522 | -1 | FALSE | 0 | 2005 | 7 | 31 |
| 24522 | 1 | FALSE | 1 | 2005 | 8 | 1 |
| 24522 | -1 | TRUE | 0 | 2005 | 8 | 29 |
| 24522 | 1 | TRUE | 0 | 2005 | 9 | 1 |
| 24522 | -1 | FALSE | 0 | 2005 | 9 | 30 |
| 24522 | 1 | FALSE | 0 | 2005 | 10 | 1 |
| 24522 | -1 | FALSE | 0 | 2005 | 10 | 31 |
| 24522 | 1 | FALSE | 0 | 2005 | 11 | 4 |
| 24522 | -1 | TRUE | 1 | 2005 | 11 | 30 |
| 24522 | 1 | TRUE | 1 | 2005 | 12 | 1 |
| 24522 | -1 | TRUE | 1 | 2005 | 12 | 31 |
| 24541 | 1 | TRUE | 1 | 2003 | 10 | 1 |
| 24541 | -1 | TRUE | 1 | 2003 | 10 | 31 |
| 24541 | 1 | TRUE | 1 | 2003 | 11 | 1 |
| 24541 | -1 | TRUE | 1 | 2003 | 11 | 29 |
| 24541 | 1 | TRUE | 1 | 2003 | 12 | 1 |
| 24541 | -1 | TRUE | 1 | 2003 | 12 | 31 |
| 24541 | 1 | TRUE | 1 | 2004 | 1 | 1 |
| 24541 | -1 | TRUE | 1 | 2004 | 1 | 31 |
| 24541 | 1 | TRUE | 0 | 2004 | 2 | 2 |
| 24541 | -1 | TRUE | 1 | 2004 | 2 | 28 |
| 24541 | 1 | TRUE | 1 | 2004 | 3 | 1 |
| 24541 | -1 | TRUE | 1 | 2004 | 3 | 31 |
| 24541 | 1 | TRUE | 1 | 2004 | 4 | 3 |
| 24541 | -1 | TRUE | 0 | 2004 | 4 | 30 |
| 24541 | 1 | TRUE | 0 | 2004 | 5 | 1 |
| 24541 | -1 | TRUE | 1 | 2004 | 5 | 31 |
| 24541 | 1 | TRUE | 1 | 2004 | 6 | 1 |
| 24541 | -1 | FALSE | 1 | 2004 | 6 | 30 |
| 24541 | 1 | FALSE | 1 | 2004 | 7 | 1 |
| 24541 | -1 | TRUE | 0 | 2004 | 7 | 31 |
| 24541 | 1 | TRUE | 0 | 2004 | 8 | 12 |
| 24541 | -1 | TRUE | 0 | 2004 | 8 | 30 |
| 24541 | 1 | TRUE | 1 | 2004 | 9 | 1 |
| 24541 | -1 | TRUE | 1 | 2004 | 9 | 30 |
| 24541 | 1 | TRUE | 1 | 2004 | 10 | 1 |
| 24541 | -1 | TRUE | 1 | 2004 | 10 | 30 |
| 24541 | 1 | TRUE | 1 | 2004 | 11 | 1 |
| 24541 | -1 | TRUE | 1 | 2004 | 11 | 30 |
| 24541 | 1 | TRUE | 1 | 2004 | 12 | 1 |
| 24541 | -1 | TRUE | 1 | 2004 | 12 | 31 |
| 24541 | 1 | TRUE | 1 | 2005 | 1 | 1 |
| 24541 | -1 | TRUE | 0 | 2005 | 1 | 30 |
| 24541 | 1 | TRUE | 0 | 2005 | 2 | 1 |
| 24541 | -1 | TRUE | 1 | 2005 | 2 | 28 |
| 24541 | 1 | TRUE | 1 | 2005 | 3 | 2 |
| 24541 | -1 | TRUE | 1 | 2005 | 3 | 31 |
| 24541 | 1 | TRUE | 0 | 2005 | 4 | 1 |
| 24541 | -1 | TRUE | 0 | 2005 | 4 | 30 |
| 31311 | 1 | TRUE | 1 | 2003 | 10 | 1 |
| 31311 | -1 | TRUE | 1 | 2003 | 10 | 31 |
| 31311 | 1 | TRUE | 1 | 2003 | 11 | 1 |
| 31311 | -1 | TRUE | 1 | 2003 | 11 | 29 |
| 31311 | 1 | TRUE | 1 | 2003 | 12 | 2 |
| 31311 | -1 | TRUE | 1 | 2003 | 12 | 31 |
| 31311 | 1 | TRUE | 1 | 2004 | 1 | 1 |
| 31311 | -1 | TRUE | 1 | 2004 | 1 | 31 |
| 31311 | 1 | TRUE | 0 | 2004 | 2 | 2 |
| 31311 | -1 | TRUE | 0 | 2004 | 2 | 28 |
| 31311 | 1 | TRUE | 0 | 2004 | 3 | 1 |
| 31311 | -1 | TRUE | 0 | 2004 | 3 | 31 |
| 31311 | 1 | TRUE | 1 | 2004 | 4 | 1 |
| 31311 | -1 | TRUE | 0 | 2004 | 4 | 30 |
| 31311 | 1 | TRUE | 0 | 2004 | 5 | 1 |
| 31311 | -1 | TRUE | 0 | 2004 | 5 | 31 |
| 31311 | 1 | TRUE | 1 | 2004 | 6 | 1 |
| 31311 | -1 | FALSE | 0 | 2004 | 6 | 30 |
| 31311 | 1 | FALSE | 0 | 2004 | 7 | 1 |
| 31311 | -1 | TRUE | 0 | 2004 | 7 | 31 |
| 31311 | 1 | TRUE | 1 | 2004 | 8 | 2 |
| 31311 | -1 | TRUE | 0 | 2004 | 8 | 31 |
| 31311 | 1 | TRUE | 0 | 2004 | 9 | 1 |
| 31311 | -1 | TRUE | 1 | 2004 | 9 | 30 |
| 31311 | 1 | TRUE | 0 | 2004 | 10 | 1 |
| 31311 | -1 | FALSE | 0 | 2004 | 10 | 30 |
| 31311 | 1 | FALSE | 0 | 2004 | 11 | 1 |
| 31311 | -1 | FALSE | 0 | 2004 | 11 | 30 |
| 31311 | 1 | FALSE | 0 | 2004 | 12 | 1 |
| 31311 | -1 | FALSE | 0 | 2004 | 12 | 31 |
| 31311 | 1 | FALSE | 0 | 2005 | 1 | 1 |
| 31311 | -1 | FALSE | 0 | 2005 | 1 | 31 |
| 31311 | 1 | FALSE | 0 | 2005 | 2 | 1 |
| 31311 | -1 | TRUE | 1 | 2005 | 2 | 28 |
| 31311 | 1 | TRUE | 0 | 2005 | 3 | 1 |
| 31311 | -1 | TRUE | 1 | 2005 | 3 | 29 |
| 31311 | 1 | TRUE | 1 | 2005 | 4 | 1 |
| 31311 | -1 | TRUE | 0 | 2005 | 4 | 30 |
| 31311 | 1 | TRUE | 0 | 2005 | 5 | 1 |
| 31311 | -1 | FALSE | 0 | 2005 | 5 | 31 |
| 31311 | 1 | FALSE | 0 | 2005 | 6 | 1 |
| 31311 | -1 | FALSE | 0 | 2005 | 6 | 30 |
| 31311 | 1 | FALSE | 0 | 2005 | 7 | 1 |
| 31311 | -1 | TRUE | 0 | 2005 | 7 | 31 |
| 31311 | 1 | TRUE | 0 | 2005 | 8 | 1 |
| 31311 | -1 | TRUE | 1 | 2005 | 8 | 29 |
| 31311 | 1 | TRUE | 1 | 2005 | 9 | 1 |
| 31311 | -1 | TRUE | 0 | 2005 | 9 | 30 |
| 31311 | 1 | TRUE | 1 | 2005 | 10 | 1 |
| 31311 | -1 | TRUE | 0 | 2005 | 10 | 31 |
| 31311 | 1 | TRUE | 0 | 2005 | 11 | 4 |
| 31311 | -1 | TRUE | 1 | 2005 | 11 | 28 |
| 31311 | 1 | TRUE | 0 | 2005 | 12 | 4 |
| 31311 | -1 | TRUE | 1 | 2005 | 12 | 31 |
| 32311 | 1 | TRUE | 1 | 2003 | 10 | 1 |
| 32311 | -1 | TRUE | 1 | 2003 | 10 | 31 |
| 32311 | 1 | TRUE | 1 | 2003 | 11 | 1 |
| 32311 | -1 | TRUE | 1 | 2003 | 11 | 29 |
| 32311 | 1 | TRUE | 1 | 2003 | 12 | 2 |
| 32311 | -1 | TRUE | 1 | 2003 | 12 | 31 |
| 32311 | 1 | TRUE | 1 | 2004 | 1 | 1 |
| 32311 | -1 | TRUE | 1 | 2004 | 1 | 31 |
| 32311 | 1 | TRUE | 1 | 2004 | 2 | 2 |
| 32311 | -1 | TRUE | 1 | 2004 | 2 | 28 |
| 32311 | 1 | TRUE | 1 | 2004 | 3 | 1 |
| 32311 | -1 | TRUE | 1 | 2004 | 3 | 31 |
| 32311 | 1 | TRUE | 1 | 2004 | 4 | 1 |
| 32311 | -1 | TRUE | 1 | 2004 | 4 | 30 |
| 32311 | 1 | TRUE | 1 | 2004 | 5 | 1 |
| 32311 | -1 | TRUE | 1 | 2004 | 5 | 31 |
| 32311 | 1 | TRUE | 1 | 2004 | 6 | 1 |
| 32311 | -1 | TRUE | 1 | 2004 | 6 | 30 |
| 32311 | 1 | TRUE | 1 | 2004 | 7 | 1 |
| 32311 | -1 | TRUE | 1 | 2004 | 7 | 31 |
| 32311 | 1 | TRUE | 1 | 2004 | 8 | 2 |
| 32311 | -1 | TRUE | 1 | 2004 | 8 | 31 |
| 32311 | 1 | TRUE | 1 | 2004 | 9 | 1 |
| 32311 | -1 | TRUE | 1 | 2004 | 9 | 30 |
| 32311 | 1 | TRUE | 1 | 2004 | 10 | 1 |
| 32311 | -1 | TRUE | 0 | 2004 | 10 | 30 |
| 32311 | 1 | TRUE | 1 | 2004 | 11 | 1 |
| 32311 | -1 | TRUE | 1 | 2004 | 11 | 30 |
| 32311 | 1 | TRUE | 1 | 2004 | 12 | 1 |
| 32311 | -1 | TRUE | 1 | 2004 | 12 | 31 |
| 32311 | 1 | TRUE | 1 | 2005 | 1 | 1 |
| 32311 | -1 | TRUE | 0 | 2005 | 1 | 31 |
| 32311 | 1 | TRUE | 0 | 2005 | 2 | 1 |
| 32311 | -1 | TRUE | 1 | 2005 | 2 | 28 |
| 32311 | 1 | TRUE | 1 | 2005 | 3 | 1 |
| 32311 | -1 | TRUE | 1 | 2005 | 3 | 31 |
| 32311 | 1 | TRUE | 0 | 2005 | 4 | 1 |
| 32311 | -1 | TRUE | 1 | 2005 | 4 | 30 |
| 32311 | 1 | TRUE | 0 | 2005 | 5 | 1 |
| 32311 | -1 | TRUE | 0 | 2005 | 5 | 31 |
| 32311 | 1 | TRUE | 0 | 2005 | 6 | 1 |
| 32311 | -1 | TRUE | 1 | 2005 | 6 | 28 |
| 32311 | 1 | TRUE | 1 | 2005 | 7 | 1 |
| 32311 | -1 | FALSE | 0 | 2005 | 7 | 31 |
| 32311 | 1 | FALSE | 1 | 2005 | 8 | 1 |
| 32311 | -1 | TRUE | 0 | 2005 | 8 | 29 |
| 32311 | 1 | TRUE | 0 | 2005 | 9 | 1 |
| 32311 | -1 | TRUE | 1 | 2005 | 9 | 30 |
| 32311 | 1 | TRUE | 1 | 2005 | 10 | 1 |
| 32311 | -1 | TRUE | 1 | 2005 | 10 | 31 |
| 32311 | 1 | TRUE | 0 | 2005 | 11 | 4 |
| 32311 | -1 | TRUE | 1 | 2005 | 11 | 28 |
| 32311 | 1 | TRUE | 1 | 2005 | 12 | 1 |
| 32311 | -1 | TRUE | 1 | 2005 | 12 | 31 |
| 32321 | 1 | TRUE | 1 | 2003 | 10 | 1 |
| 32321 | -1 | TRUE | 1 | 2003 | 10 | 31 |
| 32321 | 1 | TRUE | 1 | 2003 | 11 | 1 |
| 32321 | -1 | TRUE | 1 | 2003 | 11 | 29 |
| 32321 | 1 | TRUE | 1 | 2003 | 12 | 2 |
| 32321 | -1 | TRUE | 1 | 2003 | 12 | 31 |
| 32321 | 1 | TRUE | 1 | 2004 | 1 | 1 |
| 32321 | -1 | TRUE | 1 | 2004 | 1 | 31 |
| 32321 | 1 | TRUE | 1 | 2004 | 2 | 2 |
| 32321 | -1 | TRUE | 1 | 2004 | 2 | 28 |
| 32321 | 1 | TRUE | 1 | 2004 | 3 | 1 |
| 32321 | -1 | TRUE | 1 | 2004 | 3 | 31 |
| 32321 | 1 | TRUE | 1 | 2004 | 4 | 1 |
| 32321 | -1 | TRUE | 1 | 2004 | 4 | 30 |
| 32321 | 1 | TRUE | 1 | 2004 | 5 | 1 |
| 32321 | -1 | TRUE | 1 | 2004 | 5 | 31 |
| 32321 | 1 | TRUE | 1 | 2004 | 6 | 1 |
| 32321 | -1 | TRUE | 1 | 2004 | 6 | 30 |
| 32321 | 1 | TRUE | 1 | 2004 | 7 | 1 |
| 32321 | -1 | TRUE | 1 | 2004 | 7 | 31 |
| 32321 | 1 | TRUE | 1 | 2004 | 8 | 2 |
| 32321 | -1 | TRUE | 0 | 2004 | 8 | 31 |
| 32321 | 1 | TRUE | 1 | 2004 | 9 | 1 |
| 32321 | -1 | TRUE | 1 | 2004 | 9 | 30 |
| 32321 | 1 | TRUE | 1 | 2004 | 10 | 1 |
| 32321 | -1 | TRUE | 0 | 2004 | 10 | 30 |
| 32321 | 1 | TRUE | 1 | 2004 | 11 | 1 |
| 32321 | -1 | TRUE | 1 | 2004 | 11 | 30 |
| 32321 | 1 | TRUE | 1 | 2004 | 12 | 1 |
| 32321 | -1 | TRUE | 0 | 2004 | 12 | 31 |
| 32321 | 1 | TRUE | 1 | 2005 | 1 | 1 |
| 32321 | -1 | TRUE | 1 | 2005 | 1 | 31 |
| 32321 | 1 | TRUE | 1 | 2005 | 2 | 1 |
| 32321 | -1 | TRUE | 1 | 2005 | 2 | 28 |
| 32321 | 1 | TRUE | 0 | 2005 | 3 | 1 |
| 32321 | -1 | TRUE | 1 | 2005 | 3 | 31 |
| 32321 | 1 | TRUE | 0 | 2005 | 4 | 1 |
| 32321 | -1 | TRUE | 1 | 2005 | 4 | 30 |
| 32321 | 1 | TRUE | 0 | 2005 | 5 | 1 |
| 32321 | -1 | TRUE | 1 | 2005 | 5 | 31 |
| 32321 | 1 | TRUE | 0 | 2005 | 6 | 1 |
| 32321 | -1 | TRUE | 1 | 2005 | 6 | 28 |
| 32321 | 1 | TRUE | 1 | 2005 | 7 | 1 |
| 32321 | -1 | TRUE | 0 | 2005 | 7 | 31 |
| 32321 | 1 | TRUE | 1 | 2005 | 8 | 1 |
| 32321 | -1 | TRUE | 1 | 2005 | 8 | 29 |
| 32321 | 1 | TRUE | 1 | 2005 | 9 | 1 |
| 32321 | -1 | TRUE | 1 | 2005 | 9 | 30 |
| 32321 | 1 | TRUE | 1 | 2005 | 10 | 1 |
| 32321 | -1 | TRUE | 1 | 2005 | 10 | 31 |
| 32321 | 1 | TRUE | 1 | 2005 | 11 | 3 |
| 32321 | -1 | TRUE | 1 | 2005 | 11 | 28 |
| 32321 | 1 | TRUE | 1 | 2005 | 12 | 1 |
| 32321 | -1 | TRUE | 1 | 2005 | 12 | 31 |
| 32411 | 1 | TRUE | 1 | 2003 | 10 | 1 |
| 32411 | -1 | TRUE | 1 | 2003 | 10 | 31 |
| 32411 | 1 | TRUE | 1 | 2003 | 11 | 1 |
| 32411 | -1 | TRUE | 1 | 2003 | 11 | 29 |
| 32411 | 1 | TRUE | 1 | 2003 | 12 | 1 |
| 32411 | -1 | TRUE | 1 | 2003 | 12 | 31 |
| 32411 | 1 | TRUE | 1 | 2004 | 1 | 1 |
| 32411 | -1 | TRUE | 1 | 2004 | 1 | 31 |
| 32411 | 1 | TRUE | 1 | 2004 | 2 | 2 |
| 32411 | -1 | TRUE | 1 | 2004 | 2 | 28 |
| 32411 | 1 | TRUE | 1 | 2004 | 3 | 1 |
| 32411 | -1 | TRUE | 0 | 2004 | 3 | 31 |
| 32411 | 1 | TRUE | 1 | 2004 | 4 | 1 |
| 32411 | -1 | TRUE | 0 | 2004 | 4 | 30 |
| 32411 | 1 | TRUE | 0 | 2004 | 5 | 1 |
| 32411 | -1 | FALSE | 0 | 2004 | 5 | 31 |
| 32411 | 1 | FALSE | 0 | 2004 | 6 | 1 |
| 32411 | -1 | FALSE | 0 | 2004 | 6 | 30 |
| 32411 | 1 | FALSE | 0 | 2004 | 7 | 1 |
| 32411 | -1 | TRUE | 1 | 2004 | 7 | 31 |
| 32411 | 1 | TRUE | 1 | 2004 | 8 | 2 |
| 32411 | -1 | TRUE | 0 | 2004 | 8 | 31 |
| 32411 | 1 | TRUE | 1 | 2004 | 9 | 1 |
| 32411 | -1 | TRUE | 1 | 2004 | 9 | 30 |
| 32411 | 1 | TRUE | 1 | 2004 | 10 | 1 |
| 32411 | -1 | TRUE | 0 | 2004 | 10 | 30 |
| 32411 | 1 | TRUE | 1 | 2004 | 11 | 1 |
| 32411 | -1 | TRUE | 1 | 2004 | 11 | 30 |
| 32411 | 1 | TRUE | 1 | 2004 | 12 | 1 |
| 32411 | -1 | TRUE | 0 | 2004 | 12 | 31 |
| 32411 | 1 | TRUE | 1 | 2005 | 1 | 1 |
| 32411 | -1 | TRUE | 1 | 2005 | 1 | 31 |
| 32411 | 1 | TRUE | 0 | 2005 | 2 | 1 |
| 32411 | -1 | FALSE | 1 | 2005 | 2 | 28 |
| 32411 | 1 | FALSE | 0 | 2005 | 3 | 1 |
| 32411 | -1 | TRUE | 0 | 2005 | 3 | 29 |
| 32411 | 1 | TRUE | 0 | 2005 | 4 | 1 |
| 32411 | -1 | TRUE | 0 | 2005 | 4 | 30 |
| 32412 | 1 | TRUE | 1 | 2005 | 8 | 12 |
| 32412 | -1 | TRUE | 0 | 2005 | 8 | 31 |
| 32412 | 1 | TRUE | 0 | 2005 | 9 | 1 |
| 32412 | -1 | TRUE | 1 | 2005 | 9 | 30 |
| 32412 | 1 | TRUE | 0 | 2005 | 10 | 1 |
| 32412 | -1 | TRUE | 1 | 2005 | 10 | 31 |
| 32412 | 1 | TRUE | 0 | 2005 | 11 | 4 |
| 32412 | -1 | FALSE | 0 | 2005 | 11 | 28 |
| 32412 | 1 | FALSE | 1 | 2005 | 12 | 2 |
| 32412 | -1 | TRUE | 1 | 2005 | 12 | 31 |
| 32421 | 1 | TRUE | 1 | 2003 | 10 | 1 |
| 32421 | -1 | TRUE | 1 | 2003 | 10 | 31 |
| 32421 | 1 | TRUE | 1 | 2003 | 11 | 1 |
| 32421 | -1 | TRUE | 1 | 2003 | 11 | 29 |
| 32421 | 1 | TRUE | 1 | 2003 | 12 | 1 |
| 32421 | -1 | TRUE | 1 | 2003 | 12 | 31 |
| 32421 | 1 | TRUE | 1 | 2004 | 1 | 1 |
| 32421 | -1 | TRUE | 1 | 2004 | 1 | 31 |
| 32421 | 1 | TRUE | 1 | 2004 | 2 | 2 |
| 32421 | -1 | TRUE | 1 | 2004 | 2 | 28 |
| 32421 | 1 | TRUE | 1 | 2004 | 3 | 1 |
| 32421 | -1 | TRUE | 1 | 2004 | 3 | 31 |
| 32421 | 1 | TRUE | 0 | 2004 | 4 | 1 |
| 32421 | -1 | TRUE | 1 | 2004 | 4 | 30 |
| 32421 | 1 | TRUE | 1 | 2004 | 5 | 1 |
| 32421 | -1 | TRUE | 1 | 2004 | 5 | 31 |
| 32421 | 1 | TRUE | 1 | 2004 | 6 | 1 |
| 32421 | -1 | FALSE | 0 | 2004 | 6 | 30 |
| 32421 | 1 | FALSE | 0 | 2004 | 7 | 1 |
| 32421 | -1 | TRUE | 1 | 2004 | 7 | 31 |
| 32421 | 1 | TRUE | 1 | 2004 | 8 | 2 |
| 32421 | -1 | TRUE | 0 | 2004 | 8 | 31 |
| 32421 | 1 | TRUE | 0 | 2004 | 9 | 1 |
| 32421 | -1 | TRUE | 1 | 2004 | 9 | 30 |
| 32421 | 1 | TRUE | 1 | 2004 | 10 | 1 |
| 32421 | -1 | TRUE | 0 | 2004 | 10 | 30 |
| 32421 | 1 | TRUE | 1 | 2004 | 11 | 1 |
| 32421 | -1 | TRUE | 1 | 2004 | 11 | 30 |
| 32421 | 1 | TRUE | 1 | 2004 | 12 | 1 |
| 32421 | -1 | TRUE | 1 | 2004 | 12 | 31 |
| 32421 | 1 | TRUE | 1 | 2005 | 1 | 1 |
| 32421 | -1 | TRUE | 1 | 2005 | 1 | 31 |
| 32421 | 1 | TRUE | 0 | 2005 | 2 | 1 |
| 32421 | -1 | TRUE | 1 | 2005 | 2 | 28 |
| 32421 | 1 | TRUE | 0 | 2005 | 3 | 1 |
| 32421 | -1 | TRUE | 1 | 2005 | 3 | 31 |
| 32421 | 1 | TRUE | 0 | 2005 | 4 | 1 |
| 32421 | -1 | TRUE | 1 | 2005 | 4 | 30 |
| 32421 | 1 | TRUE | 0 | 2005 | 5 | 1 |
| 32421 | -1 | TRUE | 0 | 2005 | 5 | 31 |
| 32421 | 1 | TRUE | 0 | 2005 | 6 | 1 |
| 32421 | -1 | FALSE | 0 | 2005 | 6 | 27 |
| 32421 | 1 | FALSE | 1 | 2005 | 7 | 1 |
| 32421 | -1 | TRUE | 0 | 2005 | 7 | 31 |
| 32421 | 1 | TRUE | 1 | 2005 | 8 | 1 |
| 32421 | -1 | TRUE | 1 | 2005 | 8 | 29 |
| 32421 | 1 | TRUE | 1 | 2005 | 9 | 1 |
| 32421 | -1 | TRUE | 0 | 2005 | 9 | 30 |
| 32421 | 1 | TRUE | 1 | 2005 | 10 | 1 |
| 32421 | -1 | TRUE | 0 | 2005 | 10 | 31 |
| 32421 | 1 | TRUE | 1 | 2005 | 11 | 1 |
| 32421 | -1 | TRUE | 1 | 2005 | 11 | 28 |
| 32421 | 1 | TRUE | 1 | 2005 | 12 | 2 |
| 32421 | -1 | TRUE | 1 | 2005 | 12 | 31 |
| 33111 | 1 | TRUE | 0 | 2003 | 10 | 1 |
| 33111 | -1 | TRUE | 1 | 2003 | 10 | 31 |
| 33111 | 1 | TRUE | 1 | 2003 | 11 | 1 |
| 33111 | -1 | TRUE | 1 | 2003 | 11 | 29 |
| 33111 | 1 | TRUE | 1 | 2003 | 12 | 2 |
| 33111 | -1 | TRUE | 1 | 2003 | 12 | 31 |
| 33111 | 1 | TRUE | 1 | 2004 | 1 | 1 |
| 33111 | -1 | TRUE | 1 | 2004 | 1 | 31 |
| 33111 | 1 | TRUE | 1 | 2004 | 2 | 2 |
| 33111 | -1 | TRUE | 1 | 2004 | 2 | 28 |
| 33111 | 1 | TRUE | 0 | 2004 | 3 | 1 |
| 33111 | -1 | TRUE | 1 | 2004 | 3 | 31 |
| 33111 | 1 | TRUE | 1 | 2004 | 4 | 1 |
| 33111 | -1 | TRUE | 1 | 2004 | 4 | 30 |
| 33111 | 1 | TRUE | 0 | 2004 | 5 | 1 |
| 33111 | -1 | TRUE | 1 | 2004 | 5 | 31 |
| 33111 | 1 | TRUE | 0 | 2004 | 6 | 1 |
| 33111 | -1 | TRUE | 1 | 2004 | 6 | 30 |
| 33111 | 1 | TRUE | 1 | 2004 | 7 | 1 |
| 33111 | -1 | TRUE | 1 | 2004 | 7 | 31 |
| 33111 | 1 | TRUE | 1 | 2004 | 8 | 2 |
| 33111 | -1 | TRUE | 1 | 2004 | 8 | 31 |
| 33111 | 1 | TRUE | 1 | 2004 | 9 | 1 |
| 33111 | -1 | TRUE | 1 | 2004 | 9 | 30 |
| 33111 | 1 | TRUE | 1 | 2004 | 10 | 1 |
| 33111 | -1 | TRUE | 0 | 2004 | 10 | 30 |
| 33111 | 1 | TRUE | 1 | 2004 | 11 | 1 |
| 33111 | -1 | TRUE | 1 | 2004 | 11 | 30 |
| 33111 | 1 | TRUE | 1 | 2004 | 12 | 1 |
| 33111 | -1 | TRUE | 1 | 2004 | 12 | 31 |
| 33111 | 1 | TRUE | 1 | 2005 | 1 | 1 |
| 33111 | -1 | TRUE | 1 | 2005 | 1 | 31 |
| 33111 | 1 | TRUE | 0 | 2005 | 2 | 1 |
| 33111 | -1 | TRUE | 0 | 2005 | 2 | 28 |
| 33111 | 1 | TRUE | 0 | 2005 | 3 | 1 |
| 33111 | -1 | TRUE | 1 | 2005 | 3 | 31 |
| 33111 | 1 | TRUE | 0 | 2005 | 4 | 1 |
| 33111 | -1 | TRUE | 1 | 2005 | 4 | 30 |
| 33111 | 1 | TRUE | 0 | 2005 | 5 | 1 |
| 33111 | -1 | TRUE | 0 | 2005 | 5 | 31 |
| 33111 | 1 | TRUE | 0 | 2005 | 6 | 1 |
| 33111 | -1 | TRUE | 1 | 2005 | 6 | 28 |
| 33111 | 1 | TRUE | 1 | 2005 | 7 | 1 |
| 33111 | -1 | TRUE | 0 | 2005 | 7 | 31 |
| 33111 | 1 | TRUE | 1 | 2005 | 8 | 1 |
| 33111 | -1 | TRUE | 0 | 2005 | 8 | 31 |
| 33111 | 1 | TRUE | 1 | 2005 | 9 | 1 |
| 33111 | -1 | TRUE | 0 | 2005 | 9 | 30 |
| 33111 | 1 | TRUE | 0 | 2005 | 10 | 1 |
| 33111 | -1 | TRUE | 1 | 2005 | 10 | 31 |
| 33111 | 1 | TRUE | 0 | 2005 | 11 | 4 |
| 33111 | -1 | TRUE | 1 | 2005 | 11 | 28 |
| 33111 | 1 | TRUE | 1 | 2005 | 12 | 1 |
| 33111 | -1 | TRUE | 1 | 2005 | 12 | 31 |
| 33211 | 1 | TRUE | 1 | 2003 | 10 | 1 |
| 33211 | -1 | TRUE | 1 | 2003 | 10 | 31 |
| 33211 | 1 | TRUE | 1 | 2003 | 11 | 1 |
| 33211 | -1 | TRUE | 1 | 2003 | 11 | 29 |
| 33211 | 1 | TRUE | 1 | 2003 | 12 | 2 |
| 33211 | -1 | TRUE | 1 | 2003 | 12 | 31 |
| 33211 | 1 | TRUE | 1 | 2004 | 1 | 1 |
| 33211 | -1 | TRUE | 1 | 2004 | 1 | 31 |
| 33211 | 1 | TRUE | 0 | 2004 | 2 | 2 |
| 33211 | -1 | TRUE | 1 | 2004 | 2 | 28 |
| 33211 | 1 | TRUE | 1 | 2004 | 3 | 1 |
| 33211 | -1 | TRUE | 1 | 2004 | 3 | 31 |
| 33211 | 1 | TRUE | 1 | 2004 | 4 | 1 |
| 33211 | -1 | TRUE | 1 | 2004 | 4 | 30 |
| 33211 | 1 | TRUE | 1 | 2004 | 5 | 1 |
| 33211 | -1 | FALSE | 0 | 2004 | 5 | 31 |
| 33211 | 1 | FALSE | 0 | 2004 | 6 | 1 |
| 33211 | -1 | FALSE | 0 | 2004 | 6 | 30 |
| 33211 | 1 | FALSE | 1 | 2004 | 7 | 7 |
| 33211 | -1 | TRUE | 1 | 2004 | 7 | 31 |
| 33211 | 1 | TRUE | 1 | 2004 | 8 | 2 |
| 33211 | -1 | TRUE | 1 | 2004 | 8 | 31 |
| 33211 | 1 | TRUE | 1 | 2004 | 9 | 1 |
| 33211 | -1 | TRUE | 1 | 2004 | 9 | 30 |
| 33211 | 1 | TRUE | 1 | 2004 | 10 | 1 |
| 33211 | -1 | TRUE | 0 | 2004 | 10 | 30 |
| 33211 | 1 | TRUE | 1 | 2004 | 11 | 1 |
| 33211 | -1 | TRUE | 1 | 2004 | 11 | 30 |
| 33211 | 1 | TRUE | 1 | 2004 | 12 | 1 |
| 33211 | -1 | TRUE | 1 | 2004 | 12 | 31 |
| 33211 | 1 | TRUE | 1 | 2005 | 1 | 1 |
| 33211 | -1 | TRUE | 1 | 2005 | 1 | 31 |
| 33211 | 1 | TRUE | 1 | 2005 | 2 | 1 |
| 33211 | -1 | TRUE | 0 | 2005 | 2 | 28 |
| 33211 | 1 | TRUE | 0 | 2005 | 3 | 1 |
| 33211 | -1 | TRUE | 1 | 2005 | 3 | 31 |
| 33211 | 1 | TRUE | 0 | 2005 | 4 | 1 |
| 33211 | -1 | TRUE | 1 | 2005 | 4 | 30 |
| 33211 | 1 | TRUE | 0 | 2005 | 5 | 1 |
| 33211 | -1 | FALSE | 0 | 2005 | 5 | 31 |
| 33211 | 1 | FALSE | 0 | 2005 | 6 | 1 |
| 33211 | -1 | TRUE | 0 | 2005 | 6 | 28 |
| 33211 | 1 | TRUE | 0 | 2005 | 7 | 1 |
| 33211 | -1 | TRUE | 0 | 2005 | 7 | 31 |
| 33221 | 1 | TRUE | 1 | 2003 | 10 | 1 |
| 33221 | -1 | TRUE | 1 | 2003 | 10 | 31 |
| 33221 | 1 | TRUE | 1 | 2003 | 11 | 1 |
| 33221 | -1 | TRUE | 1 | 2003 | 11 | 29 |
| 33221 | 1 | TRUE | 1 | 2003 | 12 | 1 |
| 33221 | -1 | TRUE | 1 | 2003 | 12 | 31 |
| 33221 | 1 | TRUE | 1 | 2004 | 1 | 1 |
| 33221 | -1 | TRUE | 0 | 2004 | 1 | 31 |
| 33221 | 1 | TRUE | 1 | 2004 | 2 | 2 |
| 33221 | -1 | TRUE | 1 | 2004 | 2 | 28 |
| 33221 | 1 | TRUE | 1 | 2004 | 3 | 1 |
| 33221 | -1 | TRUE | 1 | 2004 | 3 | 31 |
| 33221 | 1 | TRUE | 1 | 2004 | 4 | 1 |
| 33221 | -1 | TRUE | 1 | 2004 | 4 | 30 |
| 33221 | 1 | TRUE | 1 | 2004 | 5 | 1 |
| 33221 | -1 | TRUE | 1 | 2004 | 5 | 31 |
| 33221 | 1 | TRUE | 1 | 2004 | 6 | 1 |
| 33221 | -1 | TRUE | 1 | 2004 | 6 | 30 |
| 33221 | 1 | TRUE | 1 | 2004 | 7 | 1 |
| 33221 | -1 | TRUE | 0 | 2004 | 7 | 31 |
| 33221 | 1 | TRUE | 1 | 2004 | 8 | 2 |
| 33221 | -1 | TRUE | 1 | 2004 | 8 | 31 |
| 33221 | 1 | TRUE | 1 | 2004 | 9 | 1 |
| 33221 | -1 | TRUE | 1 | 2004 | 9 | 30 |
| 33221 | 1 | TRUE | 1 | 2004 | 10 | 1 |
| 33221 | -1 | TRUE | 0 | 2004 | 10 | 30 |
| 33221 | 1 | TRUE | 1 | 2004 | 11 | 1 |
| 33221 | -1 | TRUE | 1 | 2004 | 11 | 30 |
| 33221 | 1 | TRUE | 1 | 2004 | 12 | 1 |
| 33221 | -1 | TRUE | 1 | 2004 | 12 | 31 |
| 33221 | 1 | TRUE | 1 | 2005 | 1 | 1 |
| 33221 | -1 | TRUE | 1 | 2005 | 1 | 31 |
| 33221 | 1 | TRUE | 1 | 2005 | 2 | 1 |
| 33221 | -1 | TRUE | 1 | 2005 | 2 | 28 |
| 33221 | 1 | TRUE | 0 | 2005 | 3 | 1 |
| 33221 | -1 | TRUE | 1 | 2005 | 3 | 31 |
| 33221 | 1 | TRUE | 0 | 2005 | 4 | 1 |
| 33221 | -1 | TRUE | 1 | 2005 | 4 | 30 |
| 33221 | 1 | TRUE | 0 | 2005 | 5 | 1 |
| 33221 | -1 | TRUE | 1 | 2005 | 5 | 31 |
| 33221 | 1 | TRUE | 1 | 2005 | 6 | 1 |
| 33221 | -1 | TRUE | 1 | 2005 | 6 | 28 |
| 33221 | 1 | TRUE | 1 | 2005 | 7 | 1 |
| 33221 | -1 | TRUE | 0 | 2005 | 7 | 31 |
| 33221 | 1 | TRUE | 1 | 2005 | 8 | 1 |
| 33221 | -1 | TRUE | 0 | 2005 | 8 | 29 |
| 33221 | 1 | TRUE | 1 | 2005 | 9 | 1 |
| 33221 | -1 | TRUE | 1 | 2005 | 9 | 30 |
| 33221 | 1 | TRUE | 1 | 2005 | 10 | 1 |
| 33221 | -1 | TRUE | 0 | 2005 | 10 | 31 |
| 33221 | 1 | TRUE | 1 | 2005 | 11 | 3 |
| 33221 | -1 | TRUE | 0 | 2005 | 11 | 28 |
| 33221 | 1 | TRUE | 1 | 2005 | 12 | 1 |
| 33221 | -1 | TRUE | 1 | 2005 | 12 | 27 |
| 34111 | 1 | TRUE | 1 | 2003 | 10 | 1 |
| 34111 | -1 | TRUE | 1 | 2003 | 10 | 31 |
| 34111 | 1 | TRUE | 1 | 2003 | 11 | 1 |
| 34111 | -1 | TRUE | 1 | 2003 | 11 | 29 |
| 34111 | 1 | TRUE | 1 | 2003 | 12 | 2 |
| 34111 | -1 | TRUE | 1 | 2003 | 12 | 31 |
| 34111 | 1 | TRUE | 1 | 2004 | 1 | 1 |
| 34111 | -1 | TRUE | 1 | 2004 | 1 | 31 |
| 34111 | 1 | TRUE | 1 | 2004 | 2 | 2 |
| 34111 | -1 | TRUE | 1 | 2004 | 2 | 28 |
| 34111 | 1 | TRUE | 1 | 2004 | 3 | 1 |
| 34111 | -1 | TRUE | 1 | 2004 | 3 | 31 |
| 34111 | 1 | TRUE | 1 | 2004 | 4 | 1 |
| 34111 | -1 | TRUE | 1 | 2004 | 4 | 30 |
| 34111 | 1 | TRUE | 1 | 2004 | 5 | 1 |
| 34111 | -1 | FALSE | 0 | 2004 | 5 | 31 |
| 34111 | 1 | FALSE | 0 | 2004 | 6 | 1 |
| 34111 | -1 | TRUE | 1 | 2004 | 6 | 30 |
| 34111 | 1 | TRUE | 1 | 2004 | 7 | 1 |
| 34111 | -1 | TRUE | 1 | 2004 | 7 | 31 |
| 34111 | 1 | TRUE | 1 | 2004 | 8 | 2 |
| 34111 | -1 | TRUE | 1 | 2004 | 8 | 31 |
| 34111 | 1 | TRUE | 0 | 2004 | 9 | 1 |
| 34111 | -1 | TRUE | 1 | 2004 | 9 | 30 |
| 34111 | 1 | TRUE | 1 | 2004 | 10 | 1 |
| 34111 | -1 | TRUE | 0 | 2004 | 10 | 30 |
| 34111 | 1 | TRUE | 1 | 2004 | 11 | 1 |
| 34111 | -1 | TRUE | 1 | 2004 | 11 | 30 |
| 34111 | 1 | TRUE | 0 | 2004 | 12 | 1 |
| 34111 | -1 | TRUE | 1 | 2004 | 12 | 31 |
| 34111 | 1 | TRUE | 1 | 2005 | 1 | 1 |
| 34111 | -1 | TRUE | 1 | 2005 | 1 | 31 |
| 34111 | 1 | TRUE | 0 | 2005 | 2 | 1 |
| 34111 | -1 | TRUE | 1 | 2005 | 2 | 28 |
| 34111 | 1 | TRUE | 0 | 2005 | 3 | 1 |
| 34111 | -1 | TRUE | 1 | 2005 | 3 | 29 |
| 34111 | 1 | TRUE | 0 | 2005 | 4 | 1 |
| 34111 | -1 | TRUE | 1 | 2005 | 4 | 30 |
| 34111 | 1 | TRUE | 0 | 2005 | 5 | 1 |
| 34111 | -1 | TRUE | 0 | 2005 | 5 | 31 |
| 34111 | 1 | TRUE | 1 | 2005 | 6 | 1 |
| 34111 | -1 | TRUE | 1 | 2005 | 6 | 27 |
| 34111 | 1 | TRUE | 0 | 2005 | 7 | 1 |
| 34111 | -1 | TRUE | 0 | 2005 | 7 | 31 |
| 34111 | 1 | TRUE | 0 | 2005 | 8 | 1 |
| 34111 | -1 | TRUE | 1 | 2005 | 8 | 29 |
| 34111 | 1 | TRUE | 1 | 2005 | 9 | 1 |
| 34111 | -1 | TRUE | 0 | 2005 | 9 | 30 |
| 34111 | 1 | TRUE | 0 | 2005 | 10 | 1 |
| 34111 | -1 | TRUE | 0 | 2005 | 10 | 31 |
| 34111 | 1 | TRUE | 0 | 2005 | 11 | 4 |
| 34111 | -1 | TRUE | 1 | 2005 | 11 | 28 |
| 34111 | 1 | TRUE | 1 | 2005 | 12 | 1 |
| 34111 | -1 | TRUE | 1 | 2005 | 12 | 27 |
| 34121 | 1 | TRUE | 1 | 2003 | 10 | 1 |
| 34121 | -1 | TRUE | 1 | 2003 | 10 | 31 |
| 34121 | 1 | TRUE | 1 | 2003 | 11 | 1 |
| 34121 | -1 | TRUE | 1 | 2003 | 11 | 29 |
| 34121 | 1 | TRUE | 1 | 2003 | 12 | 2 |
| 34121 | -1 | TRUE | 0 | 2003 | 12 | 31 |
| 34121 | 1 | TRUE | 0 | 2004 | 1 | 1 |
| 34121 | -1 | TRUE | 0 | 2004 | 1 | 31 |
| 34121 | 1 | TRUE | 0 | 2004 | 2 | 2 |
| 34121 | -1 | TRUE | 0 | 2004 | 2 | 28 |
| 34121 | 1 | TRUE | 0 | 2004 | 3 | 1 |
| 34121 | -1 | FALSE | 0 | 2004 | 3 | 31 |
| 34121 | 1 | FALSE | 0 | 2004 | 4 | 1 |
| 34121 | -1 | FALSE | 0 | 2004 | 4 | 30 |
| 34121 | 1 | FALSE | 0 | 2004 | 5 | 1 |
| 34121 | -1 | FALSE | 0 | 2004 | 5 | 31 |
| 34121 | 1 | FALSE | 0 | 2004 | 6 | 1 |
| 34122 | -1 | TRUE | 1 | 2004 | 6 | 30 |
| 34122 | 1 | TRUE | 1 | 2004 | 7 | 1 |
| 34122 | -1 | TRUE | 1 | 2004 | 7 | 31 |
| 34122 | 1 | TRUE | 1 | 2004 | 8 | 2 |
| 34122 | -1 | TRUE | 1 | 2004 | 8 | 31 |
| 34122 | 1 | TRUE | 1 | 2004 | 9 | 1 |
| 34122 | -1 | TRUE | 1 | 2004 | 9 | 30 |
| 34122 | 1 | TRUE | 1 | 2004 | 10 | 1 |
| 34122 | -1 | TRUE | 0 | 2004 | 10 | 30 |
| 34122 | 1 | TRUE | 1 | 2004 | 11 | 1 |
| 34122 | -1 | TRUE | 1 | 2004 | 11 | 30 |
| 34122 | 1 | TRUE | 1 | 2004 | 12 | 1 |
| 34122 | -1 | TRUE | 1 | 2004 | 12 | 31 |
| 34122 | 1 | TRUE | 1 | 2005 | 1 | 1 |
| 34122 | -1 | TRUE | 1 | 2005 | 1 | 31 |
| 34122 | 1 | TRUE | 1 | 2005 | 2 | 1 |
| 34122 | -1 | TRUE | 1 | 2005 | 2 | 28 |
| 34122 | 1 | TRUE | 0 | 2005 | 3 | 1 |
| 34122 | -1 | TRUE | 1 | 2005 | 3 | 31 |
| 34122 | 1 | TRUE | 0 | 2005 | 4 | 1 |
| 34122 | -1 | TRUE | 0 | 2005 | 4 | 30 |
| 34122 | 1 | TRUE | 0 | 2005 | 5 | 1 |
| 34122 | -1 | TRUE | 1 | 2005 | 5 | 31 |
| 34122 | 1 | TRUE | 1 | 2005 | 6 | 1 |
| 34122 | -1 | TRUE | 1 | 2005 | 6 | 28 |
| 34122 | 1 | TRUE | 1 | 2005 | 7 | 1 |
| 34122 | -1 | TRUE | 0 | 2005 | 7 | 31 |
| 34122 | 1 | TRUE | 1 | 2005 | 8 | 1 |
| 34122 | -1 | TRUE | 1 | 2005 | 8 | 29 |
| 34122 | 1 | TRUE | 1 | 2005 | 9 | 1 |
| 34122 | -1 | TRUE | 1 | 2005 | 9 | 30 |
| 34122 | 1 | TRUE | 1 | 2005 | 10 | 1 |
| 34122 | -1 | TRUE | 1 | 2005 | 10 | 31 |
| 34122 | 1 | TRUE | 1 | 2005 | 11 | 3 |
| 34122 | -1 | TRUE | 1 | 2005 | 11 | 28 |
| 34122 | 1 | TRUE | 1 | 2005 | 12 | 1 |
| 34122 | -1 | TRUE | 1 | 2005 | 12 | 31 |
| 35111 | 1 | TRUE | 1 | 2003 | 10 | 1 |
| 35111 | -1 | TRUE | 1 | 2003 | 10 | 31 |
| 35111 | 1 | TRUE | 1 | 2003 | 11 | 1 |
| 35111 | -1 | TRUE | 1 | 2003 | 11 | 29 |
| 35111 | 1 | TRUE | 1 | 2003 | 12 | 2 |
| 35111 | -1 | TRUE | 0 | 2003 | 12 | 31 |
| 35111 | 1 | TRUE | 0 | 2004 | 1 | 1 |
| 35111 | -1 | TRUE | 1 | 2004 | 1 | 31 |
| 35111 | 1 | TRUE | 1 | 2004 | 2 | 2 |
| 35111 | -1 | TRUE | 1 | 2004 | 2 | 28 |
| 35111 | 1 | TRUE | 0 | 2004 | 3 | 1 |
| 35111 | -1 | TRUE | 1 | 2004 | 3 | 31 |
| 35111 | 1 | TRUE | 1 | 2004 | 4 | 1 |
| 35111 | -1 | TRUE | 0 | 2004 | 4 | 30 |
| 35111 | 1 | TRUE | 1 | 2004 | 5 | 1 |
| 35111 | -1 | TRUE | 0 | 2004 | 5 | 31 |
| 35111 | 1 | TRUE | 0 | 2004 | 6 | 1 |
| 35111 | -1 | TRUE | 1 | 2004 | 6 | 30 |
| 35111 | 1 | TRUE | 1 | 2004 | 7 | 1 |
| 35111 | -1 | TRUE | 0 | 2004 | 7 | 31 |
| 35111 | 1 | TRUE | 1 | 2004 | 8 | 2 |
| 35111 | -1 | TRUE | 0 | 2004 | 8 | 31 |
| 35111 | 1 | TRUE | 1 | 2004 | 9 | 1 |
| 35111 | -1 | TRUE | 1 | 2004 | 9 | 30 |
| 35111 | 1 | TRUE | 1 | 2004 | 10 | 1 |
| 35111 | -1 | TRUE | 0 | 2004 | 10 | 30 |
| 35111 | 1 | TRUE | 1 | 2004 | 11 | 1 |
| 35111 | -1 | TRUE | 1 | 2004 | 11 | 30 |
| 35111 | 1 | TRUE | 1 | 2004 | 12 | 1 |
| 35111 | -1 | TRUE | 1 | 2004 | 12 | 31 |
| 35111 | 1 | TRUE | 1 | 2005 | 1 | 1 |
| 35111 | -1 | TRUE | 0 | 2005 | 1 | 31 |
| 35111 | 1 | TRUE | 1 | 2005 | 2 | 1 |
| 35111 | -1 | TRUE | 1 | 2005 | 2 | 28 |
| 35111 | 1 | TRUE | 0 | 2005 | 3 | 1 |
| 35111 | -1 | TRUE | 1 | 2005 | 3 | 31 |
| 35111 | 1 | TRUE | 1 | 2005 | 4 | 1 |
| 35111 | -1 | TRUE | 1 | 2005 | 4 | 30 |
| 35111 | 1 | TRUE | 1 | 2005 | 5 | 1 |
| 35111 | -1 | TRUE | 1 | 2005 | 5 | 31 |
| 35111 | 1 | TRUE | 0 | 2005 | 6 | 1 |
| 35111 | -1 | TRUE | 1 | 2005 | 6 | 27 |
| 35111 | 1 | TRUE | 0 | 2005 | 7 | 1 |
| 35111 | -1 | TRUE | 0 | 2005 | 7 | 31 |
| 35111 | 1 | TRUE | 1 | 2005 | 8 | 1 |
| 35111 | -1 | TRUE | 0 | 2005 | 8 | 29 |
| 41111 | 1 | TRUE | 1 | 2003 | 10 | 1 |
| 41111 | -1 | TRUE | 0 | 2003 | 10 | 31 |
| 41111 | 1 | TRUE | 0 | 2003 | 11 | 1 |
| 41111 | -1 | FALSE | 0 | 2003 | 11 | 29 |
| 41111 | 1 | FALSE | 1 | 2003 | 12 | 2 |
| 41111 | -1 | TRUE | 1 | 2003 | 12 | 31 |
| 41111 | 1 | TRUE | 1 | 2004 | 1 | 1 |
| 41111 | -1 | TRUE | 1 | 2004 | 1 | 31 |
| 41111 | 1 | TRUE | 1 | 2004 | 2 | 2 |
| 41111 | -1 | TRUE | 1 | 2004 | 2 | 28 |
| 41111 | 1 | TRUE | 1 | 2004 | 3 | 1 |
| 41111 | -1 | TRUE | 0 | 2004 | 3 | 31 |
| 41111 | 1 | TRUE | 0 | 2004 | 4 | 2 |
| 41111 | -1 | TRUE | 0 | 2004 | 4 | 30 |
| 41111 | 1 | TRUE | 0 | 2004 | 5 | 1 |
| 41111 | -1 | FALSE | 1 | 2004 | 5 | 31 |
| 41111 | 1 | FALSE | 0 | 2004 | 6 | 1 |
| 41111 | -1 | FALSE | 0 | 2004 | 6 | 30 |
| 41111 | 1 | FALSE | 0 | 2004 | 7 | 1 |
| 41111 | -1 | TRUE | 1 | 2004 | 7 | 31 |
| 41111 | 1 | TRUE | 1 | 2004 | 8 | 2 |
| 41111 | -1 | TRUE | 1 | 2004 | 8 | 31 |
| 41111 | 1 | TRUE | 1 | 2004 | 9 | 1 |
| 41111 | -1 | TRUE | 1 | 2004 | 9 | 30 |
| 41111 | 1 | TRUE | 1 | 2004 | 10 | 1 |
| 41111 | -1 | TRUE | 1 | 2004 | 10 | 30 |
| 41111 | 1 | TRUE | 1 | 2004 | 11 | 1 |
| 41111 | -1 | TRUE | 1 | 2004 | 11 | 29 |
| 41111 | 1 | TRUE | 0 | 2004 | 12 | 1 |
| 41111 | -1 | TRUE | 1 | 2004 | 12 | 31 |
| 41111 | 1 | TRUE | 1 | 2005 | 1 | 1 |
| 41111 | -1 | TRUE | 0 | 2005 | 1 | 30 |
| 41111 | 1 | TRUE | 0 | 2005 | 2 | 1 |
| 41111 | -1 | TRUE | 1 | 2005 | 2 | 28 |
| 41111 | 1 | TRUE | 1 | 2005 | 3 | 1 |
| 41111 | -1 | TRUE | 1 | 2005 | 3 | 31 |
| 41111 | 1 | TRUE | 0 | 2005 | 4 | 1 |
| 41111 | -1 | TRUE | 0 | 2005 | 4 | 30 |
| 41111 | 1 | TRUE | 0 | 2005 | 5 | 1 |
| 41111 | -1 | FALSE | 0 | 2005 | 5 | 29 |
| 41111 | 1 | FALSE | 0 | 2005 | 6 | 1 |
| 41111 | -1 | TRUE | 0 | 2005 | 6 | 30 |
| 41111 | 1 | TRUE | 1 | 2005 | 7 | 1 |
| 41111 | -1 | TRUE | 0 | 2005 | 7 | 31 |
| 41111 | 1 | TRUE | 1 | 2005 | 8 | 1 |
| 41111 | -1 | FALSE | 0 | 2005 | 8 | 28 |
| 41111 | 1 | FALSE | 1 | 2005 | 9 | 1 |
| 41111 | -1 | TRUE | 1 | 2005 | 9 | 30 |
| 41111 | 1 | TRUE | 1 | 2005 | 10 | 1 |
| 41111 | -1 | TRUE | 0 | 2005 | 10 | 31 |
| 41111 | 1 | TRUE | 0 | 2005 | 11 | 4 |
| 41111 | -1 | TRUE | 0 | 2005 | 11 | 27 |
| 41111 | 1 | TRUE | 1 | 2005 | 12 | 1 |
| 41111 | -1 | TRUE | 0 | 2005 | 12 | 31 |
| 41121 | 1 | TRUE | 1 | 2003 | 10 | 1 |
| 41121 | -1 | TRUE | 1 | 2003 | 10 | 31 |
| 41121 | 1 | TRUE | 1 | 2003 | 11 | 1 |
| 41121 | -1 | FALSE | 1 | 2003 | 11 | 29 |
| 41121 | 1 | FALSE | 1 | 2003 | 12 | 2 |
| 41121 | -1 | TRUE | 0 | 2003 | 12 | 31 |
| 41121 | 1 | TRUE | 1 | 2004 | 1 | 1 |
| 41121 | -1 | TRUE | 1 | 2004 | 1 | 31 |
| 41121 | 1 | TRUE | 1 | 2004 | 2 | 2 |
| 41121 | -1 | TRUE | 1 | 2004 | 2 | 28 |
| 41121 | 1 | TRUE | 0 | 2004 | 3 | 1 |
| 41121 | -1 | TRUE | 0 | 2004 | 3 | 31 |
| 41121 | 1 | TRUE | 0 | 2004 | 4 | 2 |
| 41121 | -1 | TRUE | 0 | 2004 | 4 | 30 |
| 41121 | 1 | TRUE | 0 | 2004 | 5 | 1 |
| 41121 | -1 | FALSE | 0 | 2004 | 5 | 31 |
| 41121 | 1 | FALSE | 0 | 2004 | 6 | 1 |
| 41121 | -1 | FALSE | 0 | 2004 | 6 | 30 |
| 41121 | 1 | FALSE | 0 | 2004 | 7 | 1 |
| 41121 | -1 | TRUE | 1 | 2004 | 7 | 31 |
| 41121 | 1 | TRUE | 1 | 2004 | 8 | 2 |
| 41121 | -1 | TRUE | 1 | 2004 | 8 | 31 |
| 41121 | 1 | TRUE | 1 | 2004 | 9 | 1 |
| 41121 | -1 | TRUE | 1 | 2004 | 9 | 30 |
| 41121 | 1 | TRUE | 1 | 2004 | 10 | 1 |
| 41121 | -1 | TRUE | 0 | 2004 | 10 | 30 |
| 41121 | 1 | TRUE | 1 | 2004 | 11 | 1 |
| 41121 | -1 | TRUE | 0 | 2004 | 11 | 30 |
| 41121 | 1 | TRUE | 0 | 2004 | 12 | 1 |
| 41121 | -1 | TRUE | 1 | 2004 | 12 | 31 |
| 41121 | 1 | TRUE | 1 | 2005 | 1 | 1 |
| 41121 | -1 | TRUE | 0 | 2005 | 1 | 30 |
| 41121 | 1 | TRUE | 1 | 2005 | 2 | 1 |
| 41121 | -1 | TRUE | 1 | 2005 | 2 | 28 |
| 41121 | 1 | TRUE | 0 | 2005 | 3 | 1 |
| 41121 | -1 | TRUE | 1 | 2005 | 3 | 31 |
| 41121 | 1 | TRUE | 0 | 2005 | 4 | 1 |
| 41121 | -1 | TRUE | 1 | 2005 | 4 | 30 |
| 41121 | 1 | TRUE | 0 | 2005 | 5 | 1 |
| 41121 | -1 | TRUE | 0 | 2005 | 5 | 29 |
| 41121 | 1 | TRUE | 0 | 2005 | 6 | 1 |
| 41121 | -1 | FALSE | 0 | 2005 | 6 | 30 |
| 41121 | 1 | FALSE | 0 | 2005 | 7 | 1 |
| 41121 | -1 | TRUE | 0 | 2005 | 7 | 31 |
| 41121 | 1 | TRUE | 0 | 2005 | 8 | 1 |
| 41121 | -1 | TRUE | 0 | 2005 | 8 | 28 |
| 41121 | 1 | TRUE | 1 | 2005 | 9 | 1 |
| 41121 | -1 | TRUE | 1 | 2005 | 9 | 30 |
| 41121 | 1 | TRUE | 0 | 2005 | 10 | 1 |
| 41121 | -1 | TRUE | 0 | 2005 | 10 | 31 |
| 41121 | 1 | TRUE | 0 | 2005 | 11 | 5 |
| 41121 | -1 | TRUE | 0 | 2005 | 11 | 27 |
| 41121 | 1 | TRUE | 0 | 2005 | 12 | 1 |
| 41121 | -1 | TRUE | 0 | 2005 | 12 | 31 |
| 42311 | 1 | TRUE | 1 | 2003 | 10 | 1 |
| 42311 | -1 | TRUE | 1 | 2003 | 10 | 31 |
| 42311 | 1 | TRUE | 1 | 2003 | 11 | 1 |
| 42311 | -1 | TRUE | 1 | 2003 | 11 | 29 |
| 42311 | 1 | TRUE | 1 | 2003 | 12 | 2 |
| 42311 | -1 | TRUE | 1 | 2003 | 12 | 31 |
| 42311 | 1 | TRUE | 1 | 2004 | 1 | 1 |
| 42311 | -1 | TRUE | 1 | 2004 | 1 | 31 |
| 42311 | 1 | TRUE | 1 | 2004 | 2 | 2 |
| 42311 | -1 | TRUE | 1 | 2004 | 2 | 28 |
| 42311 | 1 | TRUE | 1 | 2004 | 3 | 1 |
| 42311 | -1 | TRUE | 1 | 2004 | 3 | 31 |
| 42311 | 1 | TRUE | 1 | 2004 | 4 | 7 |
| 42311 | -1 | TRUE | 1 | 2004 | 4 | 30 |
| 42311 | 1 | TRUE | 1 | 2004 | 5 | 1 |
| 42311 | -1 | TRUE | 1 | 2004 | 5 | 31 |
| 42311 | 1 | TRUE | 1 | 2004 | 6 | 1 |
| 42311 | -1 | TRUE | 1 | 2004 | 6 | 30 |
| 42311 | 1 | TRUE | 1 | 2004 | 7 | 1 |
| 42311 | -1 | TRUE | 1 | 2004 | 7 | 31 |
| 42311 | 1 | TRUE | 1 | 2004 | 8 | 2 |
| 42311 | -1 | TRUE | 0 | 2004 | 8 | 31 |
| 42311 | 1 | TRUE | 1 | 2004 | 9 | 1 |
| 42311 | -1 | TRUE | 1 | 2004 | 9 | 30 |
| 42311 | 1 | TRUE | 1 | 2004 | 10 | 1 |
| 42311 | -1 | TRUE | 0 | 2004 | 10 | 26 |
| 42311 | 1 | TRUE | 1 | 2004 | 11 | 4 |
| 42311 | -1 | TRUE | 1 | 2004 | 11 | 30 |
| 42311 | 1 | TRUE | 1 | 2004 | 12 | 1 |
| 42311 | -1 | TRUE | 0 | 2004 | 12 | 31 |
| 42311 | 1 | TRUE | 0 | 2005 | 1 | 1 |
| 42311 | -1 | TRUE | 0 | 2005 | 1 | 30 |
| 42311 | 1 | TRUE | 1 | 2005 | 2 | 1 |
| 42311 | -1 | TRUE | 1 | 2005 | 2 | 28 |
| 42311 | 1 | TRUE | 1 | 2005 | 3 | 1 |
| 42311 | -1 | TRUE | 1 | 2005 | 3 | 31 |
| 42311 | 1 | TRUE | 1 | 2005 | 4 | 1 |
| 42311 | -1 | TRUE | 1 | 2005 | 4 | 30 |
| 42311 | 1 | TRUE | 0 | 2005 | 5 | 1 |
| 42311 | -1 | TRUE | 0 | 2005 | 5 | 31 |
| 42311 | 1 | TRUE | 0 | 2005 | 6 | 1 |
| 42311 | -1 | TRUE | 1 | 2005 | 6 | 30 |
| 42311 | 1 | TRUE | 1 | 2005 | 7 | 1 |
| 42311 | -1 | TRUE | 0 | 2005 | 7 | 31 |
| 42311 | 1 | TRUE | 0 | 2005 | 8 | 1 |
| 42311 | -1 | TRUE | 1 | 2005 | 8 | 29 |
| 42311 | 1 | TRUE | 1 | 2005 | 9 | 1 |
| 42311 | -1 | TRUE | 1 | 2005 | 9 | 30 |
| 42311 | 1 | TRUE | 1 | 2005 | 10 | 1 |
| 42311 | -1 | TRUE | 0 | 2005 | 10 | 31 |
| 42311 | 1 | TRUE | 0 | 2005 | 11 | 4 |
| 42311 | -1 | TRUE | 1 | 2005 | 11 | 28 |
| 42311 | 1 | TRUE | 1 | 2005 | 12 | 1 |
| 42311 | -1 | TRUE | 0 | 2005 | 12 | 31 |
| 42411 | 1 | TRUE | 1 | 2003 | 10 | 1 |
| 42411 | -1 | TRUE | 1 | 2003 | 10 | 31 |
| 42411 | 1 | TRUE | 0 | 2003 | 11 | 1 |
| 42411 | -1 | TRUE | 0 | 2003 | 11 | 29 |
| 42411 | 1 | TRUE | 1 | 2003 | 12 | 2 |
| 42411 | -1 | TRUE | 0 | 2003 | 12 | 31 |
| 42411 | 1 | TRUE | 0 | 2004 | 1 | 1 |
| 42411 | -1 | TRUE | 1 | 2004 | 1 | 31 |
| 42411 | 1 | TRUE | 0 | 2004 | 2 | 2 |
| 42411 | -1 | FALSE | 0 | 2004 | 2 | 28 |
| 42411 | 1 | FALSE | 0 | 2004 | 3 | 1 |
| 42411 | -1 | TRUE | 0 | 2004 | 3 | 31 |
| 42411 | 1 | TRUE | 1 | 2004 | 4 | 5 |
| 42411 | -1 | TRUE | 0 | 2004 | 4 | 30 |
| 42411 | 1 | TRUE | 0 | 2004 | 5 | 1 |
| 42411 | -1 | FALSE | 0 | 2004 | 5 | 31 |
| 42411 | 1 | FALSE | 0 | 2004 | 6 | 1 |
| 42411 | -1 | FALSE | 0 | 2004 | 6 | 30 |
| 42411 | 1 | FALSE | 0 | 2004 | 7 | 1 |
| 42411 | -1 | FALSE | 0 | 2004 | 7 | 31 |
| 42411 | 1 | FALSE | 0 | 2004 | 8 | 2 |
| 42411 | -1 | TRUE | 0 | 2004 | 8 | 31 |
| 42411 | 1 | TRUE | 1 | 2004 | 9 | 1 |
| 42411 | -1 | TRUE | 1 | 2004 | 9 | 30 |
| 42411 | 1 | TRUE | 1 | 2004 | 10 | 1 |
| 42411 | -1 | TRUE | 0 | 2004 | 10 | 30 |
| 42411 | 1 | TRUE | 1 | 2004 | 11 | 1 |
| 42411 | -1 | TRUE | 0 | 2004 | 11 | 30 |
| 42411 | 1 | TRUE | 1 | 2004 | 12 | 1 |
| 42411 | -1 | TRUE | 0 | 2004 | 12 | 31 |
| 42411 | 1 | TRUE | 0 | 2005 | 1 | 1 |
| 42411 | -1 | TRUE | 1 | 2005 | 1 | 31 |
| 42411 | 1 | TRUE | 1 | 2005 | 2 | 1 |
| 42411 | -1 | TRUE | 0 | 2005 | 2 | 28 |
| 42411 | 1 | TRUE | 0 | 2005 | 3 | 1 |
| 42411 | -1 | TRUE | 1 | 2005 | 3 | 31 |
| 42411 | 1 | TRUE | 0 | 2005 | 4 | 1 |
| 42411 | -1 | TRUE | 0 | 2005 | 4 | 30 |
| 42411 | 1 | TRUE | 0 | 2005 | 5 | 1 |
| 42411 | -1 | FALSE | 1 | 2005 | 5 | 29 |
| 42411 | 1 | FALSE | 0 | 2005 | 6 | 1 |
| 42411 | -1 | TRUE | 1 | 2005 | 6 | 30 |
| 42411 | 1 | TRUE | 1 | 2005 | 7 | 1 |
| 42411 | -1 | TRUE | 0 | 2005 | 7 | 31 |
| 42411 | 1 | TRUE | 0 | 2005 | 8 | 1 |
| 42411 | -1 | TRUE | 0 | 2005 | 8 | 28 |
| 42411 | 1 | TRUE | 1 | 2005 | 9 | 1 |
| 42411 | -1 | TRUE | 0 | 2005 | 9 | 30 |
| 42411 | 1 | TRUE | 0 | 2005 | 10 | 1 |
| 42411 | -1 | FALSE | 0 | 2005 | 10 | 31 |
| 42411 | 1 | FALSE | 0 | 2005 | 11 | 4 |
| 42411 | -1 | FALSE | 0 | 2005 | 11 | 30 |
| 42411 | 1 | FALSE | 0 | 2005 | 12 | 1 |
| 42411 | -1 | TRUE | 0 | 2005 | 12 | 31 |
| 42511 | 1 | TRUE | 0 | 2003 | 10 | 1 |
| 42511 | -1 | FALSE | 0 | 2003 | 10 | 31 |
| 42511 | 1 | FALSE | 0 | 2003 | 11 | 1 |
| 42511 | -1 | FALSE | 1 | 2003 | 11 | 29 |
| 42511 | 1 | FALSE | 1 | 2003 | 12 | 2 |
| 42511 | -1 | TRUE | 1 | 2003 | 12 | 31 |
| 42511 | 1 | TRUE | 1 | 2004 | 1 | 1 |
| 42511 | -1 | TRUE | 1 | 2004 | 1 | 31 |
| 42511 | 1 | TRUE | 1 | 2004 | 2 | 2 |
| 42511 | -1 | TRUE | 1 | 2004 | 2 | 28 |
| 42511 | 1 | TRUE | 1 | 2004 | 3 | 1 |
| 42511 | -1 | TRUE | 0 | 2004 | 3 | 31 |
| 42511 | 1 | TRUE | 1 | 2004 | 4 | 7 |
| 42511 | -1 | TRUE | 0 | 2004 | 4 | 30 |
| 42511 | 1 | TRUE | 1 | 2004 | 5 | 1 |
| 42511 | -1 | TRUE | 1 | 2004 | 5 | 31 |
| 42511 | 1 | TRUE | 1 | 2004 | 6 | 1 |
| 42511 | -1 | TRUE | 1 | 2004 | 6 | 30 |
| 42511 | 1 | TRUE | 1 | 2004 | 7 | 1 |
| 42511 | -1 | TRUE | 1 | 2004 | 7 | 31 |
| 42511 | 1 | TRUE | 0 | 2004 | 8 | 2 |
| 42511 | -1 | TRUE | 0 | 2004 | 8 | 31 |
| 42511 | 1 | TRUE | 1 | 2004 | 9 | 1 |
| 42511 | -1 | TRUE | 1 | 2004 | 9 | 30 |
| 42511 | 1 | TRUE | 1 | 2004 | 10 | 1 |
| 42511 | -1 | TRUE | 1 | 2004 | 10 | 30 |
| 42511 | 1 | TRUE | 1 | 2004 | 11 | 1 |
| 42511 | -1 | TRUE | 1 | 2004 | 11 | 30 |
| 42511 | 1 | TRUE | 1 | 2004 | 12 | 1 |
| 42511 | -1 | TRUE | 0 | 2004 | 12 | 31 |
| 42511 | 1 | TRUE | 1 | 2005 | 1 | 1 |
| 42511 | -1 | TRUE | 0 | 2005 | 1 | 30 |
| 42511 | 1 | TRUE | 1 | 2005 | 2 | 1 |
| 42511 | -1 | TRUE | 1 | 2005 | 2 | 28 |
| 42511 | 1 | TRUE | 1 | 2005 | 3 | 1 |
| 42511 | -1 | TRUE | 1 | 2005 | 3 | 31 |
| 42511 | 1 | TRUE | 0 | 2005 | 4 | 1 |
| 42511 | -1 | TRUE | 1 | 2005 | 4 | 30 |
| 42511 | 1 | TRUE | 0 | 2005 | 5 | 1 |
| 42511 | -1 | TRUE | 0 | 2005 | 5 | 29 |
| 42511 | 1 | TRUE | 0 | 2005 | 6 | 1 |
| 42511 | -1 | TRUE | 0 | 2005 | 6 | 30 |
| 42511 | 1 | TRUE | 0 | 2005 | 7 | 1 |
| 42511 | -1 | TRUE | 0 | 2005 | 7 | 31 |
| 42511 | 1 | TRUE | 0 | 2005 | 8 | 1 |
| 42511 | -1 | TRUE | 0 | 2005 | 8 | 28 |
| 42511 | 1 | TRUE | 1 | 2005 | 9 | 1 |
| 42511 | -1 | TRUE | 1 | 2005 | 9 | 30 |
| 42511 | 1 | TRUE | 1 | 2005 | 10 | 1 |
| 42511 | -1 | TRUE | 0 | 2005 | 10 | 31 |
| 42511 | 1 | TRUE | 0 | 2005 | 11 | 4 |
| 42511 | -1 | TRUE | 0 | 2005 | 11 | 27 |
| 42511 | 1 | TRUE | 1 | 2005 | 12 | 1 |
| 42511 | -1 | TRUE | 0 | 2005 | 12 | 31 |
| 42521 | 1 | TRUE | 0 | 2003 | 10 | 1 |
| 42521 | -1 | FALSE | 0 | 2003 | 10 | 31 |
| 42521 | 1 | FALSE | 1 | 2003 | 11 | 1 |
| 42521 | -1 | TRUE | 0 | 2003 | 11 | 29 |
| 42521 | 1 | TRUE | 0 | 2003 | 12 | 2 |
| 42521 | -1 | TRUE | 1 | 2003 | 12 | 31 |
| 42521 | 1 | TRUE | 1 | 2004 | 1 | 1 |
| 42521 | -1 | TRUE | 1 | 2004 | 1 | 31 |
| 42521 | 1 | TRUE | 1 | 2004 | 2 | 2 |
| 42521 | -1 | TRUE | 1 | 2004 | 2 | 28 |
| 42521 | 1 | TRUE | 1 | 2004 | 3 | 1 |
| 42521 | -1 | TRUE | 0 | 2004 | 3 | 31 |
| 42521 | 1 | TRUE | 1 | 2004 | 4 | 7 |
| 42521 | -1 | TRUE | 1 | 2004 | 4 | 30 |
| 42521 | 1 | TRUE | 1 | 2004 | 5 | 1 |
| 42521 | -1 | TRUE | 1 | 2004 | 5 | 31 |
| 42521 | 1 | TRUE | 1 | 2004 | 6 | 1 |
| 42521 | -1 | TRUE | 1 | 2004 | 6 | 30 |
| 42521 | 1 | TRUE | 1 | 2004 | 7 | 1 |
| 42521 | -1 | TRUE | 1 | 2004 | 7 | 31 |
| 42521 | 1 | TRUE | 1 | 2004 | 8 | 2 |
| 42521 | -1 | TRUE | 1 | 2004 | 8 | 31 |
| 42521 | 1 | TRUE | 0 | 2004 | 9 | 1 |
| 42521 | -1 | TRUE | 1 | 2004 | 9 | 30 |
| 42521 | 1 | TRUE | 1 | 2004 | 10 | 1 |
| 42521 | -1 | TRUE | 1 | 2004 | 10 | 30 |
| 42521 | 1 | TRUE | 1 | 2004 | 11 | 1 |
| 42521 | -1 | FALSE | 0 | 2004 | 11 | 30 |
| 42521 | 1 | FALSE | 1 | 2004 | 12 | 1 |
| 42521 | -1 | TRUE | 1 | 2004 | 12 | 31 |
| 42521 | 1 | TRUE | 1 | 2005 | 1 | 1 |
| 42521 | -1 | TRUE | 0 | 2005 | 1 | 30 |
| 42521 | 1 | TRUE | 1 | 2005 | 2 | 1 |
| 42521 | -1 | TRUE | 1 | 2005 | 2 | 28 |
| 42521 | 1 | TRUE | 1 | 2005 | 3 | 1 |
| 42521 | -1 | TRUE | 1 | 2005 | 3 | 31 |
| 42521 | 1 | TRUE | 0 | 2005 | 4 | 1 |
| 42521 | -1 | TRUE | 1 | 2005 | 4 | 30 |
| 42521 | 1 | TRUE | 0 | 2005 | 5 | 1 |
| 42521 | -1 | TRUE | 0 | 2005 | 5 | 29 |
| 42521 | 1 | TRUE | 0 | 2005 | 6 | 1 |
| 42521 | -1 | TRUE | 0 | 2005 | 6 | 30 |
| 42521 | 1 | TRUE | 1 | 2005 | 7 | 1 |
| 42521 | -1 | TRUE | 0 | 2005 | 7 | 31 |
| 42521 | 1 | TRUE | 0 | 2005 | 8 | 1 |
| 42521 | -1 | TRUE | 0 | 2005 | 8 | 28 |
| 42521 | 1 | TRUE | 0 | 2005 | 9 | 1 |
| 42521 | -1 | TRUE | 1 | 2005 | 9 | 30 |
| 42521 | 1 | TRUE | 1 | 2005 | 10 | 1 |
| 42521 | -1 | TRUE | 0 | 2005 | 10 | 31 |
| 42521 | 1 | TRUE | 1 | 2005 | 11 | 4 |
| 42521 | -1 | TRUE | 1 | 2005 | 11 | 28 |
| 42521 | 1 | TRUE | 1 | 2005 | 12 | 1 |
| 42521 | -1 | TRUE | 1 | 2005 | 12 | 31 |
| 42531 | 1 | TRUE | 1 | 2003 | 10 | 1 |
| 42531 | -1 | TRUE | 1 | 2003 | 10 | 31 |
| 42531 | 1 | TRUE | 1 | 2003 | 11 | 1 |
| 42531 | -1 | TRUE | 0 | 2003 | 11 | 29 |
| 42531 | 1 | TRUE | 1 | 2003 | 12 | 1 |
| 42531 | -1 | TRUE | 0 | 2003 | 12 | 31 |
| 42531 | 1 | TRUE | 0 | 2004 | 1 | 1 |
| 42531 | -1 | TRUE | 1 | 2004 | 1 | 31 |
| 42531 | 1 | TRUE | 1 | 2004 | 2 | 2 |
| 42531 | -1 | TRUE | 1 | 2004 | 2 | 28 |
| 42531 | 1 | TRUE | 1 | 2004 | 3 | 1 |
| 42531 | -1 | TRUE | 0 | 2004 | 3 | 31 |
| 42531 | 1 | TRUE | 1 | 2004 | 4 | 7 |
| 42531 | -1 | TRUE | 0 | 2004 | 4 | 30 |
| 42531 | 1 | TRUE | 1 | 2004 | 5 | 1 |
| 42531 | -1 | TRUE | 1 | 2004 | 5 | 31 |
| 42531 | 1 | TRUE | 1 | 2004 | 6 | 1 |
| 42531 | -1 | TRUE | 1 | 2004 | 6 | 30 |
| 42531 | 1 | TRUE | 0 | 2004 | 7 | 1 |
| 42531 | -1 | TRUE | 0 | 2004 | 7 | 31 |
| 42531 | 1 | TRUE | 0 | 2004 | 8 | 14 |
| 42531 | -1 | TRUE | 0 | 2004 | 8 | 31 |
| 42531 | 1 | TRUE | 1 | 2004 | 9 | 1 |
| 42531 | -1 | TRUE | 1 | 2004 | 9 | 30 |
| 42531 | 1 | TRUE | 1 | 2004 | 10 | 1 |
| 42531 | -1 | TRUE | 1 | 2004 | 10 | 30 |
| 42531 | 1 | TRUE | 1 | 2004 | 11 | 1 |
| 42531 | -1 | TRUE | 1 | 2004 | 11 | 30 |
| 42531 | 1 | TRUE | 1 | 2004 | 12 | 1 |
| 42531 | -1 | TRUE | 1 | 2004 | 12 | 31 |
| 42531 | 1 | TRUE | 1 | 2005 | 1 | 1 |
| 42531 | -1 | TRUE | 0 | 2005 | 1 | 30 |
| 42531 | 1 | TRUE | 1 | 2005 | 2 | 1 |
| 42531 | -1 | TRUE | 1 | 2005 | 2 | 28 |
| 42531 | 1 | TRUE | 0 | 2005 | 3 | 1 |
| 42531 | -1 | TRUE | 1 | 2005 | 3 | 31 |
| 42531 | 1 | TRUE | 0 | 2005 | 4 | 1 |
| 42531 | -1 | TRUE | 0 | 2005 | 4 | 30 |
| 42531 | 1 | TRUE | 0 | 2005 | 5 | 1 |
| 42531 | -1 | TRUE | 0 | 2005 | 5 | 29 |
| 42531 | 1 | TRUE | 0 | 2005 | 6 | 1 |
| 42531 | -1 | TRUE | 1 | 2005 | 6 | 30 |
| 42531 | 1 | TRUE | 1 | 2005 | 7 | 1 |
| 42531 | -1 | TRUE | 0 | 2005 | 7 | 31 |
| 42531 | 1 | TRUE | 1 | 2005 | 8 | 1 |
| 42531 | -1 | TRUE | 1 | 2005 | 8 | 29 |
| 42531 | 1 | TRUE | 1 | 2005 | 9 | 1 |
| 42531 | -1 | TRUE | 1 | 2005 | 9 | 30 |
| 42531 | 1 | TRUE | 1 | 2005 | 10 | 1 |
| 42531 | -1 | FALSE | 0 | 2005 | 10 | 31 |
| 42531 | 1 | FALSE | 1 | 2005 | 11 | 4 |
| 42531 | -1 | TRUE | 1 | 2005 | 11 | 28 |
| 42531 | 1 | TRUE | 0 | 2005 | 12 | 1 |
| 42531 | -1 | TRUE | 1 | 2005 | 12 | 31 |
| 43111 | 1 | TRUE | 0 | 2003 | 10 | 1 |
| 43111 | -1 | TRUE | 1 | 2003 | 10 | 31 |
| 43111 | 1 | TRUE | 1 | 2003 | 11 | 1 |
| 43111 | -1 | TRUE | 1 | 2003 | 11 | 29 |
| 43111 | 1 | TRUE | 1 | 2003 | 12 | 3 |
| 43111 | -1 | TRUE | 1 | 2003 | 12 | 31 |
| 43111 | 1 | TRUE | 1 | 2004 | 1 | 1 |
| 43111 | -1 | TRUE | 1 | 2004 | 1 | 31 |
| 43111 | 1 | TRUE | 0 | 2004 | 2 | 3 |
| 43111 | -1 | TRUE | 0 | 2004 | 2 | 28 |
| 43111 | 1 | TRUE | 0 | 2004 | 3 | 1 |
| 43111 | -1 | TRUE | 0 | 2004 | 3 | 31 |
| 43111 | 1 | TRUE | 1 | 2004 | 4 | 3 |
| 43111 | -1 | TRUE | 1 | 2004 | 4 | 30 |
| 43111 | 1 | TRUE | 1 | 2004 | 5 | 1 |
| 43111 | -1 | TRUE | 1 | 2004 | 5 | 31 |
| 43111 | 1 | TRUE | 1 | 2004 | 6 | 1 |
| 43111 | -1 | TRUE | 1 | 2004 | 6 | 30 |
| 43111 | 1 | TRUE | 1 | 2004 | 7 | 1 |
| 43111 | -1 | TRUE | 1 | 2004 | 7 | 31 |
| 43111 | 1 | TRUE | 0 | 2004 | 8 | 2 |
| 43111 | -1 | TRUE | 0 | 2004 | 8 | 31 |
| 43111 | 1 | TRUE | 0 | 2004 | 9 | 1 |
| 43111 | -1 | TRUE | 1 | 2004 | 9 | 30 |
| 43111 | 1 | TRUE | 1 | 2004 | 10 | 1 |
| 43111 | -1 | TRUE | 1 | 2004 | 10 | 30 |
| 43111 | 1 | TRUE | 1 | 2004 | 11 | 1 |
| 43111 | -1 | TRUE | 1 | 2004 | 11 | 30 |
| 43111 | 1 | TRUE | 1 | 2004 | 12 | 1 |
| 43111 | -1 | TRUE | 1 | 2004 | 12 | 31 |
| 43111 | 1 | TRUE | 1 | 2005 | 1 | 1 |
| 43111 | -1 | TRUE | 0 | 2005 | 1 | 30 |
| 43111 | 1 | TRUE | 1 | 2005 | 2 | 1 |
| 43111 | -1 | TRUE | 1 | 2005 | 2 | 28 |
| 43111 | 1 | TRUE | 1 | 2005 | 3 | 1 |
| 43111 | -1 | TRUE | 1 | 2005 | 3 | 31 |
| 43111 | 1 | TRUE | 0 | 2005 | 4 | 1 |
| 43111 | -1 | TRUE | 1 | 2005 | 4 | 30 |
| 43111 | 1 | TRUE | 0 | 2005 | 5 | 1 |
| 43111 | -1 | TRUE | 1 | 2005 | 5 | 31 |
| 43111 | 1 | TRUE | 0 | 2005 | 6 | 1 |
| 43111 | -1 | TRUE | 1 | 2005 | 6 | 30 |
| 43111 | 1 | TRUE | 1 | 2005 | 7 | 1 |
| 43111 | -1 | TRUE | 0 | 2005 | 7 | 31 |
| 43111 | 1 | TRUE | 1 | 2005 | 8 | 1 |
| 43111 | -1 | TRUE | 1 | 2005 | 8 | 29 |
| 43111 | 1 | TRUE | 1 | 2005 | 9 | 1 |
| 43111 | -1 | TRUE | 1 | 2005 | 9 | 30 |
| 43111 | 1 | TRUE | 1 | 2005 | 10 | 1 |
| 43111 | -1 | TRUE | 0 | 2005 | 10 | 31 |
| 43111 | 1 | TRUE | 1 | 2005 | 11 | 4 |
| 43111 | -1 | TRUE | 1 | 2005 | 11 | 28 |
| 43111 | 1 | TRUE | 1 | 2005 | 12 | 1 |
| 43111 | -1 | TRUE | 1 | 2005 | 12 | 31 |
| 43121 | 1 | TRUE | 1 | 2003 | 10 | 1 |
| 43121 | -1 | TRUE | 0 | 2003 | 10 | 31 |
| 43121 | 1 | TRUE | 0 | 2003 | 11 | 1 |
| 43121 | -1 | TRUE | 1 | 2003 | 11 | 29 |
| 43121 | 1 | TRUE | 1 | 2003 | 12 | 1 |
| 43121 | -1 | TRUE | 1 | 2003 | 12 | 31 |
| 43121 | 1 | TRUE | 0 | 2004 | 1 | 1 |
| 43121 | -1 | TRUE | 0 | 2004 | 1 | 31 |
| 43121 | 1 | TRUE | 1 | 2004 | 2 | 3 |
| 43121 | -1 | TRUE | 1 | 2004 | 2 | 28 |
| 43121 | 1 | TRUE | 0 | 2004 | 3 | 1 |
| 43121 | -1 | TRUE | 0 | 2004 | 3 | 31 |
| 43121 | 1 | TRUE | 0 | 2004 | 4 | 3 |
| 43121 | -1 | TRUE | 1 | 2004 | 4 | 30 |
| 43121 | 1 | TRUE | 0 | 2004 | 5 | 1 |
| 43121 | -1 | TRUE | 0 | 2004 | 5 | 31 |
| 43122 | 1 | TRUE | 0 | 2005 | 4 | 1 |
| 43122 | -1 | FALSE | 1 | 2005 | 4 | 30 |
| 43122 | 1 | FALSE | 0 | 2005 | 5 | 1 |
| 43122 | -1 | TRUE | 0 | 2005 | 5 | 31 |
| 43122 | 1 | TRUE | 0 | 2005 | 6 | 1 |
| 43122 | -1 | TRUE | 0 | 2005 | 6 | 30 |
| 43122 | 1 | TRUE | 0 | 2005 | 7 | 1 |
| 43122 | -1 | TRUE | 0 | 2005 | 7 | 31 |
| 43122 | 1 | TRUE | 0 | 2005 | 8 | 1 |
| 43122 | -1 | TRUE | 0 | 2005 | 8 | 28 |
| 43122 | 1 | TRUE | 1 | 2005 | 9 | 1 |
| 43122 | -1 | TRUE | 0 | 2005 | 9 | 30 |
| 43122 | 1 | TRUE | 0 | 2005 | 10 | 1 |
| 43122 | -1 | FALSE | 1 | 2005 | 10 | 31 |
| 43122 | 1 | FALSE | 1 | 2005 | 11 | 4 |
| 43122 | -1 | FALSE | 0 | 2005 | 11 | 30 |
| 43122 | 1 | FALSE | 0 | 2005 | 12 | 1 |
| 43122 | -1 | FALSE | 0 | 2005 | 12 | 31 |
| 45111 | 1 | FALSE | 1 | 2003 | 10 | 2 |
| 45111 | -1 | TRUE | 1 | 2003 | 10 | 31 |
| 45111 | 1 | TRUE | 1 | 2003 | 11 | 3 |
| 45111 | -1 | TRUE | 0 | 2003 | 11 | 29 |
| 45111 | 1 | TRUE | 1 | 2003 | 12 | 2 |
| 45111 | -1 | TRUE | 1 | 2003 | 12 | 31 |
| 45111 | 1 | TRUE | 1 | 2004 | 1 | 2 |
| 45111 | -1 | TRUE | 1 | 2004 | 1 | 31 |
| 45111 | 1 | TRUE | 1 | 2004 | 2 | 2 |
| 45111 | -1 | TRUE | 1 | 2004 | 2 | 28 |
| 45111 | 1 | TRUE | 1 | 2004 | 3 | 2 |
| 45111 | -1 | TRUE | 0 | 2004 | 3 | 31 |
| 45111 | 1 | TRUE | 1 | 2004 | 4 | 2 |
| 45111 | -1 | TRUE | 1 | 2004 | 4 | 30 |
| 45111 | 1 | TRUE | 1 | 2004 | 5 | 3 |
| 45111 | -1 | TRUE | 1 | 2004 | 5 | 31 |
| 45111 | 1 | TRUE | 1 | 2004 | 6 | 2 |
| 45111 | -1 | TRUE | 1 | 2004 | 6 | 30 |
| 45111 | 1 | TRUE | 1 | 2004 | 7 | 2 |
| 45111 | -1 | TRUE | 1 | 2004 | 7 | 31 |
| 45111 | 1 | TRUE | 0 | 2004 | 8 | 2 |
| 45111 | -1 | TRUE | 1 | 2004 | 8 | 31 |
| 45111 | 1 | TRUE | 1 | 2004 | 9 | 2 |
| 45111 | -1 | TRUE | 1 | 2004 | 9 | 30 |
| 45111 | 1 | TRUE | 1 | 2004 | 10 | 1 |
| 45111 | -1 | TRUE | 0 | 2004 | 10 | 30 |
| 45111 | 1 | TRUE | 1 | 2004 | 11 | 2 |
| 45111 | -1 | TRUE | 1 | 2004 | 11 | 30 |
| 45111 | 1 | TRUE | 1 | 2004 | 12 | 2 |
| 45111 | -1 | TRUE | 1 | 2004 | 12 | 31 |
| 45111 | 1 | TRUE | 0 | 2005 | 1 | 2 |
| 45111 | -1 | TRUE | 0 | 2005 | 1 | 30 |
| 45111 | 1 | TRUE | 1 | 2005 | 2 | 1 |
| 45111 | -1 | TRUE | 1 | 2005 | 2 | 28 |
| 45111 | 1 | TRUE | 1 | 2005 | 3 | 2 |
| 45111 | -1 | TRUE | 1 | 2005 | 3 | 31 |
| 45111 | 1 | TRUE | 1 | 2005 | 4 | 2 |
| 45111 | -1 | TRUE | 0 | 2005 | 4 | 30 |
| 45111 | 1 | TRUE | 0 | 2005 | 5 | 1 |
| 45111 | -1 | TRUE | 0 | 2005 | 5 | 29 |
| 45111 | 1 | TRUE | 1 | 2005 | 6 | 2 |
| 45111 | -1 | TRUE | 1 | 2005 | 6 | 30 |
| 45111 | 1 | TRUE | 1 | 2005 | 7 | 2 |
| 45111 | -1 | TRUE | 0 | 2005 | 7 | 31 |
| 45111 | 1 | TRUE | 0 | 2005 | 8 | 2 |
| 45111 | -1 | TRUE | 1 | 2005 | 8 | 29 |
| 45111 | 1 | TRUE | 1 | 2005 | 9 | 2 |
| 45111 | -1 | TRUE | 1 | 2005 | 9 | 30 |
| 45111 | 1 | TRUE | 0 | 2005 | 10 | 2 |
| 45111 | -1 | FALSE | 0 | 2005 | 10 | 31 |
| 45111 | 1 | FALSE | 1 | 2005 | 11 | 3 |
| 45111 | -1 | TRUE | 0 | 2005 | 11 | 27 |
| 45111 | 1 | TRUE | 0 | 2005 | 12 | 2 |
| 45111 | -1 | TRUE | 1 | 2005 | 12 | 31 |
| 45121 | 1 | TRUE | 1 | 2003 | 10 | 2 |
| 45121 | -1 | TRUE | 1 | 2003 | 10 | 31 |
| 45121 | 1 | TRUE | 1 | 2003 | 11 | 3 |
| 45121 | -1 | TRUE | 0 | 2003 | 11 | 29 |
| 45121 | 1 | TRUE | 1 | 2003 | 12 | 2 |
| 45121 | -1 | TRUE | 1 | 2003 | 12 | 31 |
| 45121 | 1 | TRUE | 1 | 2004 | 1 | 2 |
| 45121 | -1 | TRUE | 1 | 2004 | 1 | 31 |
| 45121 | 1 | TRUE | 0 | 2004 | 2 | 2 |
| 45121 | -1 | TRUE | 1 | 2004 | 2 | 28 |
| 45121 | 1 | TRUE | 1 | 2004 | 3 | 2 |
| 45121 | -1 | TRUE | 0 | 2004 | 3 | 31 |
| 45121 | 1 | TRUE | 1 | 2004 | 4 | 2 |
| 45121 | -1 | TRUE | 1 | 2004 | 4 | 30 |
| 45121 | 1 | TRUE | 1 | 2004 | 5 | 3 |
| 45121 | -1 | TRUE | 1 | 2004 | 5 | 31 |
| 45121 | 1 | TRUE | 1 | 2004 | 6 | 2 |
| 45121 | -1 | TRUE | 1 | 2004 | 6 | 30 |
| 45121 | 1 | TRUE | 0 | 2004 | 7 | 1 |
| 45121 | -1 | TRUE | 1 | 2004 | 7 | 31 |
| 45121 | 1 | TRUE | 1 | 2004 | 8 | 14 |
| 45121 | -1 | TRUE | 1 | 2004 | 8 | 31 |
| 45121 | 1 | TRUE | 1 | 2004 | 9 | 2 |
| 45121 | -1 | TRUE | 1 | 2004 | 9 | 30 |
| 45121 | 1 | TRUE | 1 | 2004 | 10 | 4 |
| 45121 | -1 | TRUE | 1 | 2004 | 10 | 30 |
| 45121 | 1 | TRUE | 1 | 2004 | 11 | 2 |
| 45121 | -1 | TRUE | 1 | 2004 | 11 | 30 |
| 45121 | 1 | TRUE | 0 | 2004 | 12 | 1 |
| 45121 | -1 | TRUE | 1 | 2004 | 12 | 31 |
| 45121 | 1 | TRUE | 0 | 2005 | 1 | 2 |
| 45121 | -1 | TRUE | 0 | 2005 | 1 | 30 |
| 45121 | 1 | TRUE | 1 | 2005 | 2 | 1 |
| 45121 | -1 | TRUE | 1 | 2005 | 2 | 28 |
| 45121 | 1 | TRUE | 1 | 2005 | 3 | 2 |
| 45121 | -1 | TRUE | 1 | 2005 | 3 | 31 |
| 45121 | 1 | TRUE | 1 | 2005 | 4 | 2 |
| 45121 | -1 | TRUE | 1 | 2005 | 4 | 30 |
| 45121 | 1 | TRUE | 0 | 2005 | 5 | 1 |
| 45121 | -1 | TRUE | 0 | 2005 | 5 | 31 |
| 45121 | 1 | TRUE | 1 | 2005 | 6 | 2 |
| 45121 | -1 | TRUE | 1 | 2005 | 6 | 30 |
| 45121 | 1 | TRUE | 0 | 2005 | 7 | 2 |
| 45121 | -1 | FALSE | 0 | 2005 | 7 | 31 |
| 45121 | 1 | FALSE | 0 | 2005 | 8 | 2 |
| 45121 | -1 | TRUE | 1 | 2005 | 8 | 29 |
| 45121 | 1 | TRUE | 1 | 2005 | 9 | 2 |
| 45121 | -1 | TRUE | 1 | 2005 | 9 | 30 |
| 45121 | 1 | TRUE | 1 | 2005 | 10 | 1 |
| 45121 | -1 | TRUE | 0 | 2005 | 10 | 31 |
| 45121 | 1 | TRUE | 1 | 2005 | 11 | 4 |
| 45121 | -1 | TRUE | 1 | 2005 | 11 | 28 |
| 45121 | 1 | TRUE | 1 | 2005 | 12 | 2 |
| 45121 | -1 | TRUE | 1 | 2005 | 12 | 31 |
| 45131 | 1 | TRUE | 1 | 2003 | 10 | 2 |
| 45131 | -1 | TRUE | 1 | 2003 | 10 | 31 |
| 45131 | 1 | TRUE | 1 | 2003 | 11 | 3 |
| 45131 | -1 | TRUE | 0 | 2003 | 11 | 29 |
| 45131 | 1 | TRUE | 1 | 2003 | 12 | 2 |
| 45131 | -1 | TRUE | 1 | 2003 | 12 | 31 |
| 45131 | 1 | TRUE | 1 | 2004 | 1 | 2 |
| 45131 | -1 | TRUE | 1 | 2004 | 1 | 31 |
| 45131 | 1 | TRUE | 0 | 2004 | 2 | 2 |
| 45131 | -1 | TRUE | 1 | 2004 | 2 | 28 |
| 45131 | 1 | TRUE | 1 | 2004 | 3 | 2 |
| 45131 | -1 | TRUE | 0 | 2004 | 3 | 31 |
| 45131 | 1 | TRUE | 1 | 2004 | 4 | 2 |
| 45131 | -1 | TRUE | 0 | 2004 | 4 | 30 |
| 45131 | 1 | TRUE | 1 | 2004 | 5 | 3 |
| 45131 | -1 | TRUE | 1 | 2004 | 5 | 31 |
| 45131 | 1 | TRUE | 0 | 2004 | 6 | 1 |
| 45131 | -1 | TRUE | 1 | 2004 | 6 | 30 |
| 45131 | 1 | TRUE | 1 | 2004 | 7 | 1 |
| 45131 | -1 | TRUE | 1 | 2004 | 7 | 31 |
| 45131 | 1 | TRUE | 1 | 2004 | 8 | 14 |
| 45131 | -1 | TRUE | 1 | 2004 | 8 | 31 |
| 45131 | 1 | TRUE | 1 | 2004 | 9 | 2 |
| 45131 | -1 | TRUE | 1 | 2004 | 9 | 30 |
| 45131 | 1 | TRUE | 1 | 2004 | 10 | 4 |
| 45131 | -1 | TRUE | 1 | 2004 | 10 | 30 |
| 45131 | 1 | TRUE | 1 | 2004 | 11 | 2 |
| 45131 | -1 | TRUE | 1 | 2004 | 11 | 30 |
| 45131 | 1 | TRUE | 0 | 2004 | 12 | 1 |
| 45131 | -1 | TRUE | 1 | 2004 | 12 | 31 |
| 45131 | 1 | TRUE | 0 | 2005 | 1 | 2 |
| 45131 | -1 | TRUE | 0 | 2005 | 1 | 30 |
| 45131 | 1 | TRUE | 1 | 2005 | 2 | 1 |
| 45131 | -1 | TRUE | 1 | 2005 | 2 | 28 |
| 45131 | 1 | TRUE | 1 | 2005 | 3 | 2 |
| 45131 | -1 | TRUE | 1 | 2005 | 3 | 31 |
| 45131 | 1 | TRUE | 1 | 2005 | 4 | 2 |
| 45131 | -1 | TRUE | 1 | 2005 | 4 | 30 |
| 45131 | 1 | TRUE | 0 | 2005 | 5 | 1 |
| 45131 | -1 | TRUE | 0 | 2005 | 5 | 29 |
| 45131 | 1 | TRUE | 1 | 2005 | 6 | 2 |
| 45131 | -1 | TRUE | 0 | 2005 | 6 | 30 |
| 45131 | 1 | TRUE | 0 | 2005 | 7 | 1 |
| 45131 | -1 | FALSE | 0 | 2005 | 7 | 31 |
| 45131 | 1 | FALSE | 0 | 2005 | 8 | 2 |
| 45131 | -1 | TRUE | 0 | 2005 | 8 | 28 |
| 45131 | 1 | TRUE | 0 | 2005 | 9 | 2 |
| 45131 | -1 | TRUE | 1 | 2005 | 9 | 30 |
| 45131 | 1 | TRUE | 1 | 2005 | 10 | 1 |
| 45131 | -1 | TRUE | 0 | 2005 | 10 | 31 |
| 45131 | 1 | TRUE | 1 | 2005 | 11 | 4 |
| 45131 | -1 | TRUE | 1 | 2005 | 11 | 28 |
| 45131 | 1 | TRUE | 0 | 2005 | 12 | 2 |
| 45131 | -1 | TRUE | 1 | 2005 | 12 | 31 |
| 45141 | 1 | TRUE | 0 | 2003 | 10 | 2 |
| 45141 | -1 | FALSE | 0 | 2003 | 10 | 31 |
| 45141 | 1 | FALSE | 1 | 2003 | 11 | 3 |
| 45141 | -1 | TRUE | 0 | 2003 | 11 | 29 |
| 45141 | 1 | TRUE | 1 | 2003 | 12 | 2 |
| 45141 | -1 | TRUE | 1 | 2003 | 12 | 31 |
| 45141 | 1 | TRUE | 1 | 2004 | 1 | 2 |
| 45141 | -1 | TRUE | 1 | 2004 | 1 | 31 |
| 45141 | 1 | TRUE | 1 | 2004 | 2 | 2 |
| 45141 | -1 | TRUE | 0 | 2004 | 2 | 28 |
| 45141 | 1 | TRUE | 1 | 2004 | 3 | 2 |
| 45141 | -1 | TRUE | 0 | 2004 | 3 | 31 |
| 45141 | 1 | TRUE | 1 | 2004 | 4 | 2 |
| 45141 | -1 | TRUE | 0 | 2004 | 4 | 30 |
| 45141 | 1 | TRUE | 1 | 2004 | 5 | 3 |
| 45141 | -1 | TRUE | 1 | 2004 | 5 | 31 |
| 45141 | 1 | TRUE | 1 | 2004 | 6 | 2 |
| 45141 | -1 | TRUE | 1 | 2004 | 6 | 30 |
| 45141 | 1 | TRUE | 1 | 2004 | 7 | 2 |
| 45141 | -1 | TRUE | 1 | 2004 | 7 | 31 |
| 45141 | 1 | TRUE | 1 | 2004 | 8 | 14 |
| 45141 | -1 | TRUE | 1 | 2004 | 8 | 31 |
| 45141 | 1 | TRUE | 1 | 2004 | 9 | 2 |
| 45141 | -1 | TRUE | 1 | 2004 | 9 | 30 |
| 45141 | 1 | TRUE | 1 | 2004 | 10 | 4 |
| 45141 | -1 | TRUE | 1 | 2004 | 10 | 30 |
| 45141 | 1 | TRUE | 0 | 2004 | 11 | 1 |
| 45141 | -1 | TRUE | 1 | 2004 | 11 | 30 |
| 45141 | 1 | TRUE | 1 | 2004 | 12 | 2 |
| 45141 | -1 | TRUE | 1 | 2004 | 12 | 31 |
| 45141 | 1 | TRUE | 0 | 2005 | 1 | 2 |
| 45141 | -1 | TRUE | 0 | 2005 | 1 | 30 |
| 45141 | 1 | TRUE | 1 | 2005 | 2 | 1 |
| 45141 | -1 | TRUE | 1 | 2005 | 2 | 28 |
| 45141 | 1 | TRUE | 1 | 2005 | 3 | 2 |
| 45141 | -1 | TRUE | 1 | 2005 | 3 | 31 |
| 45141 | 1 | TRUE | 0 | 2005 | 4 | 2 |
| 45141 | -1 | TRUE | 1 | 2005 | 4 | 30 |
| 45141 | 1 | TRUE | 0 | 2005 | 5 | 1 |
| 45141 | -1 | TRUE | 0 | 2005 | 5 | 29 |
| 45141 | 1 | TRUE | 0 | 2005 | 6 | 2 |
| 45141 | -1 | FALSE | 0 | 2005 | 6 | 30 |
| 45141 | 1 | FALSE | 0 | 2005 | 7 | 2 |
| 45141 | -1 | TRUE | 0 | 2005 | 7 | 31 |
| 45141 | 1 | TRUE | 0 | 2005 | 8 | 2 |
| 45141 | -1 | TRUE | 1 | 2005 | 8 | 29 |
| 45141 | 1 | TRUE | 1 | 2005 | 9 | 2 |
| 45141 | -1 | TRUE | 1 | 2005 | 9 | 30 |
| 45141 | 1 | TRUE | 0 | 2005 | 10 | 2 |
| 45141 | -1 | TRUE | 0 | 2005 | 10 | 31 |
| 45141 | 1 | TRUE | 0 | 2005 | 11 | 4 |
| 45141 | -1 | TRUE | 1 | 2005 | 11 | 28 |
| 45141 | 1 | TRUE | 0 | 2005 | 12 | 2 |
| 45141 | -1 | TRUE | 0 | 2005 | 12 | 31 |
| 45411 | 1 | TRUE | 1 | 2003 | 10 | 2 |
| 45411 | -1 | TRUE | 1 | 2003 | 10 | 31 |
| 45411 | 1 | TRUE | 0 | 2003 | 11 | 3 |
| 45411 | -1 | TRUE | 0 | 2003 | 11 | 29 |
| 45411 | 1 | TRUE | 1 | 2003 | 12 | 2 |
| 45411 | -1 | TRUE | 1 | 2003 | 12 | 31 |
| 45411 | 1 | TRUE | 1 | 2004 | 1 | 1 |
| 45411 | -1 | TRUE | 1 | 2004 | 1 | 31 |
| 45411 | 1 | TRUE | 1 | 2004 | 2 | 2 |
| 45411 | -1 | TRUE | 1 | 2004 | 2 | 28 |
| 45411 | 1 | TRUE | 1 | 2004 | 3 | 2 |
| 45411 | -1 | TRUE | 0 | 2004 | 3 | 31 |
| 45411 | 1 | TRUE | 0 | 2004 | 4 | 2 |
| 45411 | -1 | TRUE | 0 | 2004 | 4 | 30 |
| 45411 | 1 | TRUE | 0 | 2004 | 5 | 1 |
| 45411 | -1 | TRUE | 1 | 2004 | 5 | 31 |
| 45411 | 1 | TRUE | 1 | 2004 | 6 | 2 |
| 45411 | -1 | TRUE | 1 | 2004 | 6 | 30 |
| 45411 | 1 | TRUE | 1 | 2004 | 7 | 2 |
| 45411 | -1 | TRUE | 1 | 2004 | 7 | 31 |
| 45411 | 1 | TRUE | 0 | 2004 | 8 | 14 |
| 45411 | -1 | TRUE | 0 | 2004 | 8 | 31 |
| 45411 | 1 | TRUE | 1 | 2004 | 9 | 2 |
| 45411 | -1 | TRUE | 1 | 2004 | 9 | 30 |
| 45411 | 1 | TRUE | 1 | 2004 | 10 | 2 |
| 45411 | -1 | TRUE | 1 | 2004 | 10 | 30 |
| 45411 | 1 | TRUE | 1 | 2004 | 11 | 2 |
| 45411 | -1 | TRUE | 1 | 2004 | 11 | 30 |
| 45411 | 1 | TRUE | 1 | 2004 | 12 | 2 |
| 45411 | -1 | TRUE | 1 | 2004 | 12 | 31 |
| 45411 | 1 | TRUE | 0 | 2005 | 1 | 2 |
| 45411 | -1 | TRUE | 0 | 2005 | 1 | 30 |
| 45411 | 1 | TRUE | 0 | 2005 | 2 | 1 |
| 45411 | -1 | TRUE | 1 | 2005 | 2 | 28 |
| 45411 | 1 | TRUE | 1 | 2005 | 3 | 2 |
| 45411 | -1 | TRUE | 1 | 2005 | 3 | 31 |
| 45411 | 1 | TRUE | 0 | 2005 | 4 | 2 |
| 45411 | -1 | TRUE | 1 | 2005 | 4 | 30 |
| 45411 | 1 | TRUE | 0 | 2005 | 5 | 1 |
| 45411 | -1 | TRUE | 1 | 2005 | 5 | 30 |
| 45411 | 1 | TRUE | 0 | 2005 | 6 | 2 |
| 45411 | -1 | TRUE | 0 | 2005 | 6 | 30 |
| 45411 | 1 | TRUE | 0 | 2005 | 7 | 1 |
| 45411 | -1 | TRUE | 0 | 2005 | 7 | 31 |
| 45411 | 1 | TRUE | 0 | 2005 | 8 | 2 |
| 45411 | -1 | TRUE | 1 | 2005 | 8 | 29 |
| 45411 | 1 | TRUE | 1 | 2005 | 9 | 2 |
| 45411 | -1 | TRUE | 1 | 2005 | 9 | 30 |
| 45411 | 1 | TRUE | 0 | 2005 | 10 | 2 |
| 45411 | -1 | TRUE | 0 | 2005 | 10 | 31 |
| 45411 | 1 | TRUE | 0 | 2005 | 11 | 4 |
| 45411 | -1 | FALSE | 0 | 2005 | 11 | 27 |
| 45411 | 1 | FALSE | 0 | 2005 | 12 | 2 |
| 45411 | -1 | FALSE | 0 | 2005 | 12 | 31 |
| 45511 | 1 | FALSE | 0 | 2003 | 10 | 2 |
| 45511 | -1 | TRUE | 1 | 2003 | 10 | 31 |
| 45511 | 1 | TRUE | 1 | 2003 | 11 | 3 |
| 45511 | -1 | TRUE | 0 | 2003 | 11 | 29 |
| 45511 | 1 | TRUE | 0 | 2003 | 12 | 2 |
| 45511 | -1 | TRUE | 1 | 2003 | 12 | 31 |
| 45511 | 1 | TRUE | 1 | 2004 | 1 | 2 |
| 45511 | -1 | TRUE | 1 | 2004 | 1 | 31 |
| 45511 | 1 | TRUE | 0 | 2004 | 2 | 2 |
| 45511 | -1 | TRUE | 1 | 2004 | 2 | 28 |
| 45511 | 1 | TRUE | 1 | 2004 | 3 | 2 |
| 45511 | -1 | TRUE | 1 | 2004 | 3 | 31 |
| 45511 | 1 | TRUE | 1 | 2004 | 4 | 2 |
| 45511 | -1 | TRUE | 1 | 2004 | 4 | 30 |
| 45511 | 1 | TRUE | 1 | 2004 | 5 | 3 |
| 45511 | -1 | TRUE | 0 | 2004 | 5 | 31 |
| 45511 | 1 | TRUE | 1 | 2004 | 6 | 2 |
| 45511 | -1 | TRUE | 0 | 2004 | 6 | 30 |
| 45511 | 1 | TRUE | 1 | 2004 | 7 | 2 |
| 45511 | -1 | TRUE | 1 | 2004 | 7 | 31 |
| 45511 | 1 | TRUE | 0 | 2004 | 8 | 14 |
| 45511 | -1 | TRUE | 0 | 2004 | 8 | 31 |
| 45511 | 1 | TRUE | 1 | 2004 | 9 | 2 |
| 45511 | -1 | TRUE | 1 | 2004 | 9 | 30 |
| 45511 | 1 | TRUE | 1 | 2004 | 10 | 1 |
| 45511 | -1 | TRUE | 1 | 2004 | 10 | 30 |
| 45511 | 1 | TRUE | 1 | 2004 | 11 | 2 |
| 45511 | -1 | TRUE | 1 | 2004 | 11 | 30 |
| 45511 | 1 | TRUE | 1 | 2004 | 12 | 2 |
| 45511 | -1 | TRUE | 1 | 2004 | 12 | 31 |
| 45511 | 1 | TRUE | 0 | 2005 | 1 | 2 |
| 45511 | -1 | TRUE | 0 | 2005 | 1 | 30 |
| 45511 | 1 | TRUE | 0 | 2005 | 2 | 1 |
| 45511 | -1 | TRUE | 1 | 2005 | 2 | 28 |
| 45511 | 1 | TRUE | 1 | 2005 | 3 | 2 |
| 45511 | -1 | TRUE | 1 | 2005 | 3 | 31 |
| 45511 | 1 | TRUE | 0 | 2005 | 4 | 2 |
| 45511 | -1 | TRUE | 1 | 2005 | 4 | 30 |
| 45511 | 1 | TRUE | 0 | 2005 | 5 | 1 |
| 45511 | -1 | TRUE | 0 | 2005 | 5 | 29 |
| 45511 | 1 | TRUE | 0 | 2005 | 6 | 2 |
| 45511 | -1 | TRUE | 1 | 2005 | 6 | 30 |
| 45511 | 1 | TRUE | 0 | 2005 | 7 | 2 |
| 45511 | -1 | TRUE | 0 | 2005 | 7 | 31 |
| 45511 | 1 | TRUE | 0 | 2005 | 8 | 2 |
| 45511 | -1 | TRUE | 0 | 2005 | 8 | 28 |
| 45511 | 1 | TRUE | 0 | 2005 | 9 | 1 |
| 45511 | -1 | TRUE | 0 | 2005 | 9 | 30 |
| 45511 | 1 | TRUE | 0 | 2005 | 10 | 2 |
| 45511 | -1 | TRUE | 0 | 2005 | 10 | 31 |
| 45511 | 1 | TRUE | 0 | 2005 | 11 | 4 |
| 45511 | -1 | FALSE | 0 | 2005 | 11 | 27 |
| 45511 | 1 | FALSE | 0 | 2005 | 12 | 2 |
| 45511 | -1 | FALSE | 0 | 2005 | 12 | 31 |
| 51211 | 1 | FALSE | 0 | 2003 | 10 | 2 |
| 51211 | -1 | FALSE | 1 | 2003 | 10 | 31 |
| 51211 | 1 | FALSE | 1 | 2003 | 11 | 3 |
| 51211 | -1 | TRUE | 0 | 2003 | 11 | 29 |
| 51211 | 1 | TRUE | 1 | 2003 | 12 | 3 |
| 51211 | -1 | TRUE | 1 | 2003 | 12 | 31 |
| 51211 | 1 | TRUE | 0 | 2004 | 1 | 2 |
| 51211 | -1 | TRUE | 1 | 2004 | 1 | 31 |
| 51211 | 1 | TRUE | 1 | 2004 | 2 | 2 |
| 51211 | -1 | TRUE | 1 | 2004 | 2 | 28 |
| 51211 | 1 | TRUE | 1 | 2004 | 3 | 2 |
| 51211 | -1 | TRUE | 1 | 2004 | 3 | 31 |
| 51211 | 1 | TRUE | 1 | 2004 | 4 | 2 |
| 51211 | -1 | TRUE | 1 | 2004 | 4 | 30 |
| 51211 | 1 | TRUE | 1 | 2004 | 5 | 3 |
| 51211 | -1 | TRUE | 1 | 2004 | 5 | 31 |
| 51211 | 1 | TRUE | 1 | 2004 | 6 | 2 |
| 51211 | -1 | TRUE | 1 | 2004 | 6 | 30 |
| 51211 | 1 | TRUE | 1 | 2004 | 7 | 2 |
| 51211 | -1 | TRUE | 0 | 2004 | 7 | 31 |
| 51211 | 1 | TRUE | 1 | 2004 | 8 | 2 |
| 51211 | -1 | TRUE | 0 | 2004 | 8 | 31 |
| 51211 | 1 | TRUE | 1 | 2004 | 9 | 1 |
| 51211 | -1 | TRUE | 1 | 2004 | 9 | 30 |
| 51211 | 1 | TRUE | 1 | 2004 | 10 | 4 |
| 51211 | -1 | TRUE | 1 | 2004 | 10 | 30 |
| 51211 | 1 | TRUE | 1 | 2004 | 11 | 2 |
| 51211 | -1 | TRUE | 1 | 2004 | 11 | 30 |
| 51211 | 1 | TRUE | 0 | 2004 | 12 | 2 |
| 51211 | -1 | TRUE | 1 | 2004 | 12 | 31 |
| 51211 | 1 | TRUE | 0 | 2005 | 1 | 2 |
| 51211 | -1 | TRUE | 0 | 2005 | 1 | 30 |
| 51211 | 1 | TRUE | 1 | 2005 | 2 | 2 |
| 51211 | -1 | TRUE | 0 | 2005 | 2 | 28 |
| 51211 | 1 | TRUE | 0 | 2005 | 3 | 2 |
| 51211 | -1 | TRUE | 1 | 2005 | 3 | 29 |
| 51211 | 1 | TRUE | 0 | 2005 | 4 | 2 |
| 51211 | -1 | FALSE | 1 | 2005 | 4 | 30 |
| 51211 | 1 | FALSE | 0 | 2005 | 5 | 1 |
| 51211 | -1 | TRUE | 0 | 2005 | 5 | 31 |
| 51211 | 1 | TRUE | 1 | 2005 | 6 | 2 |
| 51211 | -1 | TRUE | 1 | 2005 | 6 | 30 |
| 51211 | 1 | TRUE | 1 | 2005 | 7 | 2 |
| 51211 | -1 | TRUE | 0 | 2005 | 7 | 31 |
| 51211 | 1 | TRUE | 1 | 2005 | 8 | 1 |
| 51211 | -1 | TRUE | 0 | 2005 | 8 | 31 |
| 51211 | 1 | TRUE | 1 | 2005 | 9 | 2 |
| 51211 | -1 | TRUE | 1 | 2005 | 9 | 30 |
| 51211 | 1 | TRUE | 0 | 2005 | 10 | 1 |
| 51211 | -1 | TRUE | 1 | 2005 | 10 | 31 |
| 51211 | 1 | TRUE | 0 | 2005 | 11 | 4 |
| 51211 | -1 | TRUE | 0 | 2005 | 11 | 30 |
| 51211 | 1 | TRUE | 0 | 2005 | 12 | 2 |
| 51211 | -1 | TRUE | 0 | 2005 | 12 | 31 |
| 51221 | 1 | TRUE | 0 | 2003 | 10 | 2 |
| 51221 | -1 | FALSE | 0 | 2003 | 10 | 31 |
| 51221 | 1 | FALSE | 0 | 2003 | 11 | 3 |
| 51221 | -1 | FALSE | 1 | 2003 | 11 | 29 |
| 51221 | 1 | FALSE | 1 | 2003 | 12 | 1 |
| 51221 | -1 | TRUE | 1 | 2003 | 12 | 31 |
| 51221 | 1 | TRUE | 0 | 2004 | 1 | 2 |
| 51221 | -1 | TRUE | 1 | 2004 | 1 | 31 |
| 51221 | 1 | TRUE | 0 | 2004 | 2 | 2 |
| 51221 | -1 | TRUE | 1 | 2004 | 2 | 28 |
| 51221 | 1 | TRUE | 1 | 2004 | 3 | 2 |
| 51221 | -1 | TRUE | 1 | 2004 | 3 | 31 |
| 51221 | 1 | TRUE | 1 | 2004 | 4 | 2 |
| 51221 | -1 | TRUE | 1 | 2004 | 4 | 30 |
| 51221 | 1 | TRUE | 1 | 2004 | 5 | 3 |
| 51221 | -1 | TRUE | 1 | 2004 | 5 | 31 |
| 51221 | 1 | TRUE | 1 | 2004 | 6 | 2 |
| 51221 | -1 | TRUE | 1 | 2004 | 6 | 30 |
| 51221 | 1 | TRUE | 1 | 2004 | 7 | 2 |
| 51221 | -1 | TRUE | 1 | 2004 | 7 | 31 |
| 51221 | 1 | TRUE | 1 | 2004 | 8 | 2 |
| 51221 | -1 | FALSE | 0 | 2004 | 8 | 31 |
| 51221 | 1 | FALSE | 1 | 2004 | 9 | 2 |
| 51221 | -1 | TRUE | 1 | 2004 | 9 | 29 |
| 51221 | 1 | TRUE | 1 | 2004 | 10 | 4 |
| 51221 | -1 | TRUE | 1 | 2004 | 10 | 30 |
| 51221 | 1 | TRUE | 1 | 2004 | 11 | 2 |
| 51221 | -1 | TRUE | 0 | 2004 | 11 | 30 |
| 51221 | 1 | TRUE | 1 | 2004 | 12 | 2 |
| 51221 | -1 | TRUE | 1 | 2004 | 12 | 31 |
| 51221 | 1 | TRUE | 0 | 2005 | 1 | 2 |
| 51221 | -1 | TRUE | 0 | 2005 | 1 | 30 |
| 51221 | 1 | TRUE | 0 | 2005 | 2 | 2 |
| 51221 | -1 | TRUE | 1 | 2005 | 2 | 28 |
| 51221 | 1 | TRUE | 1 | 2005 | 3 | 2 |
| 51221 | -1 | TRUE | 1 | 2005 | 3 | 31 |
| 51221 | 1 | TRUE | 1 | 2005 | 4 | 2 |
| 51221 | -1 | TRUE | 1 | 2005 | 4 | 30 |
| 51221 | 1 | TRUE | 0 | 2005 | 5 | 1 |
| 51221 | -1 | TRUE | 1 | 2005 | 5 | 31 |
| 51221 | 1 | TRUE | 0 | 2005 | 6 | 2 |
| 51221 | -1 | TRUE | 0 | 2005 | 6 | 30 |
| 51221 | 1 | TRUE | 1 | 2005 | 7 | 2 |
| 51221 | -1 | TRUE | 0 | 2005 | 7 | 31 |
| 51221 | 1 | TRUE | 0 | 2005 | 8 | 2 |
| 51221 | -1 | TRUE | 1 | 2005 | 8 | 31 |
| 51221 | 1 | TRUE | 0 | 2005 | 9 | 2 |
| 51221 | -1 | TRUE | 1 | 2005 | 9 | 30 |
| 51221 | 1 | TRUE | 0 | 2005 | 10 | 2 |
| 51221 | -1 | TRUE | 1 | 2005 | 10 | 31 |
| 51221 | 1 | TRUE | 0 | 2005 | 11 | 4 |
| 51221 | -1 | TRUE | 0 | 2005 | 11 | 30 |
| 51221 | 1 | TRUE | 1 | 2005 | 12 | 2 |
| 51221 | -1 | TRUE | 0 | 2005 | 12 | 31 |
| 53111 | 1 | TRUE | 1 | 2003 | 10 | 1 |
| 53111 | -1 | TRUE | 0 | 2003 | 10 | 31 |
| 53111 | 1 | TRUE | 0 | 2003 | 11 | 1 |
| 53111 | -1 | TRUE | 1 | 2003 | 11 | 29 |
| 53111 | 1 | TRUE | 1 | 2003 | 12 | 1 |
| 53111 | -1 | TRUE | 1 | 2003 | 12 | 31 |
| 53111 | 1 | TRUE | 1 | 2004 | 1 | 1 |
| 53111 | -1 | TRUE | 1 | 2004 | 1 | 31 |
| 53111 | 1 | TRUE | 0 | 2004 | 2 | 2 |
| 53111 | -1 | TRUE | 1 | 2004 | 2 | 28 |
| 53111 | 1 | TRUE | 0 | 2004 | 3 | 1 |
| 53111 | -1 | TRUE | 0 | 2004 | 3 | 31 |
| 53111 | 1 | TRUE | 1 | 2004 | 4 | 2 |
| 53111 | -1 | TRUE | 0 | 2004 | 4 | 30 |
| 53111 | 1 | TRUE | 1 | 2004 | 5 | 1 |
| 53111 | -1 | FALSE | 0 | 2004 | 5 | 31 |
| 53111 | 1 | FALSE | 1 | 2004 | 6 | 1 |
| 53111 | -1 | TRUE | 1 | 2004 | 6 | 30 |
| 53111 | 1 | TRUE | 1 | 2004 | 7 | 1 |
| 53111 | -1 | TRUE | 0 | 2004 | 7 | 31 |
| 53111 | 1 | TRUE | 1 | 2004 | 8 | 2 |
| 53111 | -1 | TRUE | 0 | 2004 | 8 | 31 |
| 53111 | 1 | TRUE | 1 | 2004 | 9 | 1 |
| 53111 | -1 | TRUE | 1 | 2004 | 9 | 30 |
| 53111 | 1 | TRUE | 1 | 2004 | 10 | 1 |
| 53111 | -1 | TRUE | 1 | 2004 | 10 | 30 |
| 53111 | 1 | TRUE | 1 | 2004 | 11 | 1 |
| 53111 | -1 | TRUE | 0 | 2004 | 11 | 30 |
| 53111 | 1 | TRUE | 0 | 2004 | 12 | 1 |
| 53111 | -1 | TRUE | 1 | 2004 | 12 | 31 |
| 53111 | 1 | TRUE | 1 | 2005 | 1 | 1 |
| 53111 | -1 | TRUE | 0 | 2005 | 1 | 30 |
| 53111 | 1 | TRUE | 0 | 2005 | 2 | 1 |
| 53111 | -1 | TRUE | 0 | 2005 | 2 | 28 |
| 53111 | 1 | TRUE | 0 | 2005 | 3 | 1 |
| 53111 | -1 | TRUE | 0 | 2005 | 3 | 29 |
| 53111 | 1 | TRUE | 0 | 2005 | 4 | 1 |
| 53111 | -1 | TRUE | 0 | 2005 | 4 | 30 |
| 53111 | 1 | TRUE | 0 | 2005 | 5 | 1 |
| 53111 | -1 | FALSE | 0 | 2005 | 5 | 31 |
| 53111 | 1 | FALSE | 0 | 2005 | 6 | 5 |
| 53111 | -1 | TRUE | 0 | 2005 | 6 | 30 |
| 53111 | 1 | TRUE | 0 | 2005 | 7 | 1 |
| 53111 | -1 | TRUE | 0 | 2005 | 7 | 31 |
| 53111 | 1 | TRUE | 0 | 2005 | 8 | 1 |
| 53111 | -1 | TRUE | 0 | 2005 | 8 | 31 |
| 53111 | 1 | TRUE | 0 | 2005 | 9 | 1 |
| 53111 | -1 | FALSE | 0 | 2005 | 9 | 30 |
| 53111 | 1 | FALSE | 0 | 2005 | 10 | 1 |
| 53111 | -1 | FALSE | 0 | 2005 | 10 | 31 |
| 53111 | 1 | FALSE | 0 | 2005 | 11 | 4 |
| 53111 | -1 | FALSE | 0 | 2005 | 11 | 30 |
| 53111 | 1 | FALSE | 0 | 2005 | 12 | 1 |
| 53111 | -1 | FALSE | 0 | 2005 | 12 | 31 |
| 53311 | 1 | FALSE | 1 | 2003 | 10 | 1 |
| 53311 | -1 | TRUE | 1 | 2003 | 10 | 31 |
| 53311 | 1 | TRUE | 1 | 2003 | 11 | 1 |
| 53311 | -1 | TRUE | 1 | 2003 | 11 | 29 |
| 53311 | 1 | TRUE | 1 | 2003 | 12 | 2 |
| 53311 | -1 | TRUE | 0 | 2003 | 12 | 31 |
| 53311 | 1 | TRUE | 0 | 2004 | 1 | 1 |
| 53311 | -1 | TRUE | 1 | 2004 | 1 | 31 |
| 53311 | 1 | TRUE | 1 | 2004 | 2 | 2 |
| 53311 | -1 | TRUE | 1 | 2004 | 2 | 28 |
| 53311 | 1 | TRUE | 1 | 2004 | 3 | 1 |
| 53311 | -1 | TRUE | 1 | 2004 | 3 | 31 |
| 53311 | 1 | TRUE | 1 | 2004 | 4 | 2 |
| 53311 | -1 | TRUE | 1 | 2004 | 4 | 30 |
| 53311 | 1 | TRUE | 1 | 2004 | 5 | 1 |
| 53311 | -1 | TRUE | 1 | 2004 | 5 | 31 |
| 53311 | 1 | TRUE | 1 | 2004 | 6 | 1 |
| 53311 | -1 | TRUE | 1 | 2004 | 6 | 30 |
| 53311 | 1 | TRUE | 1 | 2004 | 7 | 1 |
| 53311 | -1 | TRUE | 1 | 2004 | 7 | 31 |
| 53311 | 1 | TRUE | 1 | 2004 | 8 | 2 |
| 53311 | -1 | TRUE | 0 | 2004 | 8 | 31 |
| 53311 | 1 | TRUE | 1 | 2004 | 9 | 1 |
| 53311 | -1 | TRUE | 1 | 2004 | 9 | 30 |
| 53311 | 1 | TRUE | 1 | 2004 | 10 | 1 |
| 53311 | -1 | TRUE | 1 | 2004 | 10 | 30 |
| 53311 | 1 | TRUE | 1 | 2004 | 11 | 1 |
| 53311 | -1 | TRUE | 1 | 2004 | 11 | 30 |
| 53311 | 1 | TRUE | 1 | 2004 | 12 | 1 |
| 53311 | -1 | TRUE | 1 | 2004 | 12 | 31 |
| 53311 | 1 | TRUE | 1 | 2005 | 1 | 1 |
| 53311 | -1 | TRUE | 0 | 2005 | 1 | 30 |
| 53311 | 1 | TRUE | 1 | 2005 | 2 | 1 |
| 53311 | -1 | TRUE | 1 | 2005 | 2 | 28 |
| 53311 | 1 | TRUE | 1 | 2005 | 3 | 1 |
| 53311 | -1 | TRUE | 1 | 2005 | 3 | 31 |
| 53311 | 1 | TRUE | 1 | 2005 | 4 | 1 |
| 53311 | -1 | TRUE | 1 | 2005 | 4 | 30 |
| 53311 | 1 | TRUE | 0 | 2005 | 5 | 1 |
| 53311 | -1 | TRUE | 1 | 2005 | 5 | 31 |
| 53311 | 1 | TRUE | 1 | 2005 | 6 | 1 |
| 53311 | -1 | TRUE | 0 | 2005 | 6 | 30 |
| 53311 | 1 | TRUE | 0 | 2005 | 7 | 1 |
| 53311 | -1 | FALSE | 0 | 2005 | 7 | 31 |
| 53311 | 1 | FALSE | 0 | 2005 | 8 | 1 |
| 53311 | -1 | TRUE | 1 | 2005 | 8 | 31 |
| 53311 | 1 | TRUE | 1 | 2005 | 9 | 1 |
| 53311 | -1 | TRUE | 1 | 2005 | 9 | 30 |
| 53311 | 1 | TRUE | 1 | 2005 | 10 | 1 |
| 53311 | -1 | TRUE | 1 | 2005 | 10 | 31 |
| 53311 | 1 | TRUE | 0 | 2005 | 11 | 5 |
| 53311 | -1 | TRUE | 1 | 2005 | 11 | 30 |
| 53311 | 1 | TRUE | 1 | 2005 | 12 | 1 |
| 53311 | -1 | FALSE | 1 | 2005 | 12 | 31 |
| 53411 | 1 | FALSE | 1 | 2003 | 10 | 1 |
| 53411 | -1 | TRUE | 0 | 2003 | 10 | 31 |
| 53411 | 1 | TRUE | 1 | 2003 | 11 | 8 |
| 53411 | -1 | TRUE | 1 | 2003 | 11 | 29 |
| 53411 | 1 | TRUE | 1 | 2003 | 12 | 2 |
| 53411 | -1 | TRUE | 0 | 2003 | 12 | 31 |
| 53411 | 1 | TRUE | 1 | 2004 | 1 | 1 |
| 53411 | -1 | TRUE | 1 | 2004 | 1 | 31 |
| 53411 | 1 | TRUE | 0 | 2004 | 2 | 2 |
| 53411 | -1 | TRUE | 1 | 2004 | 2 | 28 |
| 53411 | 1 | TRUE | 1 | 2004 | 3 | 1 |
| 53411 | -1 | TRUE | 1 | 2004 | 3 | 31 |
| 53411 | 1 | TRUE | 1 | 2004 | 4 | 2 |
| 53411 | -1 | TRUE | 1 | 2004 | 4 | 30 |
| 53411 | 1 | TRUE | 1 | 2004 | 5 | 1 |
| 53411 | -1 | TRUE | 1 | 2004 | 5 | 31 |
| 53411 | 1 | TRUE | 1 | 2004 | 6 | 1 |
| 53411 | -1 | TRUE | 1 | 2004 | 6 | 30 |
| 53411 | 1 | TRUE | 1 | 2004 | 7 | 1 |
| 53411 | -1 | TRUE | 1 | 2004 | 7 | 31 |
| 53411 | 1 | TRUE | 1 | 2004 | 8 | 2 |
| 53411 | -1 | TRUE | 0 | 2004 | 8 | 31 |
| 53411 | 1 | TRUE | 0 | 2004 | 9 | 1 |
| 53411 | -1 | TRUE | 1 | 2004 | 9 | 30 |
| 53411 | 1 | TRUE | 1 | 2004 | 10 | 1 |
| 53411 | -1 | TRUE | 1 | 2004 | 10 | 30 |
| 53411 | 1 | TRUE | 1 | 2004 | 11 | 1 |
| 53411 | -1 | TRUE | 1 | 2004 | 11 | 30 |
| 53411 | 1 | TRUE | 1 | 2004 | 12 | 1 |
| 53411 | -1 | TRUE | 0 | 2004 | 12 | 31 |
| 53411 | 1 | TRUE | 0 | 2005 | 1 | 1 |
| 53411 | -1 | TRUE | 0 | 2005 | 1 | 30 |
| 53411 | 1 | TRUE | 1 | 2005 | 2 | 1 |
| 53411 | -1 | TRUE | 1 | 2005 | 2 | 28 |
| 53411 | 1 | TRUE | 0 | 2005 | 3 | 1 |
| 53411 | -1 | TRUE | 1 | 2005 | 3 | 31 |
| 53411 | 1 | TRUE | 1 | 2005 | 4 | 1 |
| 53411 | -1 | TRUE | 1 | 2005 | 4 | 30 |
| 53411 | 1 | TRUE | 0 | 2005 | 5 | 1 |
| 53411 | -1 | TRUE | 1 | 2005 | 5 | 31 |
| 53411 | 1 | TRUE | 1 | 2005 | 6 | 1 |
| 53411 | -1 | TRUE | 1 | 2005 | 6 | 30 |
| 53411 | 1 | TRUE | 1 | 2005 | 7 | 1 |
| 53411 | -1 | TRUE | 0 | 2005 | 7 | 31 |
| 53411 | 1 | TRUE | 1 | 2005 | 8 | 1 |
| 53411 | -1 | TRUE | 1 | 2005 | 8 | 31 |
| 53411 | 1 | TRUE | 1 | 2005 | 9 | 1 |
| 53411 | -1 | TRUE | 1 | 2005 | 9 | 30 |
| 53411 | 1 | TRUE | 1 | 2005 | 10 | 1 |
| 53411 | -1 | TRUE | 1 | 2005 | 10 | 31 |
| 53411 | 1 | TRUE | 1 | 2005 | 11 | 3 |
| 53411 | -1 | TRUE | 1 | 2005 | 11 | 30 |
| 53411 | 1 | TRUE | 1 | 2005 | 12 | 1 |
| 53411 | -1 | TRUE | 1 | 2005 | 12 | 31 |
| 53611 | 1 | TRUE | 1 | 2003 | 10 | 1 |
| 53611 | -1 | TRUE | 0 | 2003 | 10 | 31 |
| 53611 | 1 | TRUE | 1 | 2003 | 11 | 1 |
| 53611 | -1 | TRUE | 0 | 2003 | 11 | 29 |
| 53621 | 1 | TRUE | 1 | 2003 | 10 | 1 |
| 53621 | -1 | TRUE | 0 | 2003 | 10 | 31 |
| 53621 | 1 | TRUE | 0 | 2003 | 11 | 1 |
| 53621 | -1 | TRUE | 0 | 2003 | 11 | 29 |
| 53621 | 1 | TRUE | 1 | 2003 | 12 | 2 |
| 53621 | -1 | TRUE | 1 | 2003 | 12 | 31 |
| 53621 | 1 | TRUE | 1 | 2004 | 1 | 1 |
| 53621 | -1 | TRUE | 0 | 2004 | 1 | 31 |
| 53621 | 1 | TRUE | 0 | 2004 | 2 | 2 |
| 53621 | -1 | TRUE | 1 | 2004 | 2 | 28 |
| 53621 | 1 | TRUE | 1 | 2004 | 3 | 1 |
| 53621 | -1 | FALSE | 0 | 2004 | 3 | 31 |
| 53621 | 1 | FALSE | 0 | 2004 | 4 | 2 |
| 53621 | -1 | FALSE | 0 | 2004 | 4 | 30 |
| 54111 | 1 | FALSE | 0 | 2003 | 10 | 2 |
| 54111 | -1 | TRUE | 1 | 2003 | 10 | 31 |
| 54111 | 1 | TRUE | 1 | 2003 | 11 | 1 |
| 54111 | -1 | TRUE | 1 | 2003 | 11 | 29 |
| 54111 | 1 | TRUE | 1 | 2003 | 12 | 3 |
| 54111 | -1 | TRUE | 0 | 2003 | 12 | 31 |
| 54111 | 1 | TRUE | 0 | 2004 | 1 | 1 |
| 54111 | -1 | TRUE | 1 | 2004 | 1 | 31 |
| 54111 | 1 | TRUE | 0 | 2004 | 2 | 2 |
| 54111 | -1 | TRUE | 1 | 2004 | 2 | 28 |
| 54111 | 1 | TRUE | 1 | 2004 | 3 | 1 |
| 54111 | -1 | TRUE | 1 | 2004 | 3 | 31 |
| 54111 | 1 | TRUE | 1 | 2004 | 4 | 3 |
| 54111 | -1 | TRUE | 1 | 2004 | 4 | 30 |
| 54111 | 1 | TRUE | 0 | 2004 | 5 | 1 |
| 54111 | -1 | TRUE | 1 | 2004 | 5 | 31 |
| 54111 | 1 | TRUE | 1 | 2004 | 6 | 1 |
| 54111 | -1 | TRUE | 0 | 2004 | 6 | 30 |
| 54111 | 1 | TRUE | 1 | 2004 | 7 | 1 |
| 54111 | -1 | TRUE | 1 | 2004 | 7 | 31 |
| 54111 | 1 | TRUE | 1 | 2004 | 8 | 3 |
| 54111 | -1 | TRUE | 1 | 2004 | 8 | 31 |
| 54111 | 1 | TRUE | 1 | 2004 | 9 | 1 |
| 54111 | -1 | TRUE | 1 | 2004 | 9 | 30 |
| 54111 | 1 | TRUE | 1 | 2004 | 10 | 1 |
| 54111 | -1 | TRUE | 0 | 2004 | 10 | 30 |
| 54111 | 1 | TRUE | 0 | 2004 | 11 | 1 |
| 54111 | -1 | TRUE | 0 | 2004 | 11 | 30 |
| 54111 | 1 | TRUE | 0 | 2004 | 12 | 1 |
| 54111 | -1 | TRUE | 0 | 2004 | 12 | 31 |
| 54111 | 1 | TRUE | 1 | 2005 | 1 | 1 |
| 54111 | -1 | TRUE | 0 | 2005 | 1 | 30 |
| 54111 | 1 | TRUE | 0 | 2005 | 2 | 1 |
| 54111 | -1 | TRUE | 1 | 2005 | 2 | 28 |
| 54111 | 1 | TRUE | 0 | 2005 | 3 | 1 |
| 54111 | -1 | TRUE | 1 | 2005 | 3 | 31 |
| 54111 | 1 | TRUE | 1 | 2005 | 4 | 1 |
| 54111 | -1 | TRUE | 1 | 2005 | 4 | 30 |
| 54111 | 1 | TRUE | 0 | 2005 | 5 | 1 |
| 54111 | -1 | FALSE | 0 | 2005 | 5 | 31 |
| 54111 | 1 | FALSE | 0 | 2005 | 6 | 1 |
| 54111 | -1 | TRUE | 0 | 2005 | 6 | 30 |
| 54111 | 1 | TRUE | 0 | 2005 | 7 | 1 |
| 54111 | -1 | FALSE | 0 | 2005 | 7 | 31 |
| 54111 | 1 | FALSE | 1 | 2005 | 8 | 1 |
| 54111 | -1 | FALSE | 0 | 2005 | 8 | 31 |
| 54111 | 1 | FALSE | 0 | 2005 | 9 | 1 |
| 54111 | -1 | FALSE | 0 | 2005 | 9 | 30 |
| 54121 | 1 | FALSE | 1 | 2003 | 10 | 2 |
| 54121 | -1 | TRUE | 1 | 2003 | 10 | 31 |
| 54121 | 1 | TRUE | 1 | 2003 | 11 | 1 |
| 54121 | -1 | TRUE | 1 | 2003 | 11 | 29 |
| 54121 | 1 | TRUE | 1 | 2003 | 12 | 3 |
| 54121 | -1 | TRUE | 1 | 2003 | 12 | 31 |
| 54121 | 1 | TRUE | 1 | 2004 | 1 | 1 |
| 54121 | -1 | TRUE | 1 | 2004 | 1 | 31 |
| 54121 | 1 | TRUE | 1 | 2004 | 2 | 2 |
| 54121 | -1 | TRUE | 1 | 2004 | 2 | 28 |
| 54121 | 1 | TRUE | 1 | 2004 | 3 | 1 |
| 54121 | -1 | TRUE | 1 | 2004 | 3 | 31 |
| 54121 | 1 | TRUE | 1 | 2004 | 4 | 3 |
| 54121 | -1 | TRUE | 1 | 2004 | 4 | 30 |
| 54121 | 1 | TRUE | 1 | 2004 | 5 | 1 |
| 54121 | -1 | TRUE | 1 | 2004 | 5 | 31 |
| 54121 | 1 | TRUE | 1 | 2004 | 6 | 1 |
| 54121 | -1 | TRUE | 1 | 2004 | 6 | 29 |
| 54121 | 1 | TRUE | 0 | 2004 | 7 | 1 |
| 54121 | -1 | TRUE | 1 | 2004 | 7 | 31 |
| 54121 | 1 | TRUE | 1 | 2004 | 8 | 3 |
| 54121 | -1 | TRUE | 1 | 2004 | 8 | 31 |
| 54121 | 1 | TRUE | 1 | 2004 | 9 | 1 |
| 54121 | -1 | TRUE | 1 | 2004 | 9 | 30 |
| 54121 | 1 | TRUE | 1 | 2004 | 10 | 1 |
| 54121 | -1 | TRUE | 1 | 2004 | 10 | 30 |
| 54121 | 1 | TRUE | 0 | 2004 | 11 | 1 |
| 54121 | -1 | TRUE | 1 | 2004 | 11 | 30 |
| 54121 | 1 | TRUE | 1 | 2004 | 12 | 1 |
| 54121 | -1 | TRUE | 1 | 2004 | 12 | 31 |
| 54121 | 1 | TRUE | 1 | 2005 | 1 | 1 |
| 54121 | -1 | TRUE | 0 | 2005 | 1 | 30 |
| 54121 | 1 | TRUE | 1 | 2005 | 2 | 1 |
| 54121 | -1 | TRUE | 1 | 2005 | 2 | 28 |
| 54121 | 1 | TRUE | 1 | 2005 | 3 | 1 |
| 54121 | -1 | TRUE | 1 | 2005 | 3 | 31 |
| 54121 | 1 | TRUE | 1 | 2005 | 4 | 1 |
| 54121 | -1 | TRUE | 1 | 2005 | 4 | 30 |
| 54121 | 1 | TRUE | 0 | 2005 | 5 | 1 |
| 54121 | -1 | TRUE | 0 | 2005 | 5 | 31 |
| 54121 | 1 | TRUE | 0 | 2005 | 6 | 1 |
| 54121 | -1 | TRUE | 0 | 2005 | 6 | 30 |
| 54121 | 1 | TRUE | 0 | 2005 | 7 | 1 |
| 54121 | -1 | TRUE | 0 | 2005 | 7 | 31 |
| 54121 | 1 | TRUE | 1 | 2005 | 8 | 1 |
| 54121 | -1 | TRUE | 1 | 2005 | 8 | 31 |
| 54121 | 1 | TRUE | 1 | 2005 | 9 | 1 |
| 54121 | -1 | TRUE | 1 | 2005 | 9 | 30 |
| 54121 | 1 | TRUE | 1 | 2005 | 10 | 1 |
| 54121 | -1 | TRUE | 1 | 2005 | 10 | 31 |
| 54121 | 1 | TRUE | 1 | 2005 | 11 | 3 |
| 54121 | -1 | TRUE | 0 | 2005 | 11 | 30 |
| 54121 | 1 | TRUE | 0 | 2005 | 12 | 1 |
| 54121 | -1 | TRUE | 1 | 2005 | 12 | 31 |
| 54131 | 1 | TRUE | 1 | 2003 | 10 | 2 |
| 54131 | -1 | TRUE | 1 | 2003 | 10 | 31 |
| 54131 | 1 | TRUE | 1 | 2003 | 11 | 1 |
| 54131 | -1 | TRUE | 1 | 2003 | 11 | 29 |
| 54131 | 1 | TRUE | 1 | 2003 | 12 | 1 |
| 54131 | -1 | TRUE | 1 | 2003 | 12 | 31 |
| 54131 | 1 | TRUE | 1 | 2004 | 1 | 1 |
| 54131 | -1 | TRUE | 1 | 2004 | 1 | 31 |
| 54131 | 1 | TRUE | 1 | 2004 | 2 | 2 |
| 54131 | -1 | TRUE | 0 | 2004 | 2 | 28 |
| 54131 | 1 | TRUE | 0 | 2004 | 3 | 1 |
| 54131 | -1 | TRUE | 1 | 2004 | 3 | 31 |
| 54131 | 1 | TRUE | 1 | 2004 | 4 | 3 |
| 54131 | -1 | TRUE | 1 | 2004 | 4 | 30 |
| 54131 | 1 | TRUE | 1 | 2004 | 5 | 1 |
| 54131 | -1 | TRUE | 1 | 2004 | 5 | 31 |
| 54131 | 1 | TRUE | 1 | 2004 | 6 | 1 |
| 54131 | -1 | TRUE | 1 | 2004 | 6 | 30 |
| 54131 | 1 | TRUE | 1 | 2004 | 7 | 1 |
| 54131 | -1 | TRUE | 1 | 2004 | 7 | 31 |
| 54131 | 1 | TRUE | 0 | 2004 | 8 | 3 |
| 54131 | -1 | TRUE | 1 | 2004 | 8 | 31 |
| 54131 | 1 | TRUE | 1 | 2004 | 9 | 1 |
| 54131 | -1 | TRUE | 1 | 2004 | 9 | 30 |
| 54131 | 1 | TRUE | 1 | 2004 | 10 | 1 |
| 54131 | -1 | TRUE | 1 | 2004 | 10 | 30 |
| 54131 | 1 | TRUE | 1 | 2004 | 11 | 1 |
| 54131 | -1 | TRUE | 1 | 2004 | 11 | 30 |
| 54131 | 1 | TRUE | 0 | 2004 | 12 | 1 |
| 54131 | -1 | TRUE | 1 | 2004 | 12 | 31 |
| 54131 | 1 | TRUE | 0 | 2005 | 1 | 1 |
| 54131 | -1 | TRUE | 0 | 2005 | 1 | 30 |
| 54131 | 1 | TRUE | 1 | 2005 | 2 | 1 |
| 54131 | -1 | TRUE | 1 | 2005 | 2 | 28 |
| 54131 | 1 | TRUE | 1 | 2005 | 3 | 1 |
| 54131 | -1 | TRUE | 0 | 2005 | 3 | 29 |
| 54131 | 1 | TRUE | 1 | 2005 | 4 | 1 |
| 54131 | -1 | TRUE | 1 | 2005 | 4 | 30 |
| 54131 | 1 | TRUE | 0 | 2005 | 5 | 1 |
| 54131 | -1 | TRUE | 1 | 2005 | 5 | 31 |
| 54131 | 1 | TRUE | 1 | 2005 | 6 | 1 |
| 54131 | -1 | TRUE | 0 | 2005 | 6 | 30 |
| 54131 | 1 | TRUE | 0 | 2005 | 7 | 1 |
| 54131 | -1 | TRUE | 0 | 2005 | 7 | 31 |
| 54131 | 1 | TRUE | 1 | 2005 | 8 | 1 |
| 54131 | -1 | TRUE | 1 | 2005 | 8 | 31 |
| 54131 | 1 | TRUE | 1 | 2005 | 9 | 1 |
| 54131 | -1 | TRUE | 1 | 2005 | 9 | 30 |
| 54131 | 1 | TRUE | 1 | 2005 | 10 | 1 |
| 54131 | -1 | TRUE | 1 | 2005 | 10 | 31 |
| 54131 | 1 | TRUE | 1 | 2005 | 11 | 3 |
| 54131 | -1 | TRUE | 1 | 2005 | 11 | 30 |
| 54131 | 1 | TRUE | 1 | 2005 | 12 | 1 |
| 54131 | -1 | TRUE | 1 | 2005 | 12 | 31 |
| 55111 | 1 | TRUE | 1 | 2003 | 10 | 2 |
| 55111 | -1 | TRUE | 1 | 2003 | 10 | 31 |
| 55111 | 1 | TRUE | 0 | 2003 | 11 | 1 |
| 55111 | -1 | TRUE | 1 | 2003 | 11 | 29 |
| 55111 | 1 | TRUE | 0 | 2003 | 12 | 2 |
| 55111 | -1 | TRUE | 1 | 2003 | 12 | 31 |
| 55111 | 1 | TRUE | 1 | 2004 | 1 | 1 |
| 55111 | -1 | TRUE | 1 | 2004 | 1 | 31 |
| 55111 | 1 | TRUE | 1 | 2004 | 2 | 2 |
| 55111 | -1 | TRUE | 1 | 2004 | 2 | 28 |
| 55111 | 1 | TRUE | 1 | 2004 | 3 | 1 |
| 55111 | -1 | TRUE | 1 | 2004 | 3 | 31 |
| 55111 | 1 | TRUE | 0 | 2004 | 4 | 2 |
| 55111 | -1 | TRUE | 1 | 2004 | 4 | 30 |
| 55111 | 1 | TRUE | 0 | 2004 | 5 | 1 |
| 55111 | -1 | TRUE | 1 | 2004 | 5 | 31 |
| 55111 | 1 | TRUE | 1 | 2004 | 6 | 1 |
| 55111 | -1 | TRUE | 1 | 2004 | 6 | 30 |
| 55111 | 1 | TRUE | 1 | 2004 | 7 | 1 |
| 55111 | -1 | TRUE | 1 | 2004 | 7 | 31 |
| 55111 | 1 | TRUE | 1 | 2004 | 8 | 3 |
| 55111 | -1 | TRUE | 0 | 2004 | 8 | 31 |
| 55111 | 1 | TRUE | 1 | 2004 | 9 | 1 |
| 55111 | -1 | TRUE | 1 | 2004 | 9 | 30 |
| 55111 | 1 | TRUE | 1 | 2004 | 10 | 1 |
| 55111 | -1 | TRUE | 1 | 2004 | 10 | 30 |
| 55111 | 1 | TRUE | 1 | 2004 | 11 | 1 |
| 55111 | -1 | TRUE | 1 | 2004 | 11 | 30 |
| 55111 | 1 | TRUE | 1 | 2004 | 12 | 1 |
| 55111 | -1 | TRUE | 1 | 2004 | 12 | 31 |
| 55111 | 1 | TRUE | 1 | 2005 | 1 | 1 |
| 55111 | -1 | TRUE | 0 | 2005 | 1 | 30 |
| 55111 | 1 | TRUE | 1 | 2005 | 2 | 1 |
| 55111 | -1 | TRUE | 1 | 2005 | 2 | 28 |
| 55111 | 1 | TRUE | 1 | 2005 | 3 | 1 |
| 55111 | -1 | TRUE | 1 | 2005 | 3 | 31 |
| 55111 | 1 | TRUE | 1 | 2005 | 4 | 1 |
| 55111 | -1 | TRUE | 1 | 2005 | 4 | 30 |
| 55111 | 1 | TRUE | 0 | 2005 | 5 | 1 |
| 55111 | -1 | TRUE | 1 | 2005 | 5 | 31 |
| 55111 | 1 | TRUE | 1 | 2005 | 6 | 1 |
| 55111 | -1 | TRUE | 0 | 2005 | 6 | 30 |
| 55111 | 1 | TRUE | 0 | 2005 | 7 | 1 |
| 55111 | -1 | TRUE | 0 | 2005 | 7 | 31 |
| 55111 | 1 | TRUE | 0 | 2005 | 8 | 1 |
| 55111 | -1 | TRUE | 1 | 2005 | 8 | 31 |
| 55111 | 1 | TRUE | 1 | 2005 | 9 | 1 |
| 55111 | -1 | TRUE | 1 | 2005 | 9 | 30 |
| 55111 | 1 | TRUE | 1 | 2005 | 10 | 1 |
| 55111 | -1 | TRUE | 0 | 2005 | 10 | 31 |
| 55111 | 1 | TRUE | 1 | 2005 | 11 | 4 |
| 55111 | -1 | TRUE | 1 | 2005 | 11 | 30 |
| 55111 | 1 | TRUE | 1 | 2005 | 12 | 1 |
| 55111 | -1 | TRUE | 1 | 2005 | 12 | 31 |
| 55211 | 1 | TRUE | 0 | 2003 | 10 | 2 |
| 55211 | -1 | TRUE | 1 | 2003 | 10 | 31 |
| 55211 | 1 | TRUE | 0 | 2003 | 11 | 1 |
| 55211 | -1 | TRUE | 1 | 2003 | 11 | 29 |
| 55211 | 1 | TRUE | 0 | 2003 | 12 | 2 |
| 55211 | -1 | TRUE | 1 | 2003 | 12 | 31 |
| 55211 | 1 | TRUE | 1 | 2004 | 1 | 1 |
| 55211 | -1 | TRUE | 1 | 2004 | 1 | 31 |
| 55211 | 1 | TRUE | 0 | 2004 | 2 | 2 |
| 55211 | -1 | TRUE | 1 | 2004 | 2 | 28 |
| 55211 | 1 | TRUE | 1 | 2004 | 3 | 1 |
| 55211 | -1 | TRUE | 1 | 2004 | 3 | 31 |
| 55211 | 1 | TRUE | 0 | 2004 | 4 | 2 |
| 55211 | -1 | TRUE | 0 | 2004 | 4 | 30 |
| 55211 | 1 | TRUE | 0 | 2004 | 5 | 1 |
| 55211 | -1 | TRUE | 0 | 2004 | 5 | 31 |
| 55211 | 1 | TRUE | 0 | 2004 | 6 | 1 |
| 55211 | -1 | TRUE | 0 | 2004 | 6 | 30 |
| 55211 | 1 | TRUE | 1 | 2004 | 7 | 1 |
| 55211 | -1 | TRUE | 1 | 2004 | 7 | 31 |
| 55211 | 1 | TRUE | 1 | 2004 | 8 | 3 |
| 55211 | -1 | TRUE | 0 | 2004 | 8 | 31 |
| 55211 | 1 | TRUE | 1 | 2004 | 9 | 1 |
| 55211 | -1 | TRUE | 1 | 2004 | 9 | 30 |
| 55211 | 1 | TRUE | 1 | 2004 | 10 | 1 |
| 55211 | -1 | TRUE | 1 | 2004 | 10 | 30 |
| 55211 | 1 | TRUE | 1 | 2004 | 11 | 1 |
| 55211 | -1 | TRUE | 0 | 2004 | 11 | 30 |
| 55211 | 1 | TRUE | 1 | 2004 | 12 | 1 |
| 55211 | -1 | TRUE | 0 | 2004 | 12 | 31 |
| 55211 | 1 | TRUE | 1 | 2005 | 1 | 1 |
| 55211 | -1 | TRUE | 0 | 2005 | 1 | 30 |
| 55211 | 1 | TRUE | 0 | 2005 | 2 | 1 |
| 55211 | -1 | TRUE | 1 | 2005 | 2 | 28 |
| 55211 | 1 | TRUE | 1 | 2005 | 3 | 1 |
| 55211 | -1 | TRUE | 1 | 2005 | 3 | 29 |
| 55211 | 1 | TRUE | 1 | 2005 | 4 | 1 |
| 55211 | -1 | TRUE | 0 | 2005 | 4 | 30 |
| 55211 | 1 | TRUE | 0 | 2005 | 5 | 1 |
| 55211 | -1 | TRUE | 0 | 2005 | 5 | 31 |
| 55211 | 1 | TRUE | 0 | 2005 | 6 | 1 |
| 55211 | -1 | FALSE | 0 | 2005 | 6 | 30 |
| 56311 | 1 | FALSE | 1 | 2003 | 10 | 1 |
| 56311 | -1 | TRUE | 1 | 2003 | 10 | 31 |
| 56311 | 1 | TRUE | 0 | 2003 | 11 | 1 |
| 56311 | -1 | TRUE | 1 | 2003 | 11 | 29 |
| 56311 | 1 | TRUE | 1 | 2003 | 12 | 2 |
| 56311 | -1 | TRUE | 1 | 2003 | 12 | 31 |
| 56311 | 1 | TRUE | 1 | 2004 | 1 | 1 |
| 56311 | -1 | TRUE | 0 | 2004 | 1 | 31 |
| 56311 | 1 | TRUE | 1 | 2004 | 2 | 2 |
| 56311 | -1 | TRUE | 1 | 2004 | 2 | 28 |
| 56311 | 1 | TRUE | 1 | 2004 | 3 | 1 |
| 56311 | -1 | TRUE | 1 | 2004 | 3 | 31 |
| 56311 | 1 | TRUE | 0 | 2004 | 4 | 2 |
| 56311 | -1 | TRUE | 1 | 2004 | 4 | 30 |
| 56311 | 1 | TRUE | 0 | 2004 | 5 | 1 |
| 56311 | -1 | TRUE | 0 | 2004 | 5 | 31 |
| 56311 | 1 | TRUE | 1 | 2004 | 6 | 1 |
| 56311 | -1 | TRUE | 1 | 2004 | 6 | 30 |
| 56311 | 1 | TRUE | 1 | 2004 | 7 | 1 |
| 56311 | -1 | TRUE | 1 | 2004 | 7 | 31 |
| 56311 | 1 | TRUE | 1 | 2004 | 8 | 2 |
| 56311 | -1 | TRUE | 0 | 2004 | 8 | 31 |
| 56311 | 1 | TRUE | 0 | 2004 | 9 | 1 |
| 56311 | -1 | TRUE | 1 | 2004 | 9 | 30 |
| 56311 | 1 | TRUE | 1 | 2004 | 10 | 1 |
| 56311 | -1 | TRUE | 1 | 2004 | 10 | 30 |
| 56311 | 1 | TRUE | 1 | 2004 | 11 | 1 |
| 56311 | -1 | FALSE | 0 | 2004 | 11 | 30 |
| 56311 | 1 | FALSE | 0 | 2004 | 12 | 1 |
| 56311 | -1 | TRUE | 1 | 2004 | 12 | 31 |
| 56311 | 1 | TRUE | 1 | 2005 | 1 | 1 |
| 56311 | -1 | TRUE | 0 | 2005 | 1 | 30 |
| 56311 | 1 | TRUE | 0 | 2005 | 2 | 1 |
| 56311 | -1 | TRUE | 1 | 2005 | 2 | 28 |
| 56311 | 1 | TRUE | 0 | 2005 | 3 | 1 |
| 56311 | -1 | TRUE | 0 | 2005 | 3 | 29 |
| 56311 | 1 | TRUE | 0 | 2005 | 4 | 1 |
| 56311 | -1 | TRUE | 0 | 2005 | 4 | 30 |
| 56311 | 1 | TRUE | 0 | 2005 | 5 | 1 |
| 56311 | -1 | FALSE | 0 | 2005 | 5 | 31 |
| 56311 | 1 | FALSE | 1 | 2005 | 6 | 1 |
| 56311 | -1 | TRUE | 0 | 2005 | 6 | 30 |
| 56311 | 1 | TRUE | 0 | 2005 | 7 | 1 |
| 56311 | -1 | TRUE | 0 | 2005 | 7 | 31 |
| 56311 | 1 | TRUE | 0 | 2005 | 8 | 1 |
| 56311 | -1 | TRUE | 1 | 2005 | 8 | 31 |
| 56311 | 1 | TRUE | 1 | 2005 | 9 | 1 |
| 56311 | -1 | TRUE | 1 | 2005 | 9 | 30 |
| 56311 | 1 | TRUE | 1 | 2005 | 10 | 1 |
| 56311 | -1 | TRUE | 0 | 2005 | 10 | 31 |
| 56311 | 1 | TRUE | 0 | 2005 | 11 | 4 |
| 56311 | -1 | TRUE | 1 | 2005 | 11 | 30 |
| 56311 | 1 | TRUE | 1 | 2005 | 12 | 1 |
| 56311 | -1 | TRUE | 1 | 2005 | 12 | 31 |
It’s a panel! We see the same teacher multiple times. Why could this be an issue?
d_mean <- d %>%
group_by(t,InTheMoney) %>%
summarize(work = mean(worked),se = sd(worked)/sqrt(n())) # the function n() returns the number of observations for each pair
knitr::kable(d_mean)| t | InTheMoney | work | se |
|---|---|---|---|
| -10 | FALSE | 0.0873786 | 0.0279607 |
| -10 | TRUE | 0.7900600 | 0.0119269 |
| -9 | FALSE | 0.0970874 | 0.0293160 |
| -9 | TRUE | 0.7248322 | 0.0129408 |
| -8 | FALSE | 0.0970874 | 0.0293160 |
| -8 | TRUE | 0.7541667 | 0.0124350 |
| -7 | FALSE | 0.1165049 | 0.0317668 |
| -7 | TRUE | 0.7591362 | 0.0123286 |
| -6 | FALSE | 0.1359223 | 0.0339330 |
| -6 | TRUE | 0.7219512 | 0.0127802 |
| -5 | FALSE | 0.1747573 | 0.0376018 |
| -5 | TRUE | 0.7852029 | 0.0115881 |
| -4 | FALSE | 0.2038835 | 0.0398914 |
| -4 | TRUE | 0.7582160 | 0.0119816 |
| -3 | FALSE | 0.1844660 | 0.0384042 |
| -3 | TRUE | 0.7660728 | 0.0117864 |
| -2 | FALSE | 0.1683168 | 0.0374147 |
| -2 | TRUE | 0.7072419 | 0.0126348 |
| -1 | FALSE | 0.1584158 | 0.0365130 |
| -1 | TRUE | 0.6820276 | 0.0129109 |
| 1 | FALSE | 0.3465347 | 0.0475866 |
| 1 | TRUE | 0.6768995 | 0.0129606 |
| 2 | FALSE | 0.3861386 | 0.0486863 |
| 2 | TRUE | 0.6899463 | 0.0128180 |
| 3 | FALSE | 0.3689320 | 0.0477762 |
| 3 | TRUE | 0.6845741 | 0.0128781 |
| 4 | FALSE | 0.4174757 | 0.0488284 |
| 4 | TRUE | 0.7244820 | 0.0123818 |
| 5 | FALSE | 0.4757282 | 0.0494490 |
| 5 | TRUE | 0.7452034 | 0.0120762 |
| 6 | FALSE | 0.5242718 | 0.0494490 |
| 6 | TRUE | 0.7636224 | 0.0117744 |
| 7 | FALSE | 0.5728155 | 0.0489796 |
| 7 | TRUE | 0.8066002 | 0.0109459 |
| 8 | FALSE | 0.6116505 | 0.0482573 |
| 8 | TRUE | 0.7981581 | 0.0111236 |
| 9 | FALSE | 0.5533981 | 0.0492242 |
| 9 | TRUE | 0.7475058 | 0.0120400 |
| 10 | FALSE | 0.4368932 | 0.0491115 |
| 10 | TRUE | 0.7405986 | 0.0121471 |
The authors examine the effect by first creating a dataset of matched pairs:
last_day <- d %>%
filter(t==-1,!InTheMoney) %>%
mutate(month_index = year*12 + month,worked_last = worked) %>%
select(schid,month_index,InTheMoney,worked_last)
matched_pairs <- d %>%
filter(t==1) %>%
mutate(month_index = year*12 + month - 1) %>% #<- for the merge
inner_join(last_day) %>%
select(schid,year,month,worked,worked_last,InTheMoney) %>%
arrange(schid,year,month)
knitr::kable(matched_pairs)| schid | year | month | worked | worked_last | InTheMoney |
|---|---|---|---|---|---|
| 15111 | 2003 | 12 | 1 | 1 | FALSE |
| 15311 | 2004 | 1 | 1 | 1 | FALSE |
| 15411 | 2004 | 1 | 0 | 0 | FALSE |
| 22211 | 2003 | 12 | 1 | 1 | FALSE |
| 22211 | 2004 | 8 | 0 | 0 | FALSE |
| 22211 | 2005 | 9 | 0 | 0 | FALSE |
| 22411 | 2004 | 1 | 1 | 1 | FALSE |
| 23111 | 2004 | 6 | 0 | 0 | FALSE |
| 23111 | 2004 | 7 | 0 | 0 | FALSE |
| 23111 | 2004 | 12 | 0 | 0 | FALSE |
| 23511 | 2004 | 4 | 0 | 0 | FALSE |
| 23513 | 2004 | 12 | 0 | 0 | FALSE |
| 23513 | 2005 | 1 | 0 | 0 | FALSE |
| 23513 | 2005 | 2 | 0 | 0 | FALSE |
| 23513 | 2005 | 3 | 1 | 0 | FALSE |
| 23513 | 2005 | 9 | 0 | 0 | FALSE |
| 24112 | 2005 | 11 | 1 | 0 | FALSE |
| 24511 | 2005 | 3 | 0 | 0 | FALSE |
| 24522 | 2005 | 7 | 1 | 0 | FALSE |
| 24522 | 2005 | 8 | 1 | 0 | FALSE |
| 24522 | 2005 | 10 | 0 | 0 | FALSE |
| 24522 | 2005 | 11 | 0 | 0 | FALSE |
| 24541 | 2004 | 7 | 1 | 1 | FALSE |
| 31311 | 2004 | 7 | 0 | 0 | FALSE |
| 31311 | 2004 | 11 | 0 | 0 | FALSE |
| 31311 | 2004 | 12 | 0 | 0 | FALSE |
| 31311 | 2005 | 1 | 0 | 0 | FALSE |
| 31311 | 2005 | 2 | 0 | 0 | FALSE |
| 31311 | 2005 | 6 | 0 | 0 | FALSE |
| 31311 | 2005 | 7 | 0 | 0 | FALSE |
| 32311 | 2005 | 8 | 1 | 0 | FALSE |
| 32411 | 2004 | 6 | 0 | 0 | FALSE |
| 32411 | 2004 | 7 | 0 | 0 | FALSE |
| 32411 | 2005 | 3 | 0 | 1 | FALSE |
| 32412 | 2005 | 12 | 1 | 0 | FALSE |
| 32421 | 2004 | 7 | 0 | 0 | FALSE |
| 32421 | 2005 | 7 | 1 | 0 | FALSE |
| 33211 | 2004 | 6 | 0 | 0 | FALSE |
| 33211 | 2004 | 7 | 1 | 0 | FALSE |
| 33211 | 2005 | 6 | 0 | 0 | FALSE |
| 34111 | 2004 | 6 | 0 | 0 | FALSE |
| 34121 | 2004 | 4 | 0 | 0 | FALSE |
| 34121 | 2004 | 5 | 0 | 0 | FALSE |
| 34121 | 2004 | 6 | 0 | 0 | FALSE |
| 41111 | 2003 | 12 | 1 | 0 | FALSE |
| 41111 | 2004 | 6 | 0 | 1 | FALSE |
| 41111 | 2004 | 7 | 0 | 0 | FALSE |
| 41111 | 2005 | 6 | 0 | 0 | FALSE |
| 41111 | 2005 | 9 | 1 | 0 | FALSE |
| 41121 | 2003 | 12 | 1 | 1 | FALSE |
| 41121 | 2004 | 6 | 0 | 0 | FALSE |
| 41121 | 2004 | 7 | 0 | 0 | FALSE |
| 41121 | 2005 | 7 | 0 | 0 | FALSE |
| 42411 | 2004 | 3 | 0 | 0 | FALSE |
| 42411 | 2004 | 6 | 0 | 0 | FALSE |
| 42411 | 2004 | 7 | 0 | 0 | FALSE |
| 42411 | 2004 | 8 | 0 | 0 | FALSE |
| 42411 | 2005 | 6 | 0 | 1 | FALSE |
| 42411 | 2005 | 11 | 0 | 0 | FALSE |
| 42411 | 2005 | 12 | 0 | 0 | FALSE |
| 42511 | 2003 | 11 | 0 | 0 | FALSE |
| 42511 | 2003 | 12 | 1 | 1 | FALSE |
| 42521 | 2003 | 11 | 1 | 0 | FALSE |
| 42521 | 2004 | 12 | 1 | 0 | FALSE |
| 42531 | 2005 | 11 | 1 | 0 | FALSE |
| 43122 | 2005 | 5 | 0 | 1 | FALSE |
| 43122 | 2005 | 11 | 1 | 1 | FALSE |
| 43122 | 2005 | 12 | 0 | 0 | FALSE |
| 45111 | 2005 | 11 | 1 | 0 | FALSE |
| 45121 | 2005 | 8 | 0 | 0 | FALSE |
| 45131 | 2005 | 8 | 0 | 0 | FALSE |
| 45141 | 2003 | 11 | 1 | 0 | FALSE |
| 45141 | 2005 | 7 | 0 | 0 | FALSE |
| 45411 | 2005 | 12 | 0 | 0 | FALSE |
| 45511 | 2005 | 12 | 0 | 0 | FALSE |
| 51211 | 2003 | 11 | 1 | 1 | FALSE |
| 51211 | 2005 | 5 | 0 | 1 | FALSE |
| 51221 | 2003 | 11 | 0 | 0 | FALSE |
| 51221 | 2003 | 12 | 1 | 1 | FALSE |
| 51221 | 2004 | 9 | 1 | 0 | FALSE |
| 53111 | 2004 | 6 | 1 | 0 | FALSE |
| 53111 | 2005 | 6 | 0 | 0 | FALSE |
| 53111 | 2005 | 10 | 0 | 0 | FALSE |
| 53111 | 2005 | 11 | 0 | 0 | FALSE |
| 53111 | 2005 | 12 | 0 | 0 | FALSE |
| 53311 | 2005 | 8 | 0 | 0 | FALSE |
| 53621 | 2004 | 4 | 0 | 0 | FALSE |
| 54111 | 2005 | 6 | 0 | 0 | FALSE |
| 54111 | 2005 | 8 | 1 | 0 | FALSE |
| 54111 | 2005 | 9 | 0 | 0 | FALSE |
| 56311 | 2004 | 12 | 0 | 0 | FALSE |
| 56311 | 2005 | 6 | 1 | 0 | FALSE |
# estimate the average effect
est <- mean(matched_pairs$worked - matched_pairs$worked_last)
N = nrow(matched_pairs)
# estimate the standard errors (with clustering)
se <- matched_pairs %>%
mutate(diff = worked - worked_last) %>%
group_by(schid) %>%
summarize(ssq = sum(diff - est)^2) %>%
ungroup() %>%
summarize(se = sqrt(sum(ssq)/N^2))With an estimate and a standard error we can do our hypothesis test.
Under the null, accounting for clustering, we would expect to see an estimate as large as 0.152 only 0.002% of the time. Thus at all conventional significance levels we would reject the null of no difference.